Главная > Статистическая механика. Строгие результаты
НАПИШУ ВСЁ ЧТО ЗАДАЛИ
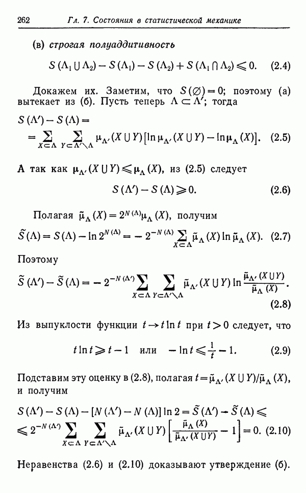
СЕКРЕТНЫЙ БОТ В ТЕЛЕГЕ
<< Предыдущий параграф Следующий параграф >>
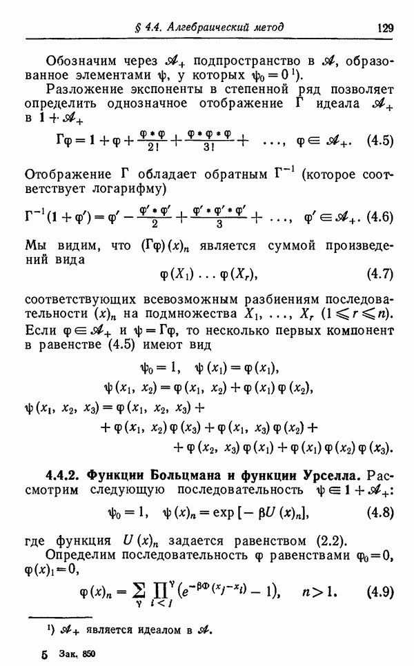
Пред.
След.
Макеты страниц

Распознанный текст, спецсимволы и формулы могут содержать ошибки, поэтому с корректным вариантом рекомендуем ознакомиться на отсканированных изображениях учебника выше

Также, советуем воспользоваться поиском по сайту, мы уверены, что вы сможете найти больше информации по нужной Вам тематике

ДЛЯ СТУДЕНТОВ И ШКОЛЬНИКОВ ЕСТЬ
ZADANIA.TO

§ 4.5. ПОЛОЖИТЕЛЬНЫЕ ПОТЕНЦИАЛЫ

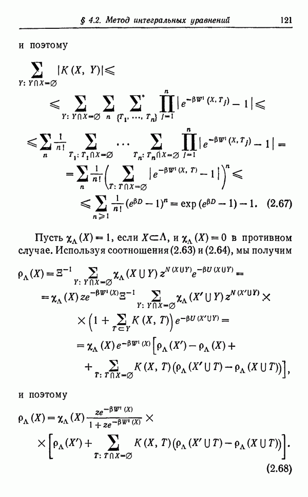
В этом параграфе мы будем считать, что потенциал Ф парного взаимодействия положителен Это предложение позволяет упростить уже полученные формулы и установить некоторые новые результаты. Заметим, что в данном случае и

Разложения по степеням активности сходятся в области, содержащей круг

4.5.1. Неравенство Либа. В статистической механике систем с парным взаимодействием постоянно встречаются произведения вида

Полагая

мы придем к произведениям

В которых — (поскольку ). В связи с этим представляет интерес следующий результат.

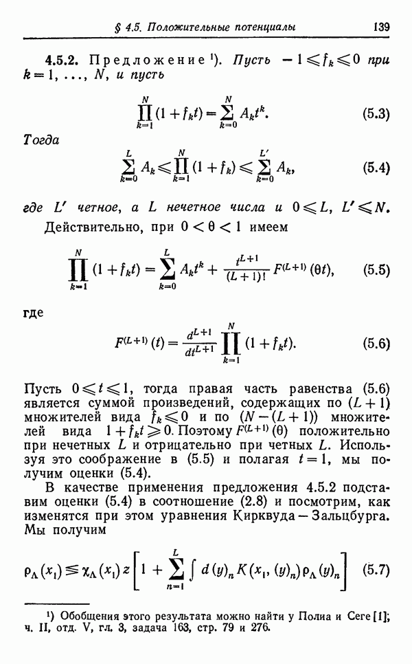
4.5.2. Предложение. Пусть — при и пусть

Тогда

где четное, нечетное числа и Действительно, при имеем

где

Пусть тогда правая часть равенства (5.6) является суммой произведений, содержащих по множителей вида и по множителей вида Поэтому положительно при нечетных и отрицательно при четных Используя это соображение в (5.5) и полагая мы получим оценки (5.4).

В качестве применения предложения 4.5.2 подставим оценки (5.4) в соотношение (2.8) и посмотрим, как изменятся при этом уравнения Кирквуда—Зальцбурга. Мы получим

и

где знак соответствует четным а — нечетным. При мы можем устремить в неравенствах (5.7) и (5.8). Таким образом, получим

Разложим корреляционные функции по степеням

Ввиду равенств (4.22) и (4.25) коэффициентами этого разложения являются

Подставляя разложение (5.10) в неравенства (5.7) и (5.8), можно показать, что при всех

т. е. правая часть (5.12) служит оценкой сверху для четных и оценкой снизу при нечетных. Таким образом, частные суммы разложения корреляционных функций по степеням активности дают попеременно оценки этих функций сверху и снизу (при Назовем это свойство чередованием границ.

