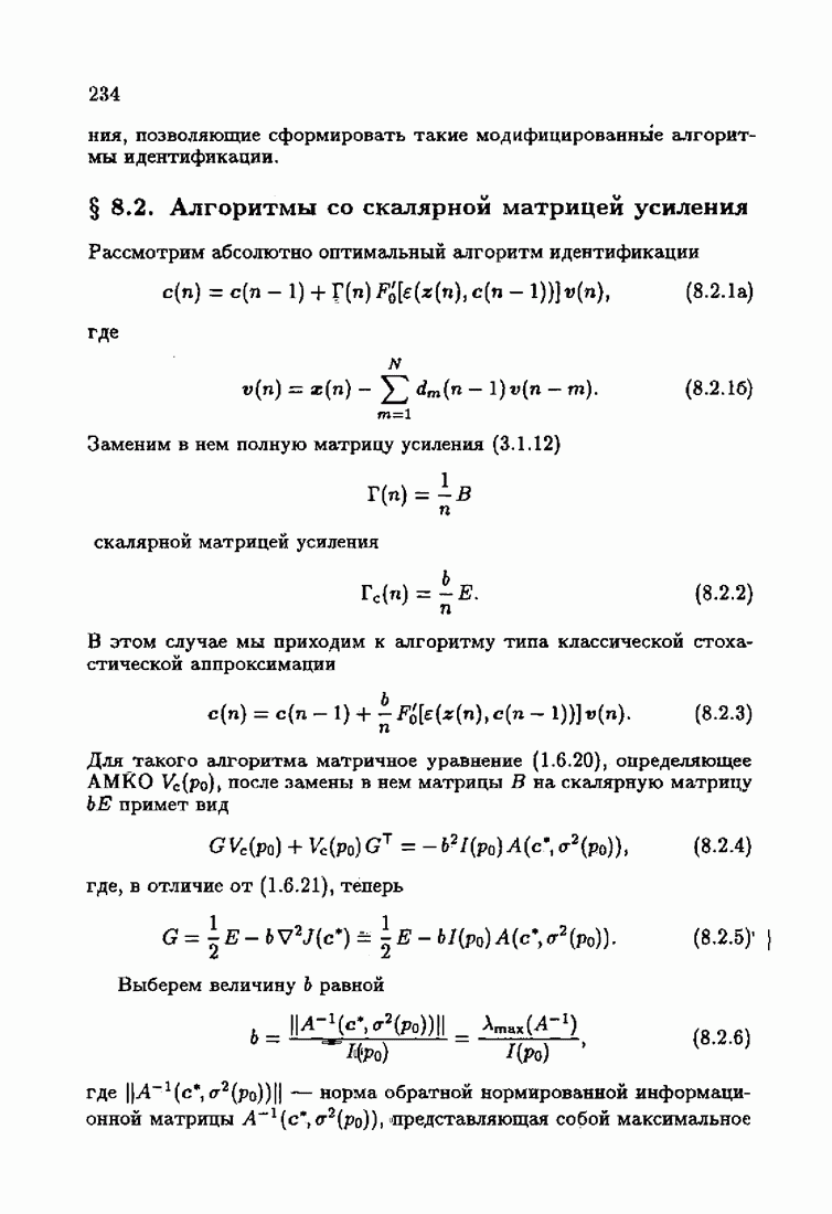
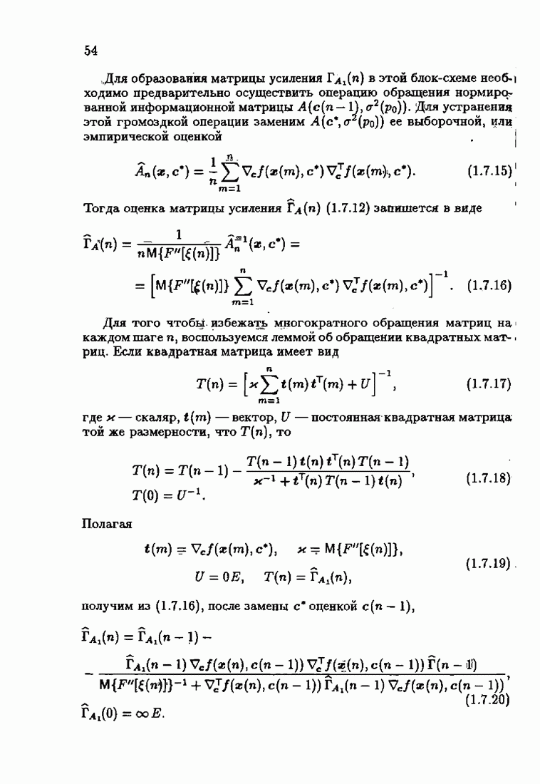
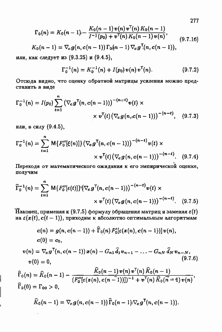
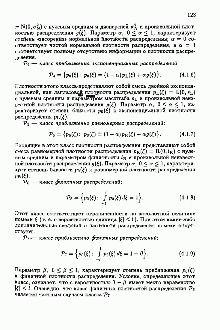
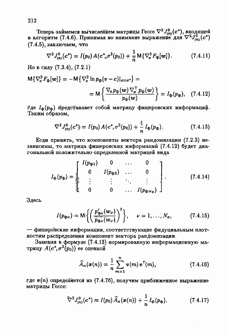
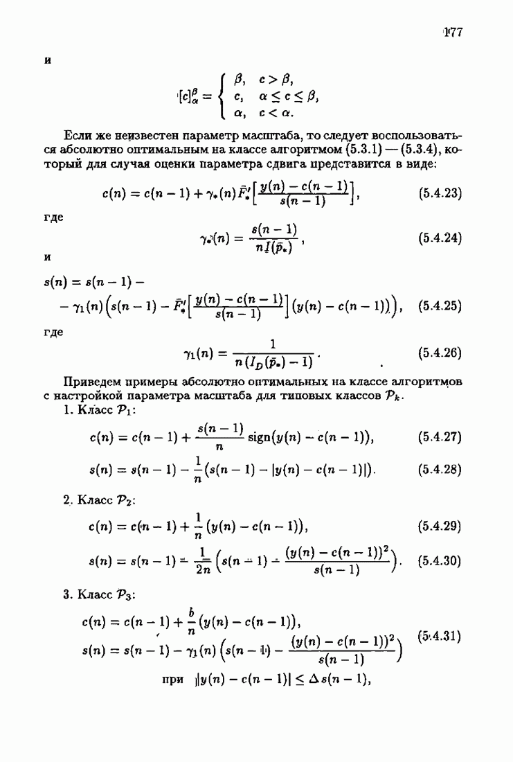
Главная > Информационная теория идентификации
НАПИШУ ВСЁ ЧТО ЗАДАЛИ
СЕКРЕТНЫЙ БОТ В ТЕЛЕГЕ
<< Предыдущий параграф Следующий параграф >>
Пред.
След.
Макеты страниц

