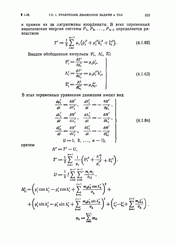
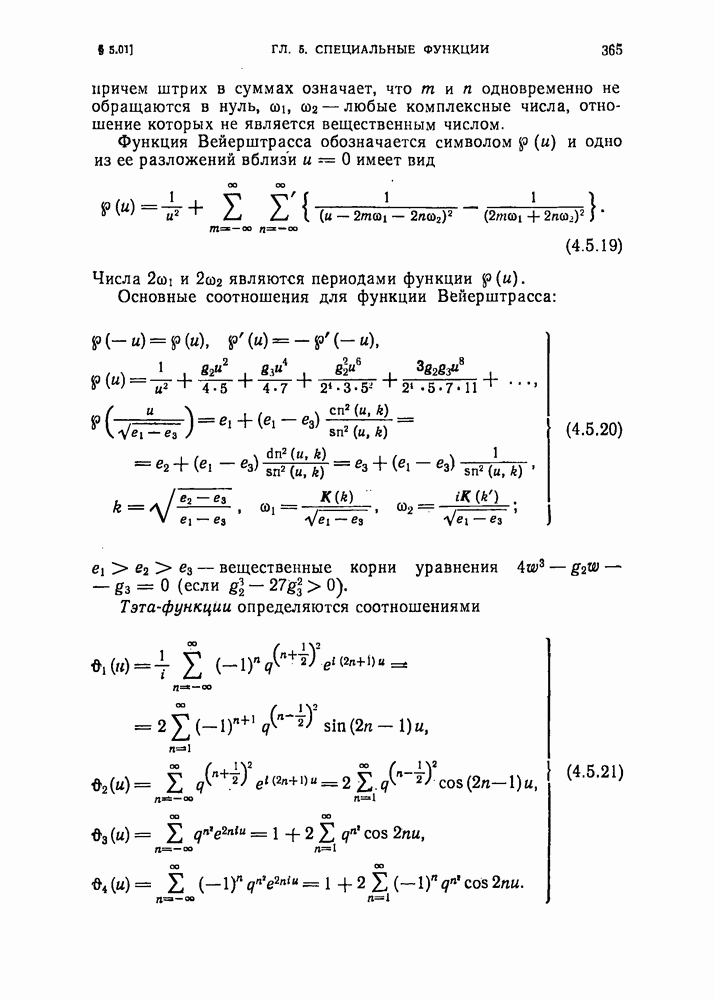
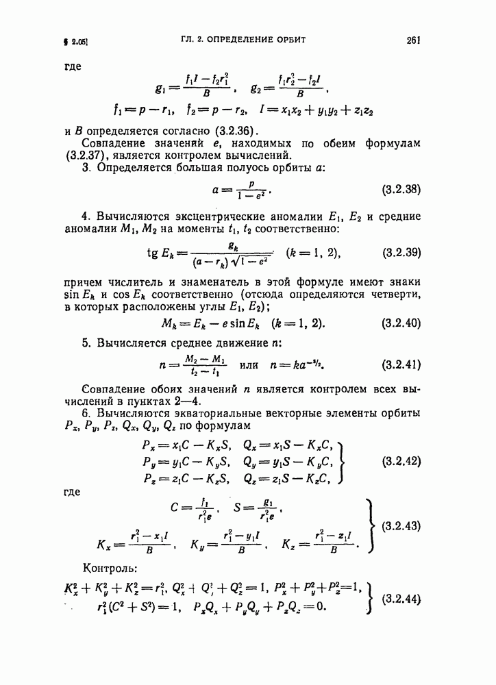
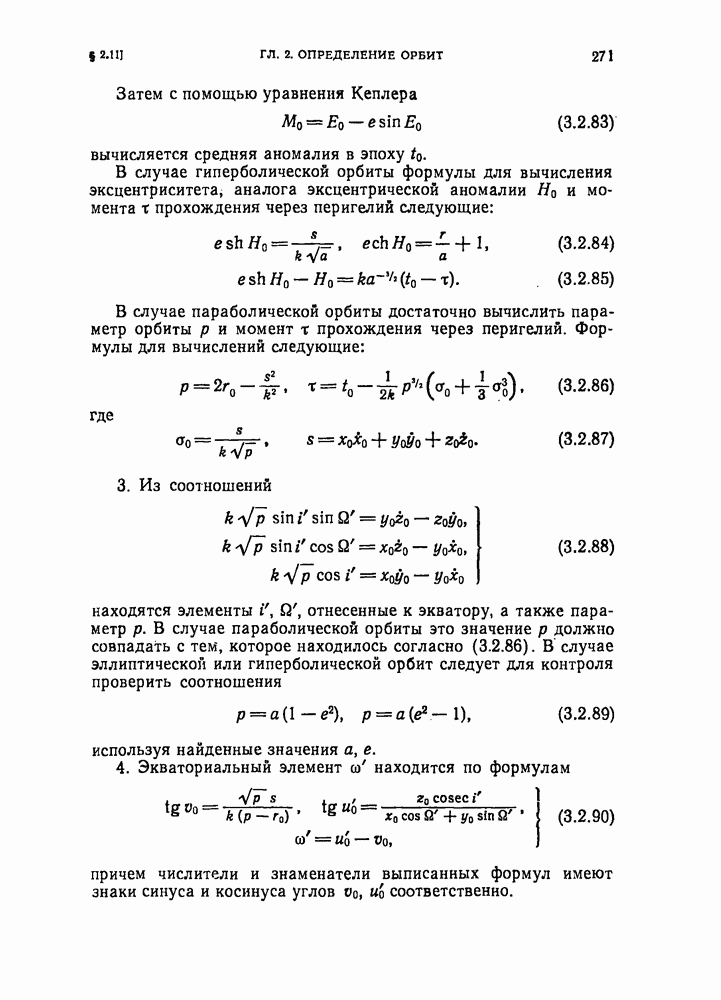
