Главная > Возбуждение электромагнитных волн
НАПИШУ ВСЁ ЧТО ЗАДАЛИ
СЕКРЕТНЫЙ БОТ В ТЕЛЕГЕ
<< Предыдущий параграф Следующий параграф >>
Пред.
След.
Макеты страниц

Распознанный текст, спецсимволы и формулы могут содержать ошибки, поэтому с корректным вариантом рекомендуем ознакомиться на отсканированных изображениях учебника выше

Также, советуем воспользоваться поиском по сайту, мы уверены, что вы сможете найти больше информации по нужной Вам тематике

ДЛЯ СТУДЕНТОВ И ШКОЛЬНИКОВ ЕСТЬ
ZADANIA.TO

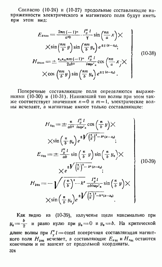
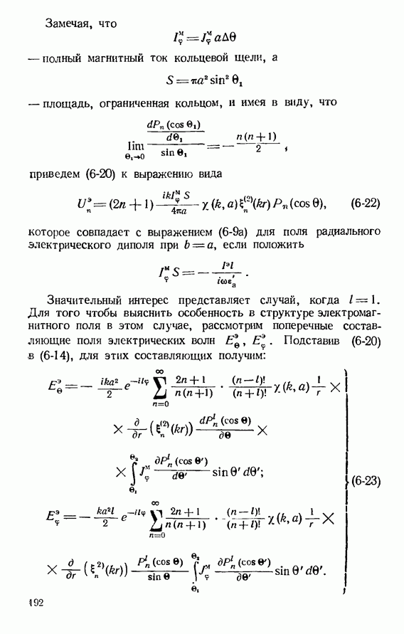
8-4. РАСЧЕТ ТОКОВ НА ИМПЕДАНСНОЙ ПЛОСКОСТИ МЕТОДОМ ИНТЕГРАЛЬНЫХ УРАВНЕНИЙ

Рассмотренное в предыдущем параграфе решение задачи о возбуждении полосы с модулированным импедансом в приближении Кирхгофа хотя и отличается простотой, в силу упомянутых выше ограничений может носить лишь оценочный характер. К тому же необходимость вычисления интегралов Фурье от сложных спектральных плотностей позволяет, как правило, найти лишь поле в дальней зоне, когда эти интегралы можно оценить методом перевала.

Рис. 8-5. Импедансная полоса на плоском экране.

Чтобы получить более точное и общее решение задачи, составим интегральные уравнения для электрических и магнитных токов, возбуждаемых на плоскости с переменным поверхностным импедансом. Для учета действия краев импедансной структуры предположим, что эта структура занимает лишь часть плоскости, представляя собой полосу, параллельную оси х (рис. 8-5). Остальная часть плоскости является идеально проводящим экраном. Следовательно, поверхностный импеданс будет равен нулю и будет отличен от нуля при Кроме того, будем считать, что импеданс однороден в направлении оси х и произвольно меняется в направлении оси у. В объеме V над плоскостью расположены сторонние электрические и магнитные токи, распределение которых не зависит от координаты х. Так как импеданс и распределение сторонних токов не зависят от координаты х, поставленная задача будет двумерной.

Мы ограничимся рассмотрением поля электрических волн, распространяющихся по оси предполагая, что читатель сможет перенести метод решения и на случай магнитных волн.

Поле электрических волн имеет составляющие и в пределах импедансной полосы должно удовлетворять граничному условию (8-5а), которое мы запишем следующим образом:

где — поверхностный магнитный ток;

— поверхностный электрический ток.

На всей остальной части плоскости где должно выполняться граничное условие

Поле над плоскостью будет описываться электрическим и магнитным векторными потенциалами, которые согласно (2-9) представляются выражениями:

где — сечение области расположения токов плоскостью

Объемные плотности электрических и магнитных токов в (8-57) будут складываться из сторонних токов, заданных в объеме V, и токов, наведенных на импедансной полосе и экране:

причем наведенные токи будут поверхностными, т. е.

Наведенные электрические токи существуют как на импедансной полосе, так и на экране, а наведенные магнитные токи текут только в пределах импеданской полосы.

Остановимся на выборе функций Грина Возьмем их такими, чтобы они удовлетворяли двухмерному волновому уравнению, условиям излучения на бесконечности и граничному условию на экране (8-56). Двухмерная функция Грина для свободного пространства, удовлетворяющая всем перечисленным выше требованиям, кроме последнего, была нами записана в гл. 2 в виде выражения (2-146).

Взяв сумму и разность выражений (2-146), можно получить функции Грина, удовлетворяющие поставленным требованиям.

Если мы теперь с помощью формул (1-29) и (8-57) найдем поле создаваемое токами, определяемыми выражением (8-58), то используя граничное условие (8-55), получим следующее интегральное уравнение для электрического поверхностного тока:

Далее, можно исключить электрический ток из левой части выражения (8-60). В этом случае получим интегральное уравнение для магнитного поверхностного тока, существующего лишь в пределах импедансной полосы:

Проделанный нами вывод интегральных уравнений для токов, использующей в явном виде функции Грина, часто

применяется при решении электродинамических задач и обладает достаточной общностью. Действительно, уравнения (8-60) и (8-61) легко обобщить на ряд двухмерных задач возбуждения импедансных структур Можно записать интегральные уравнения: для полосы с переменным импедансом, лежащей на грани идеально проводящего клина; для диска с переменным по радиусу импедансом, вписанного в идеально проводящую плоскость; для вписанного в идеально проводящий цилиндр кольца с переменным вдоль образующей импедансом; для сегмента идеально проводящей сферы, имеющего переменный в меридиональном направлении импеданс, и пр. Для этого достаточно от координат х, у, z перейти к соответствующим криволинейным координатам и использовать известные выражения для двухмерных функций Грина, удовлетворяющих граничному условию на упомянутых телах.