Полагая в (5.12) и используя соотношения (3.4), (3.6) и (3.7), мы получим, что свойством чередования границ обладают и разложения Майера.

Упомянем без доказательства, что это же свойство верно и для разложения по степеням активности величин

Из формулы (5.12) следует, что функция определенная равенством (5.11), имеет знак Верен также и более сильный результат

который получается из (4.26) индукцией по В частности, из (4.24) следует, что знаки функций Урселла чередуются

Объединим некоторые результаты о разложениях Майера в отдельную теорему.

4.5.3. Теорема. Пусть в этом случае частные суммы разложений Майера

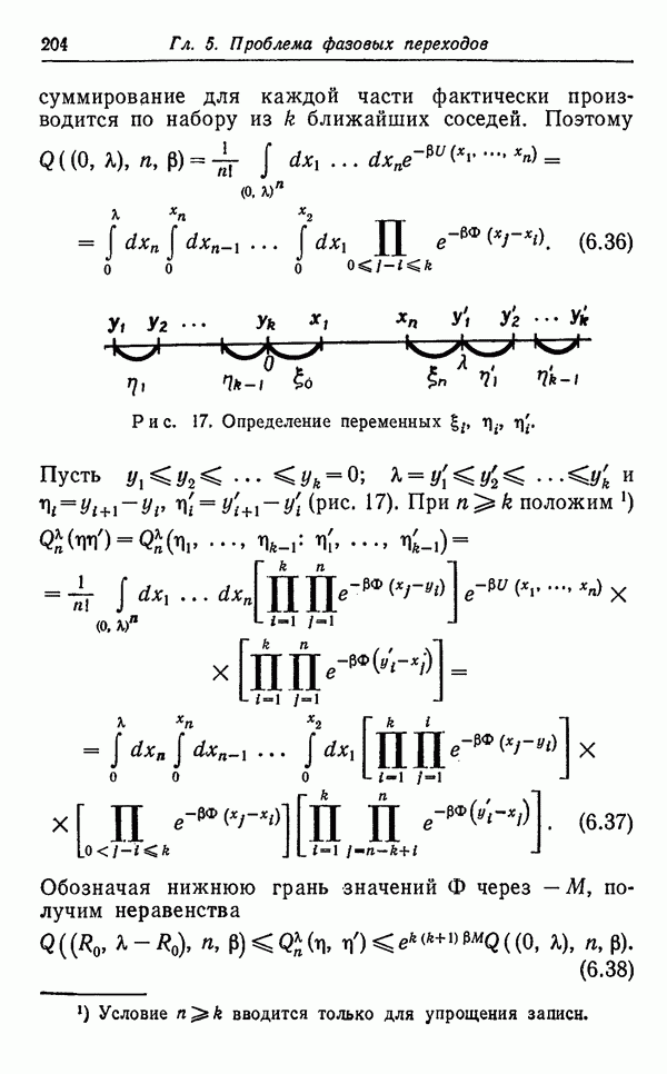
обладают свойством чередования границ; коэффициенты этих разложений таковы, что и

Радиус сходимости рядов (5.15) удовлетворяет оценкам

Аналитические функции определяемые разложениями (5.15), имеют особенность при

Свойство чередования границ и неравенства уже были доказаны. Оценка сверху (5.16)

является частным случаем оценки (3.15). Опуская некоторые члены в правой части равенства (4.26) (все они имеют один и тот же знак), получим

откуда следует

и поэтому ввиду равенств (3.9) и (4.34)

что и доказывает оценку снизу в (5.16).

Оценка (5.17) следует из (5.16). И наконец, из того, что знаки коэффициентов чередуются, следует, что функции имеют особенность при

Из оценок (5.9) следует, в частности, что

Первое из этих неравенств можно переписать в виде

Из того, что при нет фазовых переходов (этот факт обсуждался в § 4.3), и из оценки (5.19) следует, что при

фазовых переходов не происходит, т. е. система остается газообразной.

Для невзаимодействующих частиц с твердой сердцевиной диаметра константа равна объему сферы радиуса (исключенному объему); поэтому из (5.20) следует, что при достаточно больших размерностях

система находится в газообразной фазе также и при плотностях, превышающих плотность простой кубической решетки. Это означает, что мы можем построить такие большие кубические области , что конфигурационное пространство системы из частиц, заключенных в области , содержит несколько связных компонент, в которых каждая конфигурация близка к конфигурации простой кубической решетки, и одну главную связную компоненту, являющуюся, насколько это можно проверить, совершенно нормальным газом.

1
Оглавление
email@scask.ru