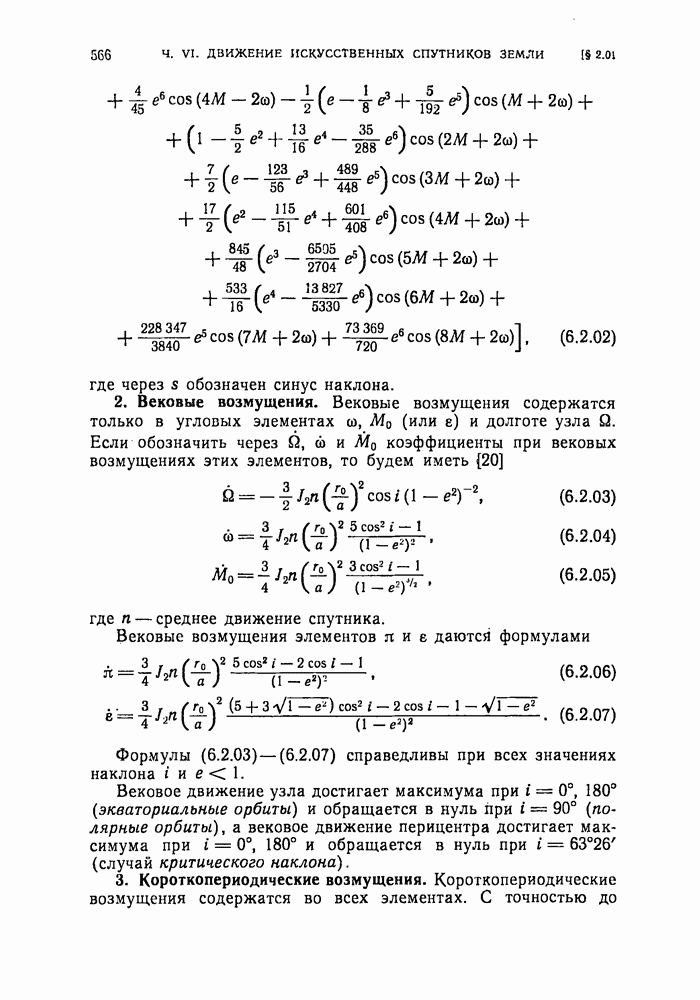
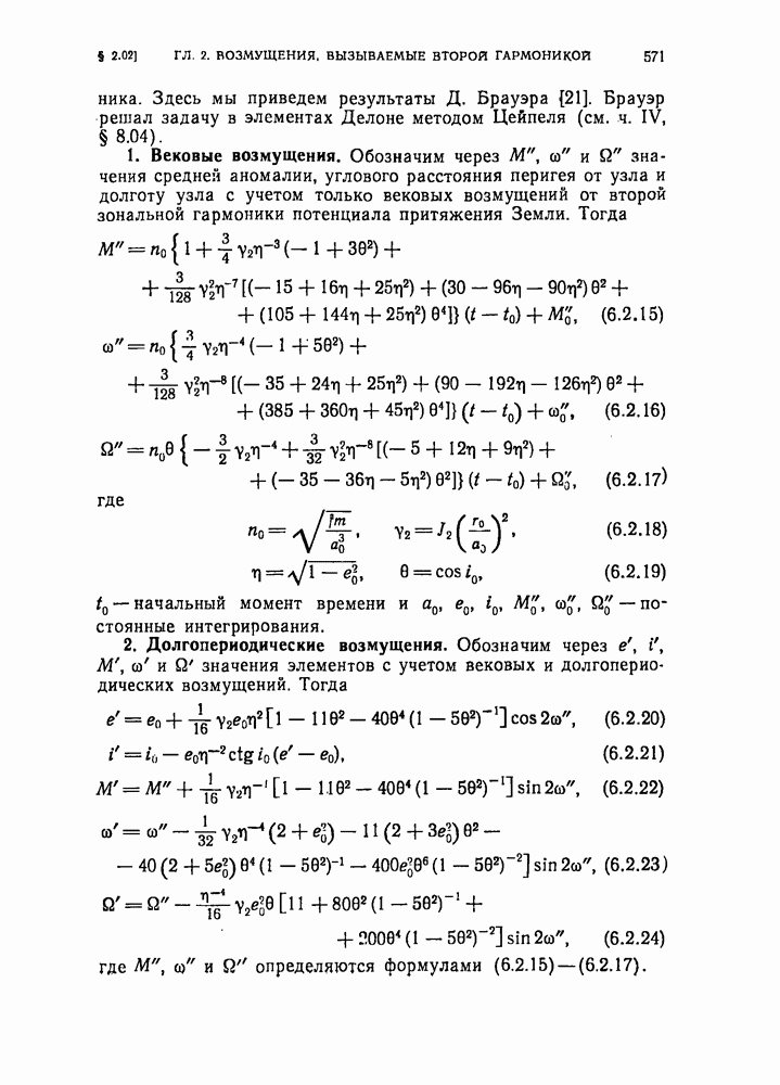
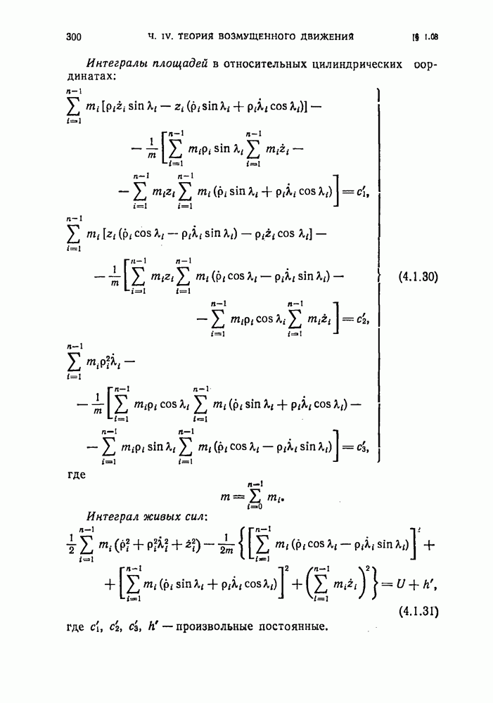