Мы ограничимся здесь решением плоской задачи, для чего вернемся к уравнениям (8-60) и (8-61). Эти уравнення являются неоднородными интегральными уравнениями Фредгольма второго рода [Л. 3]. Ядра этих уравнений имеют логарифмическую особенность при так как функция Ганкеля второго рода нулевого порядка при малых аргументах может быть заменена известным асимтотическим представлением

где

Точные решения интегральных уравнений вида (8-60) и (8-61) в настоящее время не найдены. Это заставляет обратиться к численным методам решения. Наиболее простым и универсальным методом численного решения интегральных уравнений с интегрируемой особеностью в ядре является метод Крылова — Боголюбова [Л. 7]. Он заключается в том, что интеграл от неизвестной функции и ядра представляется в виде суммы интегралов по малым интервалам, причем неизвестная функция предполагается мало меняющейся внутри каждого интервала и значение ее в средней точке интервала выносится за знак интеграла. В результате интегральное уравнение вида

сводится к уравнению

Полагая в (8-62) последовательно получим систему линейных алгебраических уравнений:

Порядок системы (8-63) равен где — длина промежутка При решении нашей задачи промежуток интегрирования в уравнениях (8-60) и (8-61) совпадает с шириной импедансной полосы.

Очевидно, что нам достаточно решить любое из двух уравнений, так как по найденному электрическому току мы всегда с помощью (8-55) можем определить магнитный ток и наоборот.

С другой стороны, при вычислении поля над плоскостью после нахождения токов мы должны учитывать в соответствии с теоремой единственности либо значение Е, на плоскости, т. е. поверхностный электрический ток, либо значение на плоскости, т. е. поверхностный магнитный ток. Здесь, однако, удобнее с точки зрения выполнения расчетов учитывать магнитный ток, так как он задан в конечном промежутке.

Поле над плоскостью при этом находится по формулам (3-22) и (3-23), куда вместо функций Грина подставляются соответствующим образом функции и Интеграл обратится в нуль, ибо в нем в качестве функции должна фигурировать функция равная нулю на плоскости Следовательно, в конечном счете нас интересует поверхностный магнитный ток.

Рассмотрим несколько распределений токов на импедансной полосе, рассчитанных методом Крылова — Боголюбова на электронных вычислительных машинах. Во всех случаях ширина полосы будет равна длина волны в

свободном пространстве), а импеданс полосы будет чисто реактивным. Сторонний источник будет задан в виде нити магнитного тока, лежащей на левом краю полосы

Рис. 8-6. Распределение электрических токов на полосе с импедансом

На приведенных здесь графиках распределений токов на полосе пунктирными линиями показана величина

пропорциональная модулю электрического поверхностного тока; сплошными линиями показана величина

пропорциональная модулю магнитного поверхностного тока, и штрих-пунктирными линиями показано распределение фазы электрического тока в градусах.

На рис. 8-6 представлено распределение электрического тока на полосе с постоянным индуктивным импедансом Здесь можно отчетливо видеть, как при удалении от источника спадает поле пространственной волны и, начиная с распределение тока определяется интерференцией двух поверхностных волн: уходящей от источника и отраженной от правого края полосы. Распределение фазы близко к линейному; наклон его характеризует степень замедления поверхностной волны.

На рис. 8-7 приведена картина распределения токов на полосе с линейно убывающим поверхностным реактансом В этом случае примечательными являются достаточно малое отражение поверхностной волны от края полосы, а также уменьшение замедления вместе с убыванием импеданса.

Рис. 8-7. Распределение токов на полосе с импедансом

Средние линии графиков модулей токов наклонены в сторону меньших значений причем модуль магнитного тока спадает гораздо быстрее, чем модуль электрического тока.

На рис. 8-8 нанесены графики распределения токов на полосе с импедансом, возрастающим по закону Тут важно отметить сильное отражение поверхностной волны, связанное с большим перепадом импеданса на правом краю полосы (от до нуля). Другим фактом является постепенное увеличение амплитуды магнитного тока в направлении возрастания импеданса при относительном постоянстве средней величины электрического тока. Это говорит об увеличении мощности, захватываемой поверхностной волной от источника, на участках с большим значением импеданса. Такую закономерность можно подтвердить обращением к формулам (8-35), откуда следует, что при возбуждении нитью магнитного тока

Рис. 8-8. Распределение токов на полосе с импедансом и достаточно больших значениях амплитуда поверхностного магнитного тока пропорциональна , а амплитуда поверхностного электрического тока от почти не зависит.

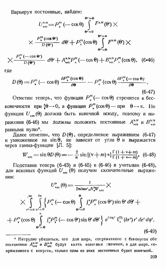
1
Оглавление
email@scask.ru