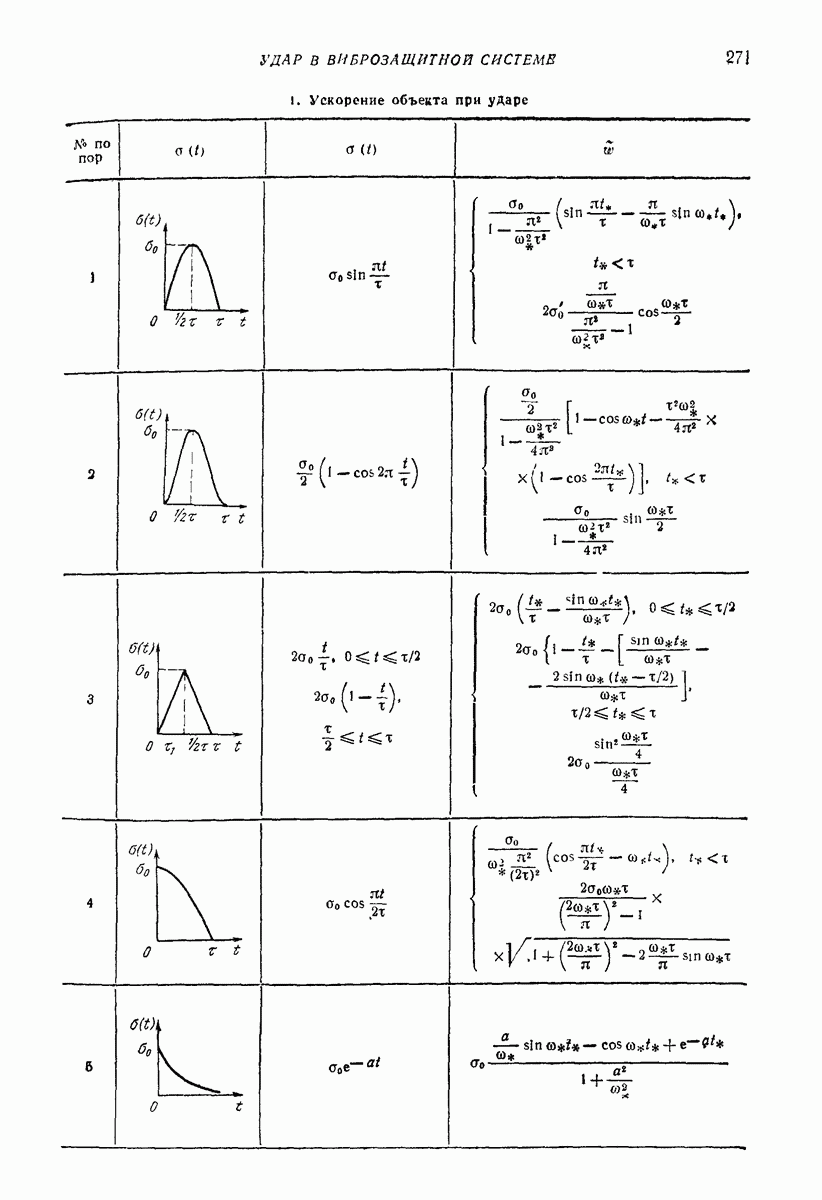
Главная > Вибрации в технике. Т. 6. Защита от вибрации и ударов
НАПИШУ ВСЁ ЧТО ЗАДАЛИ
СЕКРЕТНЫЙ БОТ В ТЕЛЕГЕ
<< Предыдущий параграф Следующий параграф >>
Пред.
След.
Макеты страниц

Распознанный текст, спецсимволы и формулы могут содержать ошибки, поэтому с корректным вариантом рекомендуем ознакомиться на отсканированных изображениях учебника выше

Также, советуем воспользоваться поиском по сайту, мы уверены, что вы сможете найти больше информации по нужной Вам тематике

ДЛЯ СТУДЕНТОВ И ШКОЛЬНИКОВ ЕСТЬ
ZADANIA.TO

5. ОСНОВНЫЕ МЕТОДЫ ВИБРОЗАЩИТЫ

Уменьшение интенсивности колебаний объекта может быть достигнуто следующими способами:

а) уменьшением уровней механических воздействий, возбуждаемых источником; такой способ виброзащиты называется снижением виброактивности источника;

Рис. 12. Схема динамического гашения

Рис. 13. Схема виброизоляции

б) изменением конструкции объекта, при котором заданные механические воздействия будут вызывать менее интенсивные колебания объекта или отдельных его частей; этот метод называется внутренней виброзащитой объекта;

в) присоединением к объекту дополнительной механической системы (рис. 12), изменяющей характер его колебаний. Такая система называется динамическим гасителем колебаний, а метод виброзащиты, основанный на ее применении, — динамическим гашением колебаний;

г) установкой между объектом и источником дополнительной системы (рис, 13), защищающей объект от механических воздействий, возбуждаемых источником; этот метод виброзащиты называется виброизоляцией, а устройства, устанавливаемые между источником и объектом, — виброизоляторами (термин амортизатор не рекомендуется к применению).

