Главная > Теория относительности
НАПИШУ ВСЁ ЧТО ЗАДАЛИ
СЕКРЕТНЫЙ БОТ В ТЕЛЕГЕ
<< Предыдущий параграф Следующий параграф >>
Пред.
1
2
3
4
5
6
7
8
9
10
11
12
13
14
15
16
17
18
19
20
21
22
23
24
25
26
27
28
29
30
31
32
33
34
35
36
37
38
39
40
41
42
43
44
45
46
47
48
49
50
51
52
53
54
55
56
57
58
59
60
61
62
63
64
65
66
67
68
69
70
71
72
73
74
75
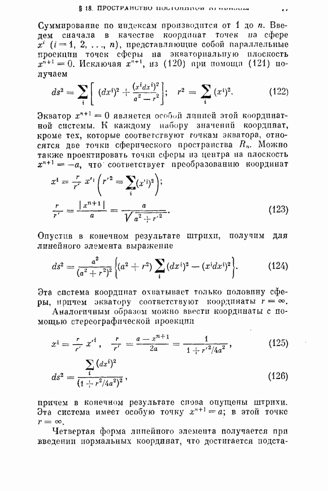
76
77
78
79
80
81
82
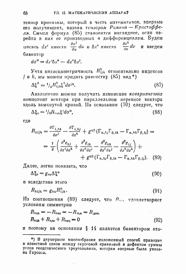
83
84
85
86
87
88
89
90
91
92
93
94
95
96
97
98
99
100
101
102
103
104
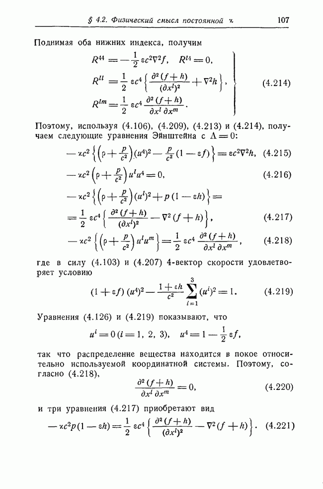
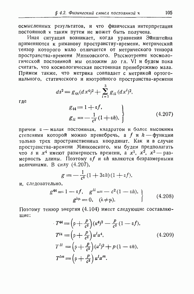
105
106
107
108
109
110
111
112
113
114
115
116
117
118
119
120
121
122
123
124
125
126
127
128
129
130
131
132
133
134
135
136
137
138
139
140
141
142
143
144
145
146
147
148
149
150
151
152
153
154
155
156
157
158
159
160
161
162
163
164
165
166
167
168
169
170
171
172
173
174
175
176
177
178
179
180
181
182
183
184
185
186
187
188
189
190
191
192
193
194
195
196
197
198
199
200
201
202
203
204
205
206
207
208
209
210
211
212
213
214
215
216
217
218
219
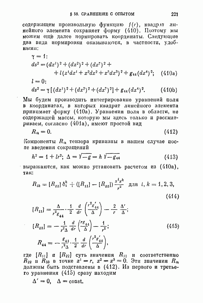
220
221
222
223
224
225
226
227
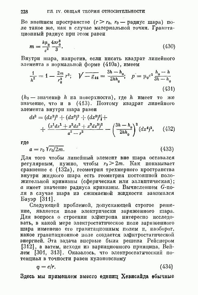
228
229
230
231
232
233
234
235
236
237
238
239
240
241
242
243
244
245
246
247
248
249
250
251
252
253
254
255
256
257
258
259
260
261
262
263
264
265
266
267
268
269
270
271
272
273
274
275
276
277
278
279
280
281
282
283
284
285
286
287
288
289
290
291
292
293
294
295
296
297
298
299
300
301
302
303
304
305
306
307
308
309
310
311
312
313
314
315
След.
Макеты страниц

Распознанный текст, спецсимволы и формулы могут содержать ошибки, поэтому с корректным вариантом рекомендуем ознакомиться на отсканированных изображениях учебника выше

Также, советуем воспользоваться поиском по сайту, мы уверены, что вы сможете найти больше информации по нужной Вам тематике

ДЛЯ СТУДЕНТОВ И ШКОЛЬНИКОВ ЕСТЬ
ZADANIA.TO

ГЛАВА IV. ОБЩАЯ ТЕОРИЯ ОТНОСИТЕЛЬНОСТИ

§ 50. Историческое введение (до работы Эйнштейна 1916 г.)

