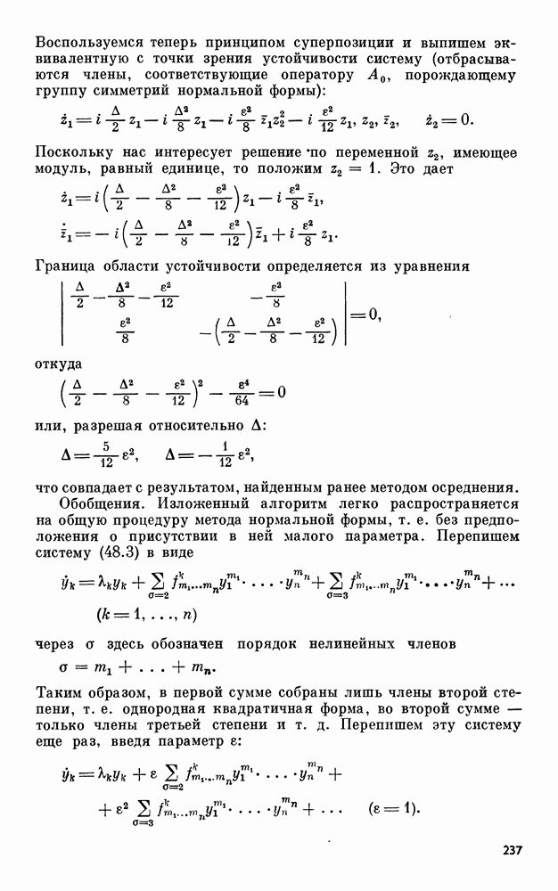
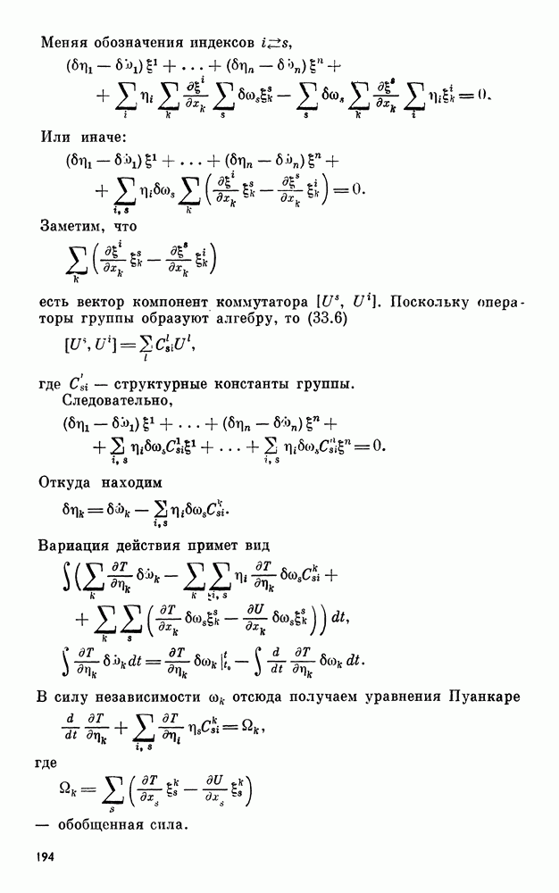
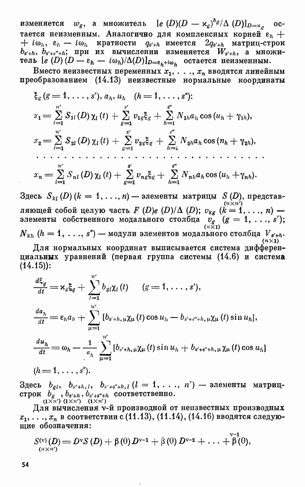
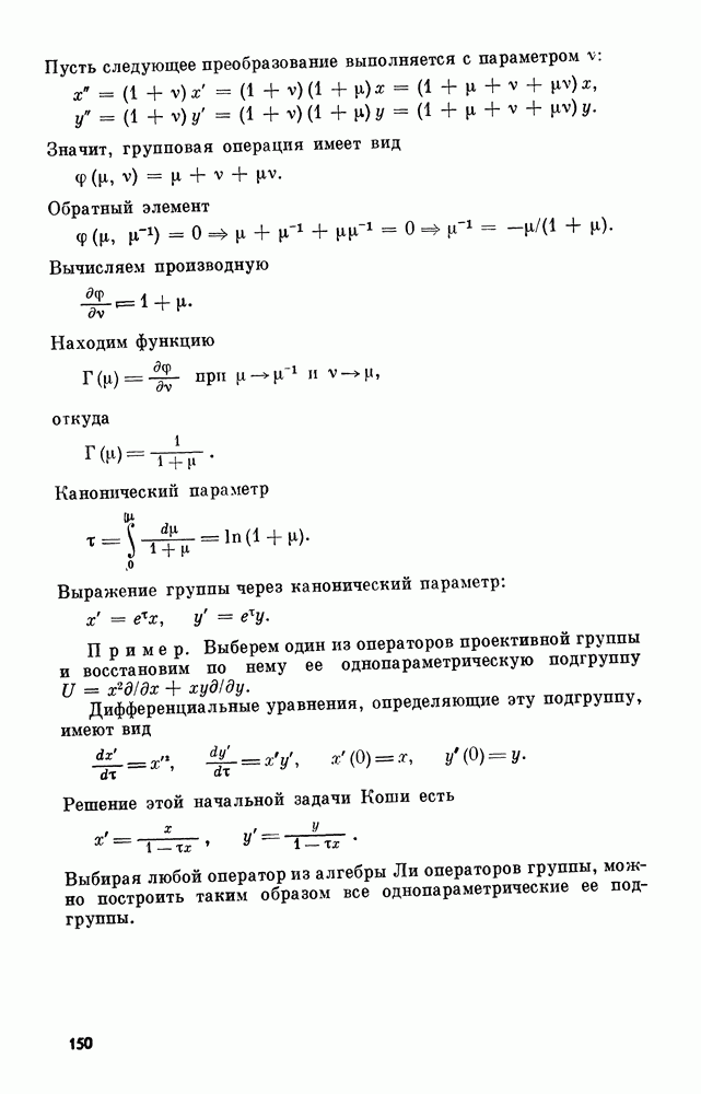
Главная > Прикладные методы в теории колебаний
НАПИШУ ВСЁ ЧТО ЗАДАЛИ
СЕКРЕТНЫЙ БОТ В ТЕЛЕГЕ
<< Предыдущий параграф Следующий параграф >>
Пред.
След.
Макеты страниц

