Главная > Инерциальная навигация и оптимальная фильтрация
НАПИШУ ВСЁ ЧТО ЗАДАЛИ
СЕКРЕТНЫЙ БОТ В ТЕЛЕГЕ
<< Предыдущий параграф Следующий параграф >>
Пред.
След.
Макеты страниц

Распознанный текст, спецсимволы и формулы могут содержать ошибки, поэтому с корректным вариантом рекомендуем ознакомиться на отсканированных изображениях учебника выше

Также, советуем воспользоваться поиском по сайту, мы уверены, что вы сможете найти больше информации по нужной Вам тематике

ДЛЯ СТУДЕНТОВ И ШКОЛЬНИКОВ ЕСТЬ
ZADANIA.TO

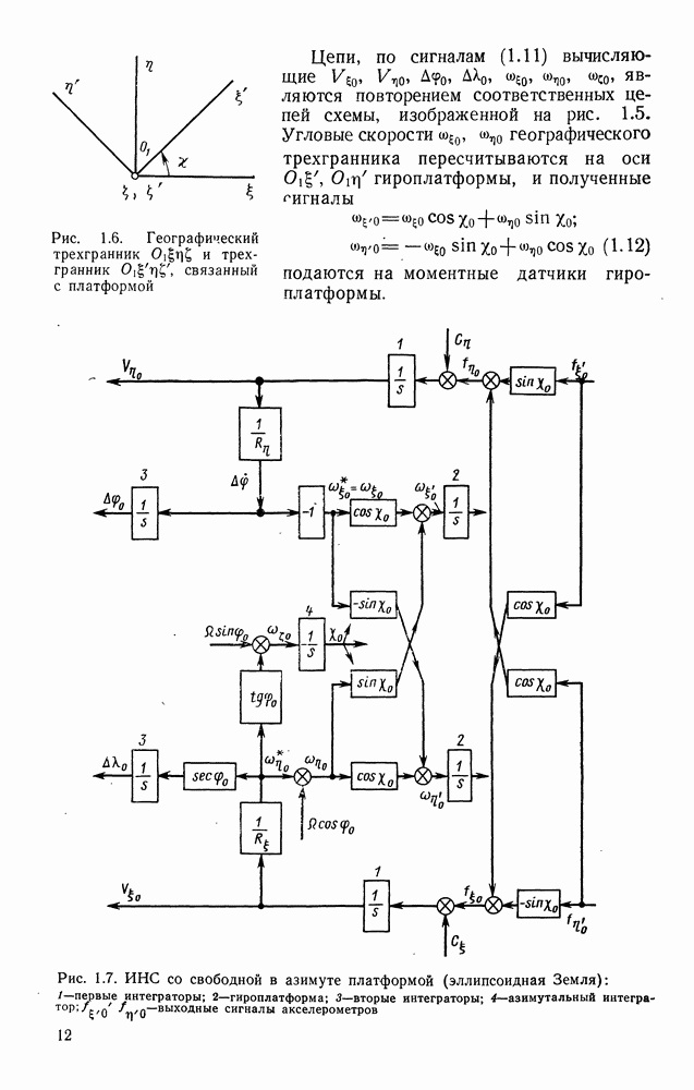
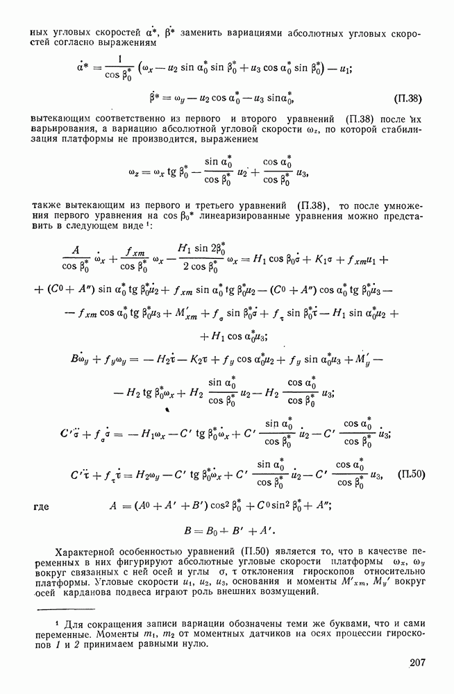
3.5. СХЕМА ИНЕРЦИАЛЬНОЙ НАВИГАЦИОННОЙ СИСТЕМЫ С ВЕРТИКАЛЬНЫМ АКСЕЛЕРОМЕТРОМ

Для объектов, движущихся по поверхности Земли, в принципиальном отношении возможно синтезировать ИНС с ограниченной ошибкой от дрейфа гироскопов, вводя в схему ИНС третий акселерометр с осью чувствительности, направленной по вертикальной оси гироплатформы (рис. 3.4).