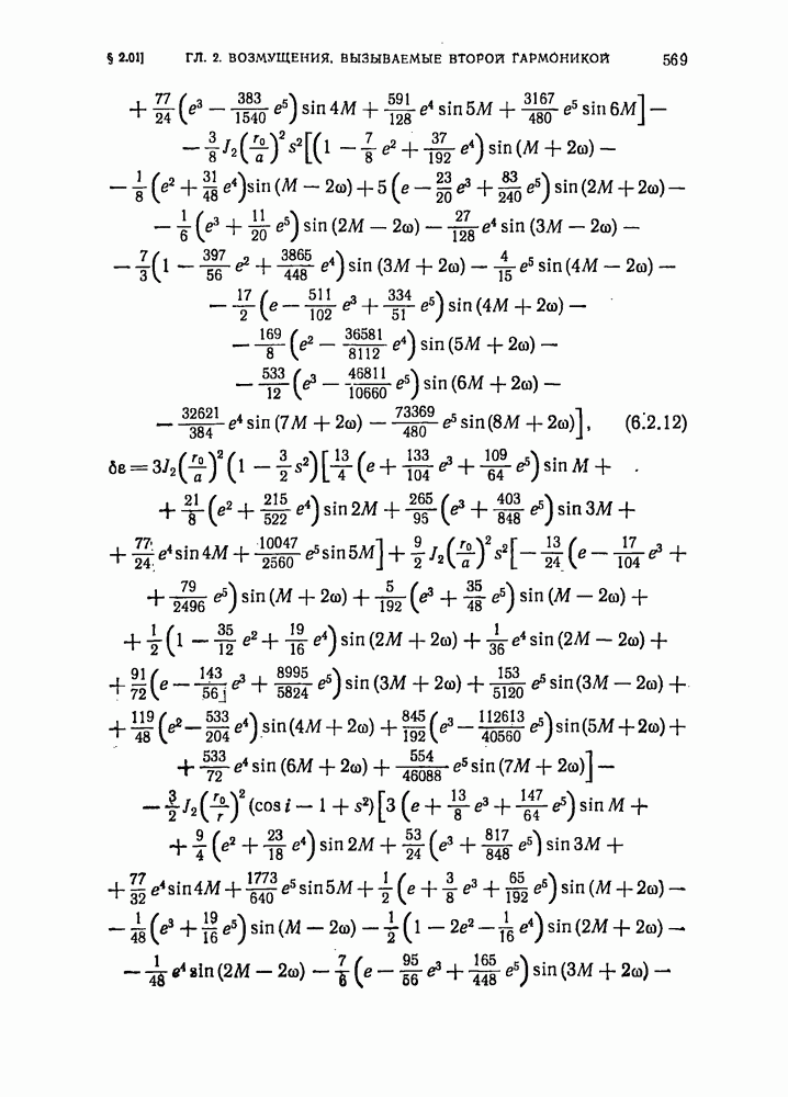
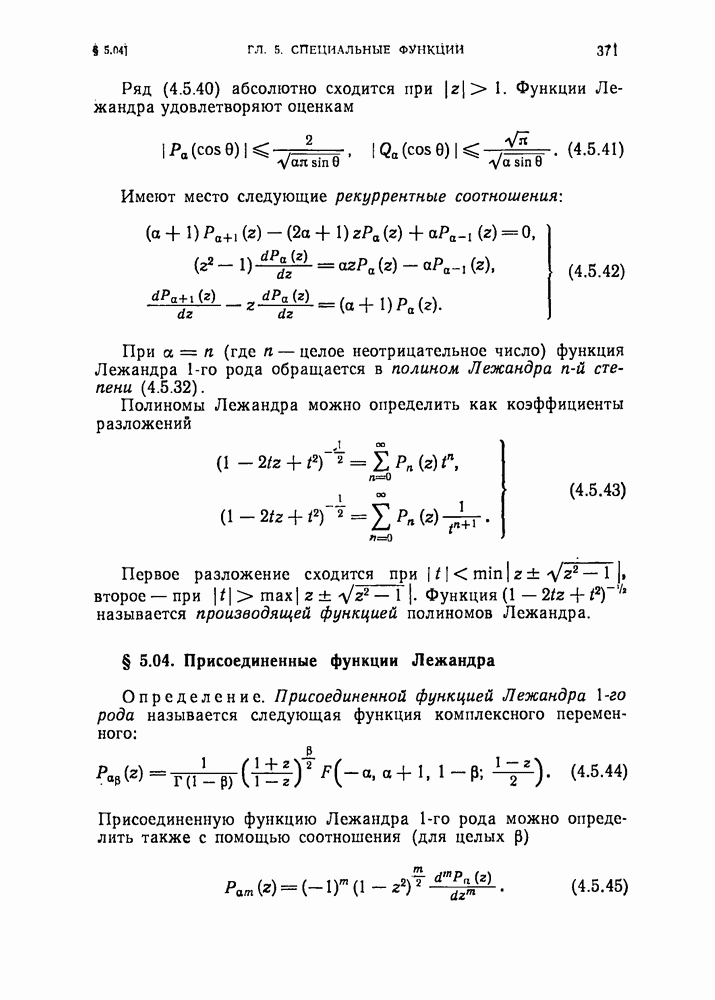
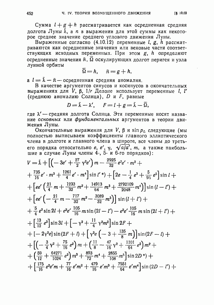
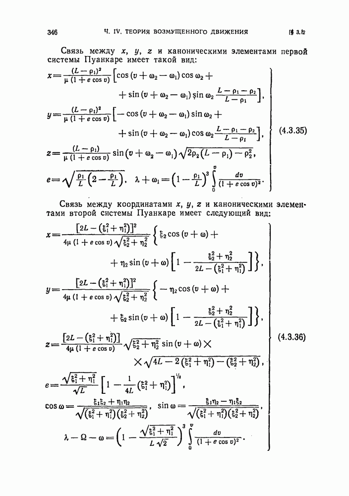