Распознанный текст, спецсимволы и формулы могут содержать ошибки, поэтому с корректным вариантом рекомендуем ознакомиться на отсканированных изображениях учебника выше

Также, советуем воспользоваться поиском по сайту, мы уверены, что вы сможете найти больше информации по нужной Вам тематике

ДЛЯ СТУДЕНТОВ И ШКОЛЬНИКОВ ЕСТЬ
ZADANIA.TO

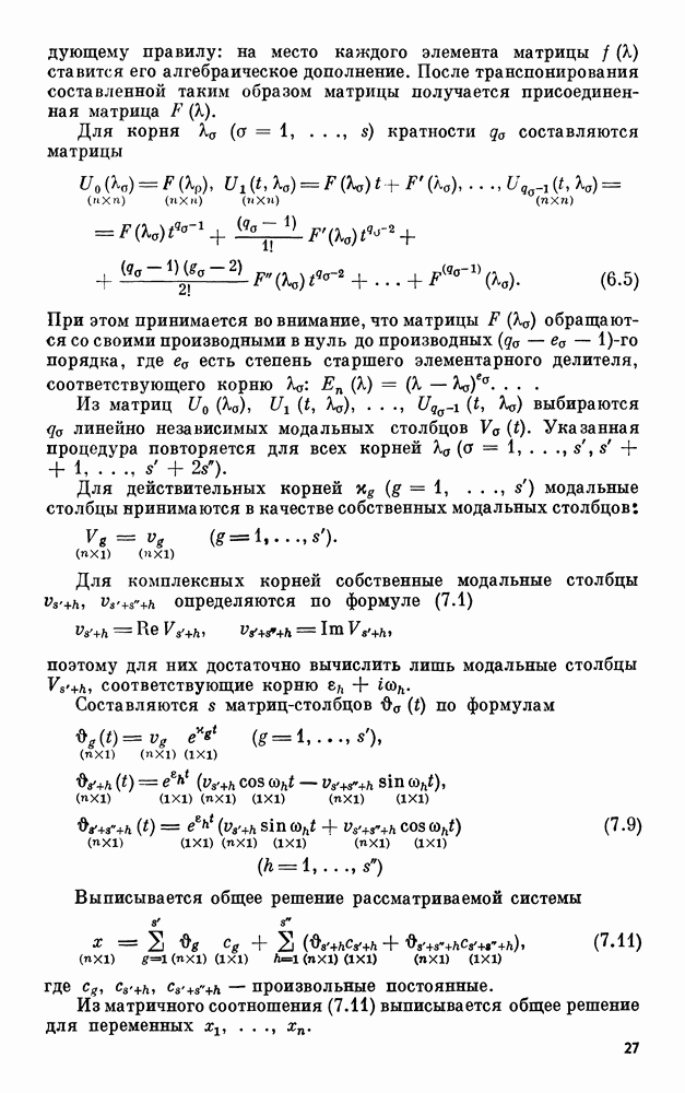
7. Приведение общего решения линейной системы к действительной форме