Рассмотрим канал ИНС, соответствующий оси гироплатформы (рис. 3.5). Пусть ускорение объекта в направлении оси перпендикулярное вектору ускорения силы тяжести Полагая аналогичное ускорение в направлении оси и вертикальное ускорение (совпадает с направлением вектора — равными нулю и учитывая уравнение акселерометра (1.33), получим для показаний горизонтального и вертикального акселерометров следующие выражения:

Эти выражения представляют систему двух уравнений с двумя неизвестными где а — угол наклона платформы к местному горизонту. Разрешим уравнения относительно угла а. Исключая:

Рис. 3.4. ИНС с вертикальным акселерометром: 1 — гироплатформа; горизонтальные акселерометры; вертикальный акселерометр

Рис. 3.5. Канал ИНС, соответствующий оси 1 — гироплатформа; горизонтальный и вертикальный акселерометры

приходим к квадратному уравнению относительно Корни этого квадратного уравнения

В правую часть данного выражения входят известные величины, так что для любого момента времени значения могут быть вычислены. Возникает вопрос, какое из двух значений представляет угол отклонения гироплатформы от местного горизонта. Чтобы решить этот вопрос, зададимся каким-либо значением перегрузки т. е. выражениями через ускорение силы тяжести и вычислим согласно формуле

Пусть Тогда согласно (3.22)

где действительное значение угла отклонения платформы от местного горизонта.

Подставляя эти выражения в формулу (3.22), находим

В данном случае вычисленное значение совпадает с действительным значением угла а.

Пусть теперь Согласно (3.22)

При подстановке выражений (3.24) в формулу (3.23) получим

Соответствие членов этого выражения членам выражения (3.23) здесь сохранено. Чтобы вычисленное значение совпадало с действительным значением угла наклона платформы а, необходимо, как это видно из (3.25), при пользовании формулой (3.23) брать перед корнем квадратным знак плюс. Заметим, что при таком выборе знака модуль правой части выражения (3.25) получает наименьшее значение.

Рассмотрим случай Согласно (3.22)

При подстановке этих выражений в формулу (3.23) находим

Как показывает выражение (3.26), вычисленное значение совпадает с действительным значением угла а, если при вычислениях по формуле (3.23) перед корнем квадратным взять знак минус. При таком выборе знака модуль правой части уравнения (3.23) по-прежнему принимает наименьшее значение. Проведенный

анализ показывает, что в общем случае вычисления по формуле (3.23) угла наклона платформы к горизонту из двух значений вытекающих из этой формулы, необходимо принимать в качестве а наименьшее по модулю.

Определение угла а по формуле (3.23) решало бы задачу построения местной вертикали и задачу инерциальной навигации в целом, если бы не было мешающих факторов. Мешающими факторами здесь являются: 1) влияние на показания вертикального акселерометра другого канала ИНС (в данном случае канала у);

2) влияние на показания вертикальных ускорений объекта.

Вертикальные ускорения объекта, например, при гармоническом законе их изменения вызовут систематическую ошибку в вычисленном значении что объясняется детектирующим действием нелинейности, выражаемой вторым членом правой части уравнения (3.23). Поэтому в показания вертикального акселерометра составляющую, соответствующую вертикальным ускорениям объекта, необходимо компенсировать.

Исследуем влияние на вычисленное значение другого по отношению к рассматриваемому канала ИНС. Считая углы отклонения платформы от горизонта малыми (см. рис. 3.4), для показаний акселерометров находим следующие выражения:

Исключая из выражений и ускорение получим квадратное уравнение относительно а. Корни этого уравнения

Другой канал ИНС влияет на вычисленное значение через член который, однако, при отсутствии ускорения объекта в другом канале исчезает.

