Главная > Математический анализ. Интегральное исчисление
НАПИШУ ВСЁ ЧТО ЗАДАЛИ
СЕКРЕТНЫЙ БОТ В ТЕЛЕГЕ
<< Предыдущий параграф Следующий параграф >>
Пред.
След.
Макеты страниц

Распознанный текст, спецсимволы и формулы могут содержать ошибки, поэтому с корректным вариантом рекомендуем ознакомиться на отсканированных изображениях учебника выше

Также, советуем воспользоваться поиском по сайту, мы уверены, что вы сможете найти больше информации по нужной Вам тематике

ДЛЯ СТУДЕНТОВ И ШКОЛЬНИКОВ ЕСТЬ
ZADANIA.TO

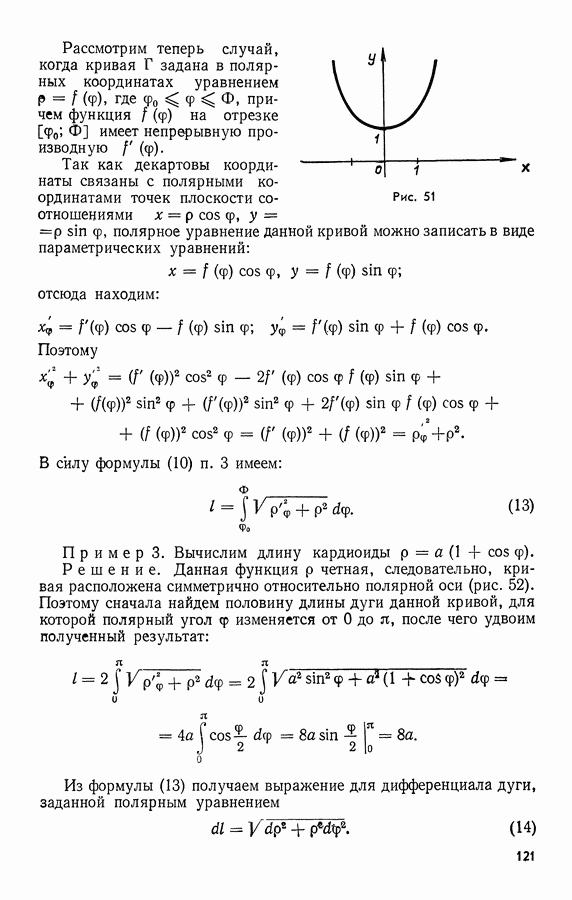
§ 3. ВЫЧИСЛЕНИЕ ДЛИН ДУГ

1. Понятие спрямляемой кривой.

В школьном курсе математики рассматривался вопрос о вычислении длин отрезков прямой, длины окружности, а также различных ее частей. В приложениях математики возникает потребность в вычислении длин дуг произвольных кривых. Но, чтобы вычислить длину произвольной кривой, надо быть уверенным в том, что рассматриваемая кривая имеет конечную длину.

В средней школе длиной окружности называют предел последовательности периметров вписанных в окружность правильных многоугольников (при неограниченном удвоении числа сторон). Однако это определение неприменимо к произвольным кривым.

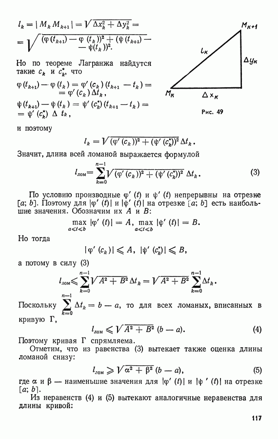
Дадим общее определение понятия длины кривой. Пусть задана жорданова кривая

Напомним, что функции непрерывны на отрезке. Разобьем отрезок на части числами

Каждому числу соответствует точка кривой Г. Проводя отрезки получим ломаную линию , вписанную в кривую Г. Обозначим ее длину через

Определение. Жорданова кривая (1) называется спрямляемой (имеющей длину), если множество длин вписанных в эту кривую ломаных у ограничено сверху. Точная верхняя граница множества называется длиной кривой Г и обозначается :

Докажем, что длина спрямляемой кривой обладает свойством аддитивности.

Пусть жорданова кривая Г разбита на кривые Если эти кривые спрямляемы, то кривая Г спрямляема, причем

В самом деле, пусть — любая ломаная, вписанная в кривую Г, и пусть М — точка, разбивающая Г на Добавляя эту точку к Еершинам ломаной у, получим ломаную у, длина которой не меньше длины ломаной . Но ломаная у состоит из двух частей вписанных соответственно в кривые причем

Поэтому

Это неравенство показывает, что число является одной из верхних границ для множества длин ломаных, вписанных в кривую Г. Но для любого найдутся ломаные вписанные в такие, что

Объединяя получаем ломаную , вписанную в Г и такую, что

.

А это и значит, что — точная верхняя граница множества т. е.

1
Оглавление
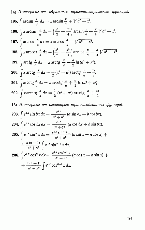
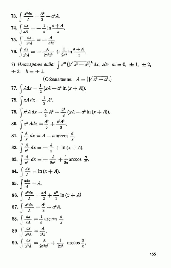
email@scask.ru