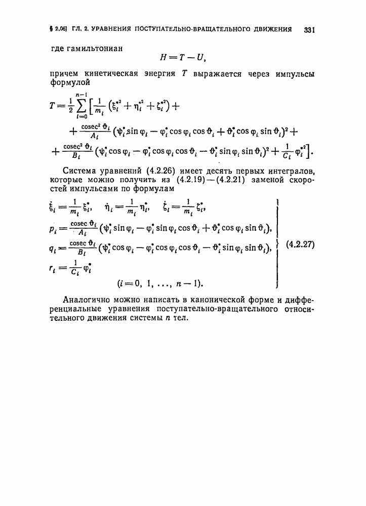
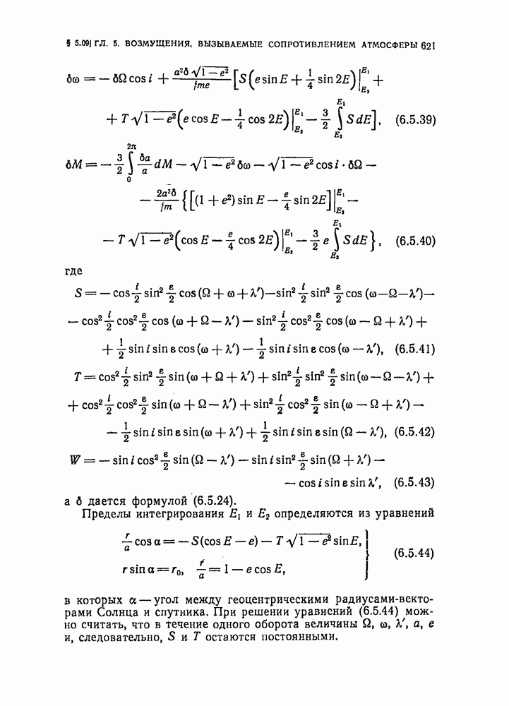
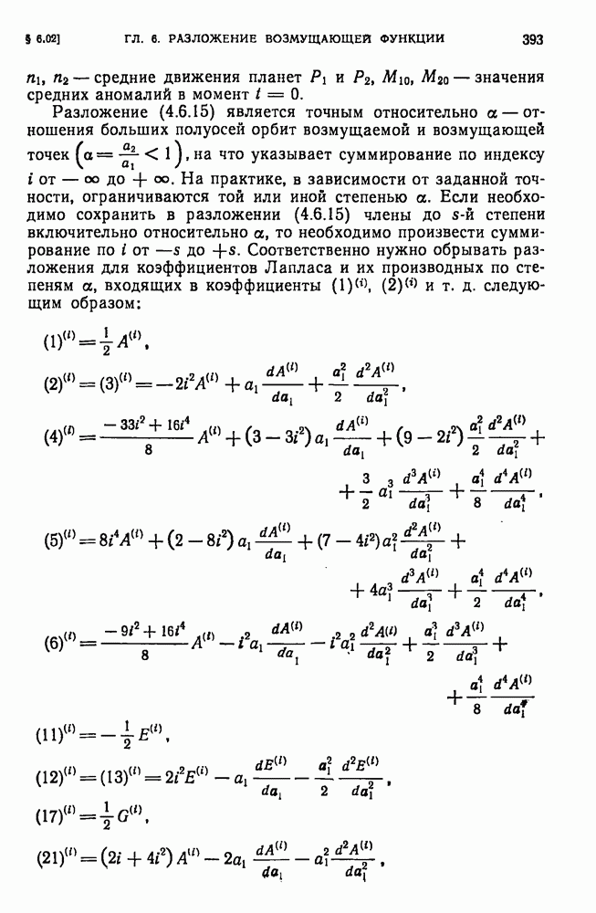
