Главная > Ряды (Математический анализ)
НАПИШУ ВСЁ ЧТО ЗАДАЛИ
СЕКРЕТНЫЙ БОТ В ТЕЛЕГЕ
<< Предыдущий параграф Следующий параграф >>
Пред.
След.
Макеты страниц

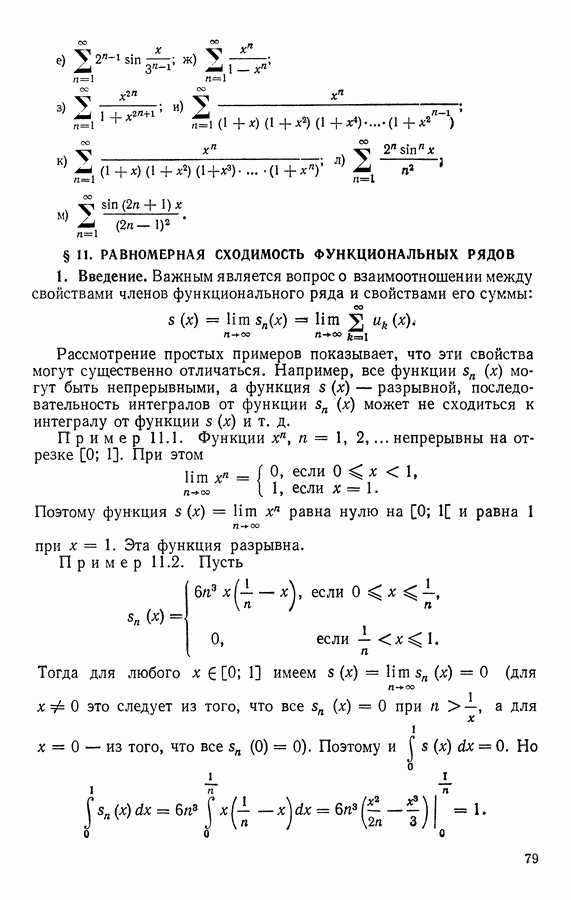
Распознанный текст, спецсимволы и формулы могут содержать ошибки, поэтому с корректным вариантом рекомендуем ознакомиться на отсканированных изображениях учебника выше

Также, советуем воспользоваться поиском по сайту, мы уверены, что вы сможете найти больше информации по нужной Вам тематике

ДЛЯ СТУДЕНТОВ И ШКОЛЬНИКОВ ЕСТЬ
ZADANIA.TO

§ 3. ФУНКЦИОНАЛЬНЫЕ РЯДЫ И ИХ ОБЛАСТЬ СХОДИМОСТИ

Рассмотрим теперь ряды, членами которых являются не числа, а функции.

Определение 3.1. Пусть функции заданы на одном и том же множестве X. Назовем функциональным рядом с общим членом выражение

Если заменять в этом выражении переменную любым числом из X, то получим числовой ряд:

Таким образом, каждый функциональный ряд определяет множество числовых рядов, получаемых из него подстановкой вместо переменной ее значений. Эти числовые ряды могут сходиться при одних значениях аргументов и расходиться при других значениях. Например, как мы знаем, ряд

сходится, если и расходится, если

Определение 3.2. Множество значений аргумента х, при которых сходится функциональный ряд называется областью сходимости этого ряда.

Таким образом, каждому значению из области сходимости ряда соответствует число — сумма данного ряда при Тем самым в области сходимости ряда определена функция называемая суммой этого ряда. Частичные суммы ряда будем обозначать а его остаток обозначим Таким образом, в области сходимости имеем:

Чаще всего используют функциональные ряды двух типов: степенные и тригонометрические.

1. Степенные ряды

1. Степенные ряды — это ряды вида:

Таким образом, степенной ряд является частным случаем функционального ряда, где имеет вид:

Частичная сумма степенного ряда является многочленом. Поэтому вычисление ее значения сводится к арифметическим операциям над значениями аргументов, числом и коэффициентами ряда. При степенной ряд принимает вид:

Из произвольного степенного ряда можно получить ряд типа (3.2), сделав замену Поэтому ясно, что если ряд (3.2) сходится в области X, то ряд (3.1) сходится в области вида:

2. Тригонометрические ряды

2. Тригонометрические ряды — это функциональные ряды вида:

где — постоянные числа, причем При получаем тригонометрический ряд в форме

Из общего тригонометрического ряда с помощью замены получаем ряд вида (3.4). Отсюда следует, что если X — область сходимости ряда (3.4), то ряд (3.3) сходится в области

Вопросы для самоконтроля

(см. скан)

1
Оглавление
email@scask.ru