Аналогичным образом, исключая из выражений ускорение получаем квадратное уравнение относительно угла наклона и его корни

Если выражения (3.28), (3.29) линеаризовать соответственно в отношении и в отношении а для окрестности равновесных значений и полученные коэффициенты линеаризации

использовать в структурной схеме, представляющей взаимное влияние каналов ИНС, то придем к замкнутой системе, изображенной

Рис. 3.6. Схема взаимного влияния каналов ИНС, имеющей вертикальный акселерометр: а, 0 — действительные углы отклонения гироплатформы от горизонта; бел, 601 — ошибки вычисления углов а, 0 по формуле (3.23)

на рис. 3.6. Эту замкнутую систему можно реализовать, подавая вычисленное по формуле (3.23) значение через звено на моментный датчик канала х, а значение вычисленное по аналогичной формуле, — через такое же звено на моментный датчик канала у. Тогда вокруг интеграторов, представляющих в структурной схеме ошибок гироплатформу, возникнут отрицательные обратные связи что обеспечит демпфирование ошибок ИНС, а замкнутые системы ошибок, соответствующие каналам х и у, станут связанными, как показано на рис. 3.6.

Внешний контур регулирования, образующийся за счет перекрестных связей между каналами, замкнут лишь тогда, когда объект движется с ускорением как в направлении оси так и оси причем обратная связь в этом контуре может бьпь и отрицательной, и положительной. В случае положительной обратной связи заметная расходимость процессов наступить не может, так как ускорения приводящие к положительной обратной связи, долго существовать не могут.

Рис. 3.7. Корневой годограф системы с передаточной функцией по контуру

где

Можно с помощью логического устройства вообще устранить эту расходимость. Логическое устройство, получая информацию о знаках и выбранных знаках перед передаточными функциями звеньев замыкает внешний контур (разрешает поступление сигнала на моментный датчик через звено только на интервалах времени, на которых обратная связь во внешнем контуре отрицательная или этот контур разомкнут или

Если обратная связь во внешнем контуре отрицательная, то этот контур устойчив, о чем свидетельствует его корневой годограф (рис. 3.7).

Интеграторы, представляющие собой гироплатформу, все время охвачены отрицательной обратной связью за исключением упомянутых интервалов времени, на которых во внешнем контуре могла бы возникать положительная обратная связь (на этих интервалах обратной связи вокруг интеграторов нет). Поскольку интеграторы почти все время охвачены отрицательной обратной связью, свободные колебания ошибок отдельных каналов затухают, так что Следовательно, влияние угла на расчетное значение представляемое на структурной схеме сигналом (см. рис. 3.6), со временем ослабевает и расчетное значение получаемое по формуле (3.23), становится все ближе к действительному значению угла а отклонения платформы от горизонта. То же самое можно сказать и о расчетном значении

Таким образом, расчетные значения можно использовать для вычисления ускорений объекта согласно вытекающим из (3.27) формулам

Производя интегрирование, находим составляющие скорости объекта

Пересчет этих скоростей на северную и восточную составляющие и последующее интегрирование этих составляющих позволит определить широту и долготу текущего местоположения объекта.

Достоинство предлагаемой схемы ИНС заключается в том, что дрейф гироплатформы в рассматриваемом канале ИНС (например, в канале х) не вызывает ошибок в определении скорости и местоположения объекта по этому каналу. Такие ошибки могут возникать лишь из-за влияния другого канала (канала у) через член в формуле (3.28). Однако, как уже было объяснено, это влияние невелико.

ИНС, представленная на рис. 3.6., не испытывает возмущений при любом движении объекта по поверхности Земли и, если объект не имеет вертикальных ускорений, ее можно считать автономной. Как уже отмечалось, вертикальные ускорения в показаниях акселерометра должны быть компенсированы, что возможно лишь при использовании информации от внешнего по отношению к рассматриваемой ИНС источника.

Недостаток этой схемы по сравнению с классической автономной ИНС заключается в том, что она уже не обладает адаптирующими свойствами в отношении смещений в показаниях акселерометров. Смещения вызывают ошибку в вычисленных значениях следовательно, растущие ошибки в определении скорости и местоположения объекта.

1
Оглавление
email@scask.ru