Распознанный текст, спецсимволы и формулы могут содержать ошибки, поэтому с корректным вариантом рекомендуем ознакомиться на отсканированных изображениях учебника выше

Также, советуем воспользоваться поиском по сайту, мы уверены, что вы сможете найти больше информации по нужной Вам тематике

ДЛЯ СТУДЕНТОВ И ШКОЛЬНИКОВ ЕСТЬ
ZADANIA.TO

§ 6.2. Особенности оптимальной настраиваемой модели

Для синтеза наилучшей настраиваемой модели, пригодной для идентификации неминимально-фазового по возмущению объекта, необходимо решить задачу минимизации второго момента невязки

которая подробно рассматривалась в § 1.3 для минимально-фазового объекта. Там же было показано, что при надлежащем выборе (1.3.16) эта задача сводится к задаче минимизации

при

Для выяснения специфики неминимально-фазовости объекта воспользуемся условием минимума этого функционала (1.3.18)

Напомним, что передаточная функция объекта по возмущению (6.1.2). В отличие от случая минимально-фазового по возмущению объекта, рассмотренного в § 1.3, теперь полином не внешний, и выбор непригоден. Предположим, что полином имеет корней в области значит, корней в области Число определяет порядок иеминимально-фазовости объекта. Произведем факторизацию полинома возмущения

где

— внешний полином (все его корни расположены в области а

— внутренний полином (все его корни расположены в области значит, Очевидно, что факторизация приводит к выражению

Но теперь полином

— внутренний, а полином

— внешний.

Используя факторизацию полиномов (6.2.5) — (6.2.10), представим после очевидной перегруппировки в такой форме:

Тогда условие оптимальности (6.2.4) после подстановки в него (6.2.11) примет вид

Условие (6.2.12) будет выполнено, если подынтегральное выражение не будет иметь полюсов в области (см. рис. 6.1). Для устранения этих полюсов выберем, аналогично тому, как это было сделано ранее (см. (1.3.20)),

где

причем

Значение (3, как и в § 1.3, определяется из условия

отсюда следует

и оптимальная передаточная функция (6.2.13) принимает вид

Сопоставляя для минимально-фазового по возмущению объекта, заключаем, что в случае неминимально-фазового по возмущению объекта полином возмущения заменяется полиномом а коэффициент — на Производя эти замены, находим аналогично тому, как это было сделано в § 1.3 для минимально-фазовых по возмущению объектов, уравнение оптимальной настраиваемой модели

Здесь

— передаточные функции модели, а

— характеристический полином модели.

Уравнение оптимальной настраиваемой модели можно представить также в виде

или, наконец, в виде разностного уравнения

Уравнение оптимальной настраиваемой модели (6.2.23) для неминимально-фазовых по возмущению объектов совпадает с уравнением оптимальной настраиваемой модели (1.3.31) для минимально-фазовых объектов. Что же касается уравнений (6.2.19) — (6.2.22), то и они совпадают с аналогичными уравнениями (1.3.29) — (1.3.30), поскольку, как видно просто различное обозначение одних и тех же полиномов. Однако, если для минимально-фазовых объектов что означает, что вспомогательные параметры модели могут принимать значение то для неминимально-фазовых объектов Последнее неравенство означает, что вспомогательные параметры модели не могут принимать значений (напомним, полином не внешний), а могут принимать лишь значения которые функционально связаны

Для оптимальной настраиваемой модели функционал достигает минимума, равного

По причем Поэтому

Таким образом, в этом случае для квадратичной функции потерь

При мы приходим к известному результату (1.3.42)

Так как то из сопоставления (6.2.26) и (6.2.27) заключаем, что минимальное значение второго момента невязки для неминимально-фазового по возмущению объекта всегда больше, чем для соответствующего минимально-фазового по возмущению объекта.

Найдя коэффициенты оптимального внешнего характеристического полинома

нетрудно по ним определить коэффициенты и а затем и Однако этого делать, как правило, не следует. Дело в том, что коэффициенты являются функциями основных параметров системы и они могут быть восстановлены непосредственно по структурной схеме, если в этом есть необходимость.

1
Оглавление
email@scask.ru