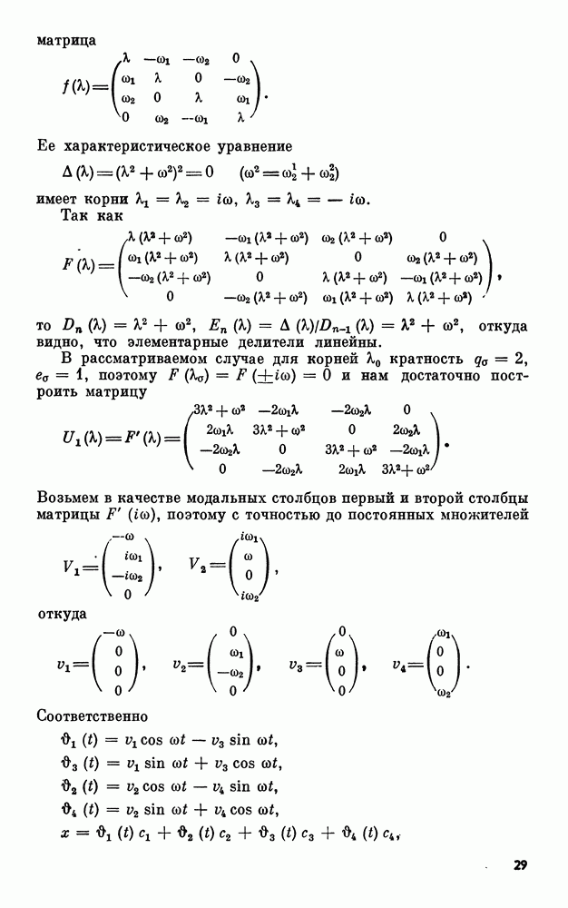
Общее решение системы линейных дифференциальных уравнений может быть записано в действительной форме соответствующим выбором модальных столбцов и произвольных постоянных.

Предположим, что характеристическое уравнение матрицы имеет корней, из которых часть корней является действительными, а другая часть корней — комплексными и сопряженными. Общее число корней

Возьмем модальные столбцы и произвольные постоянные, соответствующие корням взаимно сопряженными:

Будем называть собственными модальными столбцами; в случае действительных корней будем считать модальные столбцы также и собственными модальными столбцами, полагая

Общее решение (5.10) переписывается в виде

Введем модальную матрицу

составленную из собственных модальных столбцов, и обозначим через матрицу-столбец

Будем считать, что элементы этой матрицы определяются формулами

Решение (7.2) с учетом формул (7.3) — (7.5) переписывается в виде

Отсюда находим

Решение (7.6) и представляет собой действительную форму общего решения.

Решение (7.2) можно также представить в другой форме. Для этого введем матрицу

столбцы которой определяются соотношениями

Наконец, обозначим через с матрицу-столбец из произвольных постоянных

Решение (7.2) с учетом формул (7.8) — (7.10) перепишем в виде

Отсюда имеем

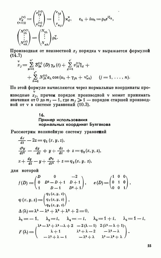
Матрицы могут быть представлены с помощью матрицы Кейли (см. разд. 3). Используя формулы (3.3), (3.12) — (3.14), вместо формул (7.4), (7.5), (7.8) — (7.10) получаем следующие

формулы:

Общее решение (7.11) может быть представлено в виде

1
Оглавление
email@scask.ru