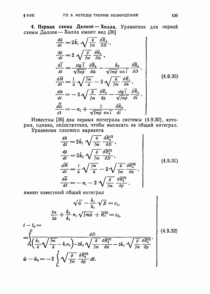
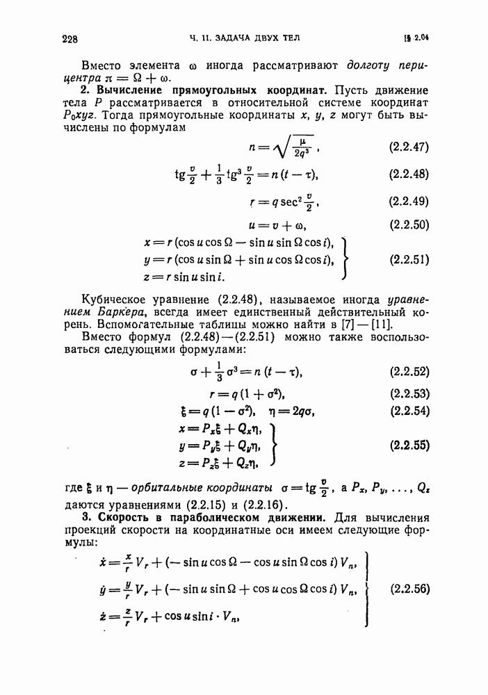
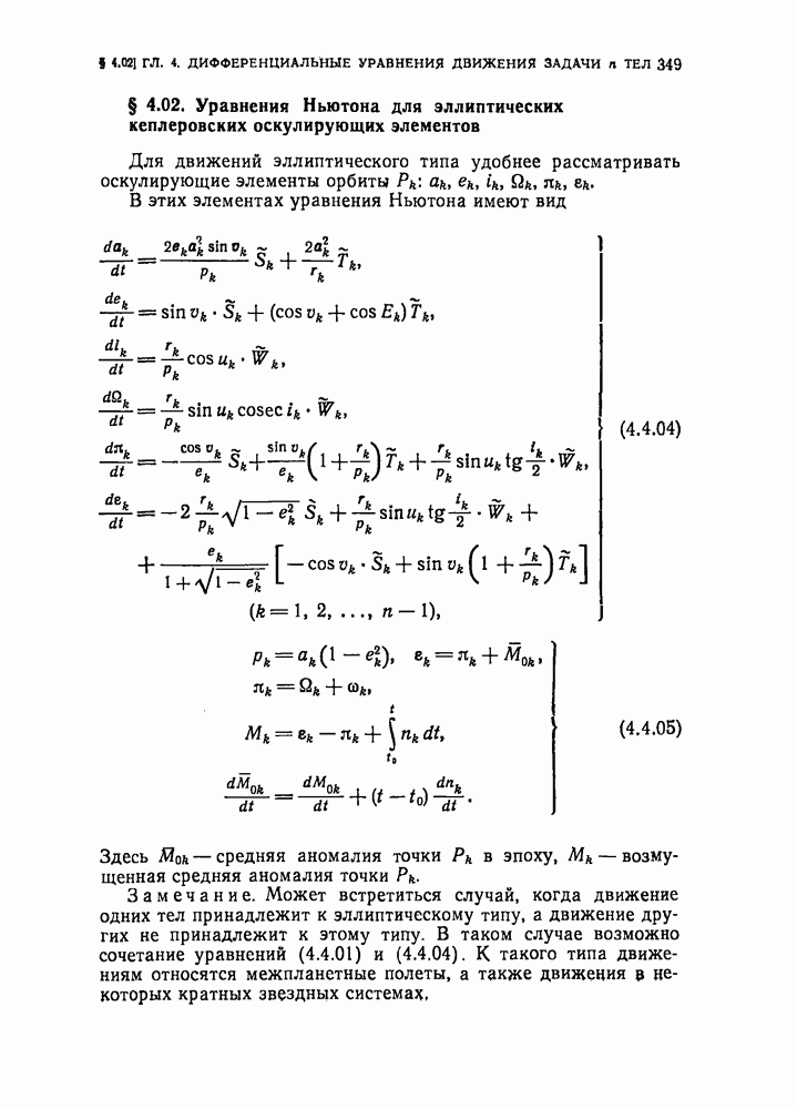
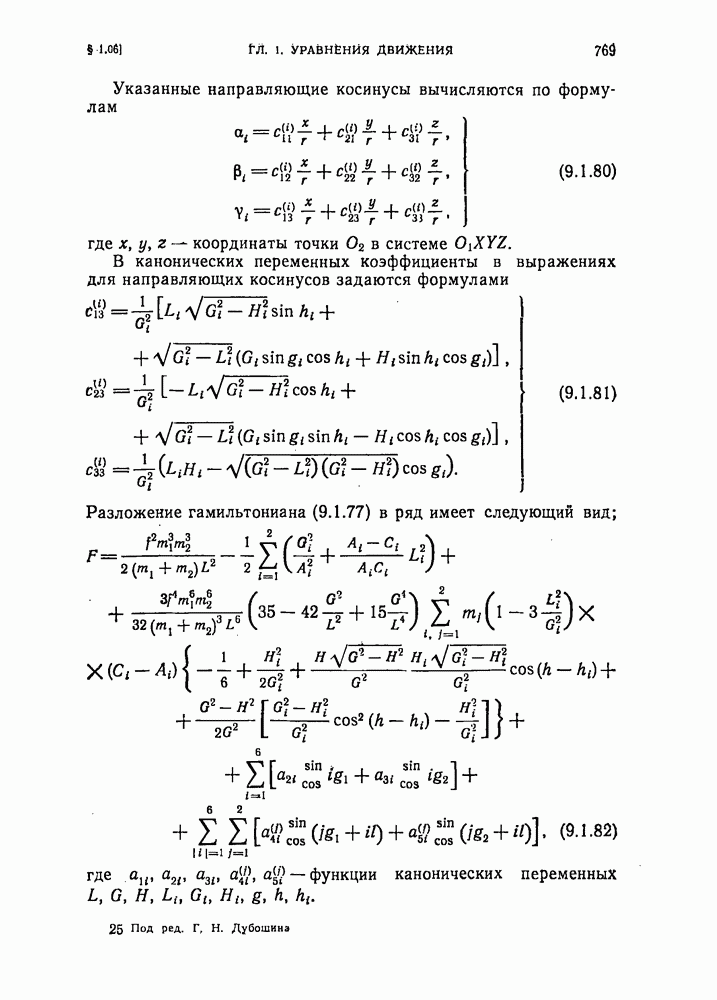