Рассмотрим каждый из перечисленных методов.

Снижение виброактивности источника. Возбуждение колебаний источниками может быть обусловлено различными причинами. Удобно разделить возмущающие

факторы на две группы, К первой можно отнести различные физико-химические процессы, происходящие в источнике: процессы горения в реактивных двигателях и двигателях внутреннего сгорания, процессы взаимодействия жидкости или газа с лопатками турбин (сопровождающиеся такими побочными явлениями, как кавитация), пульсацию жидкости или газа в трубопроводах, электромагнитные явления в двигателях и генераторах, разнообразные технологические процессы (например, процесс резания металлов на металлорежущих стайках, процессы обработки материала в горнообогатительном оборудовании и т. п.). К этой группе относятся и явления, связанные с трением в кинематических парах, которое также служит источником возникновения колебаний. Снижение виброактивности факторов этой группы связано с изменением параметров физико-химических процессов и может быгь достигнуто способами, специфическими для каждого частного случая. Эти способы изложены в т. 3 и 4 справочника при рассмотрении колебаний машин и агрегатов различных классов.

Вторая группа возмущающих факторов связана с движущимися телами. Движение тел внутри источника (вращение роторов, перемещение звельев механизмов) сопровождается возникновением динамических реакций связей, соединяющих источник с другими телами, в частности с объектом. Снижение виброактивности источника в этом случае заключается в уменьшении динамических реакций с помощью так называемого уравновешивания движущихся тел. Методы уравновешивания являются, таким образом, способами снижения виброактивности, общими для всех источников, содержащих движущиеся тела Эти методы будут рассмотрены в первой части.

При решении задач уравновешивания приходится учитывать динамические свойства источников, и в первую очередь нежесткость их элементов.

Изменение конструкции объекта. Проблему уменьшения колебаний объекта путем изменения его конструкции необходимо рассматривать в каждом случае особо, с учетом особенностей объекта и конструктивных возможностей его изменения. Однако можно указать два способа снижения колебаний, общих для всех механических систем. Первый способ состоит в устранении резонансных явлений. Если объект обладает линейными свойствами, то задача сводится к соответствующему изменению его собственных частот (т. 3 и 4). Для нелинейных объектов должны выполняться условия отсутствия резонансных явлений, рассмотренные в т. 2. Второй способ заключается в увеличении диссипации механической энергии в объекте. Этот способ виброзащиты, называемый демпфированием, будет рассмотрен во второй части. В ряде случаев демпфирование осуществляется введением в конструкцию объекта специальных устройств, называемых демпферами (см. четвертую часть).

Динамическое гашение колебаний. Динамический гаситель, присоединяемый к объекту, формирует дополнительные динамические воздействия, прикладываемые к объекту в точках присоединения гасителя. Динамическое гашение осуществляется при таком выборе параметров гасителя, при котором эти дополнительные воздействия частично уравновешивают (компенсируют) динамические воздействия, возбуждаемые источником (см. четвертую часть).

Виброизоляция. Действие виброизоляции сводится к ослаблению связей между источником и объектом; при этом уменьшаются динамические воздействия, передаваемые объекту. Ослабление связей обычно сопровождается возникновением некоторых нежелательных явлений: увеличением статических смещений объекта относительно источника, увеличением амплитуд относительных колебаний при низкочастотных воздействиях и при ударах и связанным с этими явлениями, увеличением габаритов системы. Поэтому применение внбронзоляции как метода внброзащиты, в большинстве случаев связано с нахождением компромиссного решения, удовлетворяющего всю совокупность требований. Подробно о виброизоляции см. третью часть.

Виброзащитные устройства и их эффективность. Демпферы, динамические гасители и внбронзоляторы образуют в совокупности виброзащитные устройства. Пассивными называют устройства, состоящие из инерционных, упругих и диссипативных элементов. Активные устройства могут, кроме того, содержать элементы немеханической природы и, как правило, обладают независимым источником энергии.

Эффективность внброзащитных систем принято оценивать отношением величины

какого-либо характерного параметра колебаний объекта, происходящих при при мененин данного виброзащитного устройства, к величине того же параметра при отсутствии виброзащиты. Это отношение называется коэффициентом эффективности вибрационной защиты.

1
Оглавление
email@scask.ru