Закон всемирного тяготения Ньютона, требующий мгновенной передачи действия силы на расстояние, несовместим со специальной теорией относительности. Последняя требует распространения самое большее со скоростью света, а также ковариантности законов тяготения относительно преобразований Лоренца. Еще Пуанкаре [ 14] пытался найтп такое видоизменение закона тяготения Ньютона, которое удовлетворяло бы этим требованиям. Этого можно достигнуть многими способами, приводящими к тому, что силы взаимодействия двух материальных точек зависят не от их одновременного положения, а от положений, различающихся промежутком времени , а также от скоростей и, возможно, ускорений. Отклонения от закона Ньютона всегда второго порядка по и, таким образом, всегда очень малы и не противоречат опыту. Минковский [64] и Зоммерфельд [65] придали выражению Пуанкаре форму, соответствующую четырехмерному векторному исчислению; один специальный закон обсуждался Лоренцем [248].

Против всех этих исследований можно возразить, что они основаны на элементарном законе для силы, а не на дифференциальном уравнении Пуассона. Между тем, если уж оказывается, что действие распространяется с конечной скоростью, то ожидать простых общеприменимых законов

можно только в том случае, если их удается выразить с помощью величин, непрерывно изменяющихся в пространстве и времени (т. е. поля), а также найти дифференциальные уравнения этого поля. Проблема поэтому заключается в нахождении такого изменения уравнения Пуассона

и уравнения движения для материальной точки

чтобы получившиеся выражения были инвариантны относительно преобразований Лоренца.

Однако, прежде чем эта задача была решена, развитие пошло по иному пути. Сразу же после того как физические следствия специальной теории относительности были доведены до состояния известной законченности, Эйнштейн [249] предпринял попытку распространить принцип относительности на системы, отличные от движущихся равномерно и прямолинейно. Он постулировал, что общие законы природы должны были сохранять свою форму не только в галилеевых системах (см. § 2). Возможности для этого открывает так называемый принцип эквивалентности. В ньютоновой теории система, находящаяся в однородном поле тяжести, в механическом отношении вполне эквивалентна равномерно ускоренной системе отсчета. Содержание эйнштейновского принципа эквивалентности, являющегося краеугольным камнем созданной им позже общей теории относительности, заключается в требовании, чтобы и все другие процессы в обеих системах протекали одинаково (см. § 51). Поскольку течение процессов в ускоренной системе может быть определено с помощью вычислений, открывается возможность определить также влияние однородного поля тяжести на любой процесс. В этом эвристическая сила принципа эквивалентности. Таким образом, Эйнштейн показал, что в местах более низкого гравитационного потенциала часы идут медленнее, чем в местах более высокого потенциала, и что уже отсюда вытекает смещение в красную сторону спектральных линий, излучаемых Солнцем (см. § 53, ). Далее оказалось, что в поле тяжести скорость света изменяется,

вследствие чего световые лучи должны искривляться, а также, что любой энергии Е должна быть приписана не только инертная, но и тяжелая масса . В следующей работе Эйнштейн [251] показал, что искривление световых лучей имеет своим следствием доступное проверке смещение положения звезд, наблюдаемых у края солнечного диска. Значение смещения им было тогда определено равным