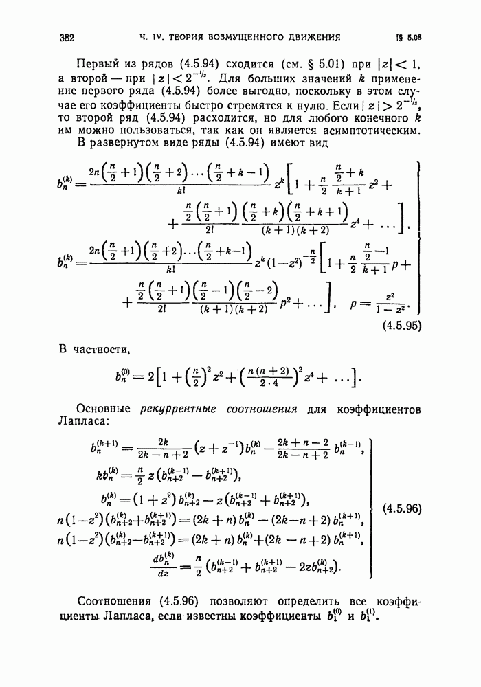
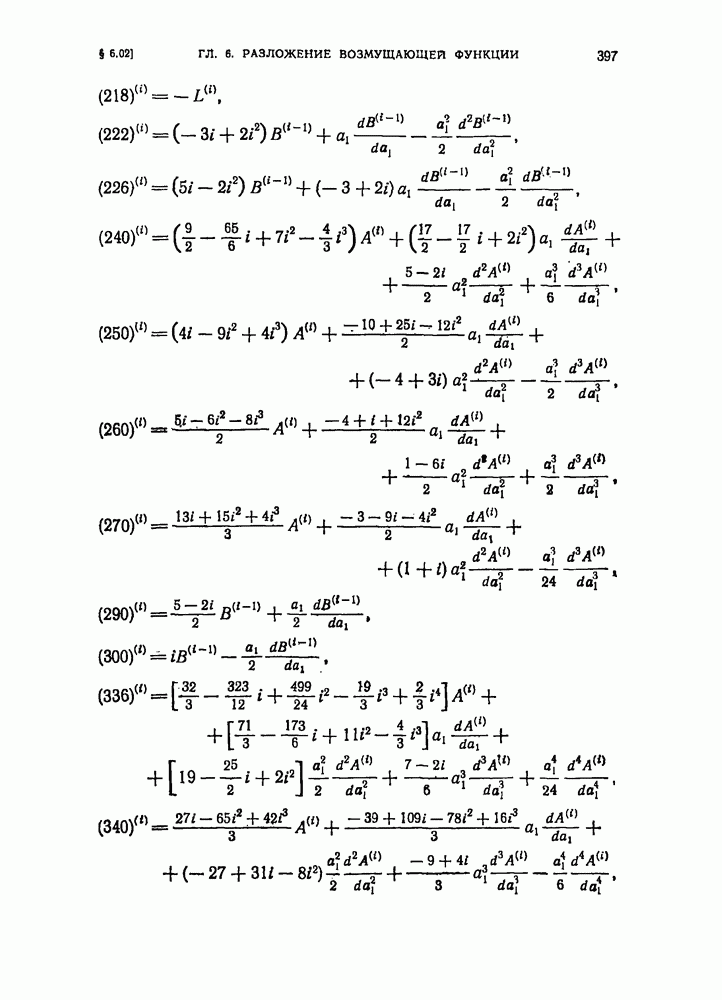
Главная > Справочное руководство по небесной механике и астродинамике
НАПИШУ ВСЁ ЧТО ЗАДАЛИ
СЕКРЕТНЫЙ БОТ В ТЕЛЕГЕ
<< Предыдущий параграф Следующий параграф >>
Пред.
След.
Макеты страниц

Распознанный текст, спецсимволы и формулы могут содержать ошибки, поэтому с корректным вариантом рекомендуем ознакомиться на отсканированных изображениях учебника выше

Также, советуем воспользоваться поиском по сайту, мы уверены, что вы сможете найти больше информации по нужной Вам тематике

ДЛЯ СТУДЕНТОВ И ШКОЛЬНИКОВ ЕСТЬ
ZADANIA.TO

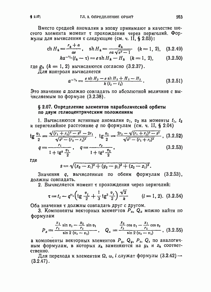
§ 2.04. Квадратурные формулы Гаусса

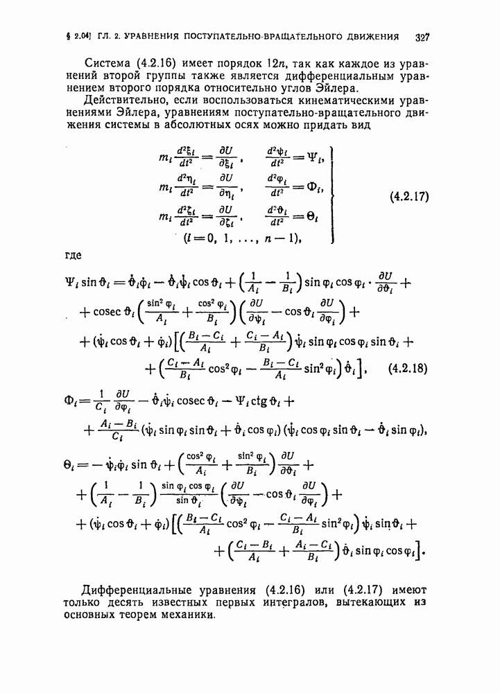
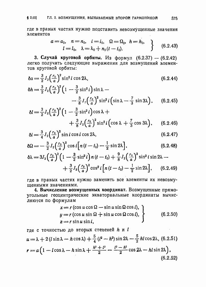
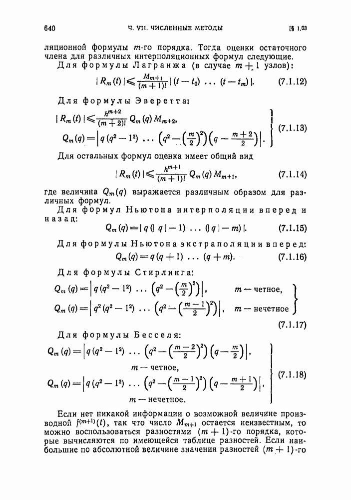
1. Пусть имеется интеграл (7.2.22) и узлов , в которых вычисляются значения могут быть выбраны произвольно. Ставится задача подобрать эти узлов так, чтобы приближенная формула

становилась точной при соответствующих коэффициентах (не зависящих от если -полином как можно более высокой степени Тогда (7.2.32) называется формулой Гаусса или квадратурной формулой, имеющей наивысшую алгебраическую степень точности. При этом показывается, что (Алгебраическая степень точности формул Ньютона — Котеса при узлах равна или

Формула Гаусса непосредственно выписывается для интеграла с нормированным интервалом интегрирования ):

где — нули полинома Лежандра Коэффициенты все положительные и определяются в зависимости от по формуле

Полином Лежандра выражается формулой

Его нули равны при

при

при

Подробные таблицы с коэффициентами и узлами формул Гаусса при имеются в [16].

Для интеграла на произвольном интервале интегрирования формула Гаусса имеет вид

где — те же, что и в (7.2.33)

Формулы Гаусса являются часто наиболее эффективными, т. е. позволяют вычислять интеграл на произвольном интервале интегрирования с заданной точностью при минимальном числе узлов (более подробно об оптимальном выборе квадратурной формулы см. в [9]).

Оценка остаточного члена формулы Гаусса (7.2.36) имеет вид

где — верхняя граница абсолютной величины производной

2. Формула Гаусса обобщается на интегралы вида

где — весовая функция (положительная и интегрируемая). Интегралы с весовой функцией

где — произвольные вещественные числа, называются интегралами Якоби. Общий вид квадратурной формулы типа Гаусса (т. е. имеющей алгебраическую степень точности при узлах) для интегралов Якоби в случае нормированного интервала интегрирования следующий [16]:

где нули полинома Якоби

и коэффициенты выражаются формулой

Г — гамма-функция Эйлера.

Имеются квадратурные формулы для ряда частных случаев (7.2.39) при различных

При имеем формулу

называемую формулой Эрмита. Узлы в этой формуле являются нулями полинома Чебышева (см. § 1.07). Оценка остаточного члена следующая:

Приведем значения при :

Квадратурные формулы вида (7.2.42) с одинаковыми коэффициентами носят название формул Чебышева.

Интересен частный случай интегралов Якоби при Тогда замена переменной приводит к интегралу вида

В [16] приводятся для такого интеграла значения узлов и коэффициентов квадратурной формулы вида (7.2.39) при личных от —0,9 до 5,

Например, при имеем

1
Оглавление
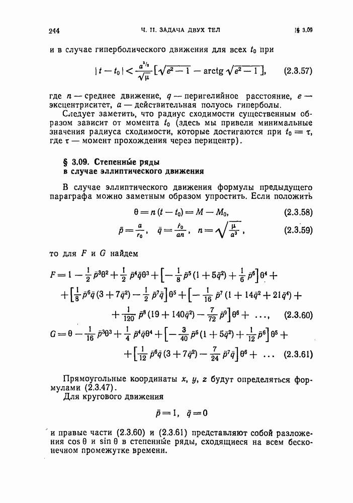
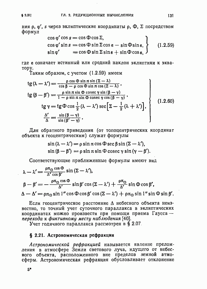
email@scask.ru