Уже эта теория однородного гравитационного поля выходила из рамок специальной теории относительности. Вследствие зависимости скорости света и скорости хода часов от гравитационного потенциала здесь уже не может быть проведено данное в § 4 определение одновременности, и преобразования Лоренца теряют свой смысл. Таким образом, с этой точки зрения специальная теория относительности может быть правильна только в отсутствие гравитационных полей. После введения гравитационного потенциала законы природы нужно понимать как соотношения между гравитационным потенциалом и остальными физическими величинами; далее, нужно требовать их ковариантности относительно группы преобразований, для которой гравитационный потенциал также преобразуется подходящим образом. Теперь встала задача установить подобную, опирающуюся на принцип эквивалентности теорию для случая неоднородных гравитационных полей. Эйнштейн и Абрагам [252] пытались характеризовать общее статическое гравитационное поле значением скорости света с в каждой точке пространства-времени, которое, таким образом, играло бы роль гравитационного потенциала, и искали дифференциальные уравнения, которым скорость с должна удовлетворять. Даже если отвлечься от того, что эти теории принимают во внимание лишь гравитационные поля специального вида, они и так приводят к затруднениям.

Поэтому Нордстрём [253] предпринял попытку последовательно придерживаться строгой справедливости специальной теории относительности. В его теории скорость света постоянна и отклонение лучей в поле тяготения не имеет места. Нордстрём логически безукоризненно решает указанную выше задачу придания уравнению Пуассона и уравнению движения материальной точки формы, ковариантной относительно преобразования

Лоренца. В его теории соблюдаются также закон сохранения энергии и импульса и закон равенства инертной и тяжелой масс. И несмотря на это, теория Нордстрема не может быть принята, так как, во-первых, она не удовлетворяет общему принципу относительности (или во всяком случае не удовлетворяет ему простым и естественным образом, см. § 56); во-вторых, она противоречит опыту — не приводит к искривлению световых лучей, а для движения перигелия Меркурия дает неправильный знак; в отношении красного смещения она совпадает с теорией Эйнштейна. Ми [255] также построил теорию тяготения, базирующуюся на специальной теории относительности. Поскольку она не удовлетворяет строго закону равенства инертной и тяжелой масс, она заведомо маловероятна.

Эйнштейн, однако, несмотря на трудности проблемы, не ошибся в своем стремлении придать законам природы такую форму, которая была бы ковариантна относительно возможно более широкой группы преобразований. В выполненной совместно с Гроссманом работе [256] ему удалось достичь существенного успеха в этом направлении. Если квадрат элемента длины преобразован к произвольным криволинейным пространственно-временным координатам, то он представляет собой квадратичную форму дифференциалов координат с десятью коэффициентами (см. § 51). Гравитационное поле теперь определяется уже не скалярной скоростью света, а этим тензором Вместе с тем, введением тензора уравнения движения материальной точки, закон энергии и импульса и уравнения электромагнитного доля для вакуума представлены в этой работе в окончательной, общековариантной форме. Однако установленные тогда дифференциальные уравнения для сами не были общековариантны. В следующей работе [258] Эйнштейн пытался подробнее обосновать эти дифференциальные уравнения и даже думал, что нашел доказательство того, что уравнения, определяющие самый тензор могут не быть общековариантными. Однако в 1915 г. он обнаружил, что требования, предъявлявшиеся им раньше с точки зрения теории инвариантов к уравнениям гравитационного ноля, отнюдь не определяют этих последних однозначно. Для того

чтобы ограничить возможности, Эйнштейн вернулся к требованию общековариантности уравнений, от которого он раньше «отказался лишь с тяжелым сердцем». При помощи римановой теории кривизны ему, действительно, и для самих удалось установить общековариантные уравнения, соответствующие всем исходным физическим требованиям (см. § 56). В дальнейшем сообщении [261] Эйнштейн смог показать, что его теория количественно правильно объясняет движение перигелия Меркурия и предсказывает отклонение световых лучей в гравитационном иоле Солнца, которое вдвое больше выведенного с помощью принципа эквивалентности для однородного поля. Непосредственно за этим появилась заключительная работа Эйнштейна «Основы общей теории относительности» [262]. Последующее изложение посвящено основам и дальнейшему развитию этой теории.

1
Оглавление
email@scask.ru