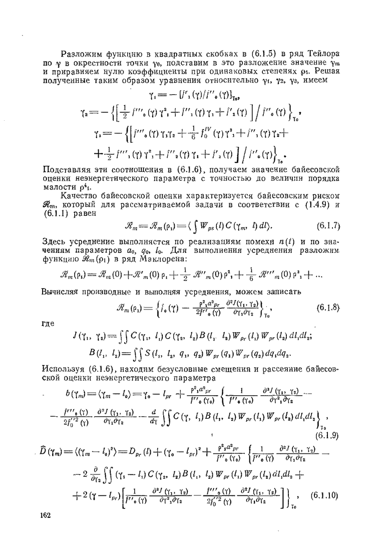
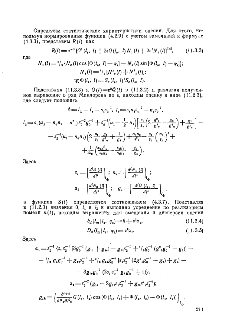
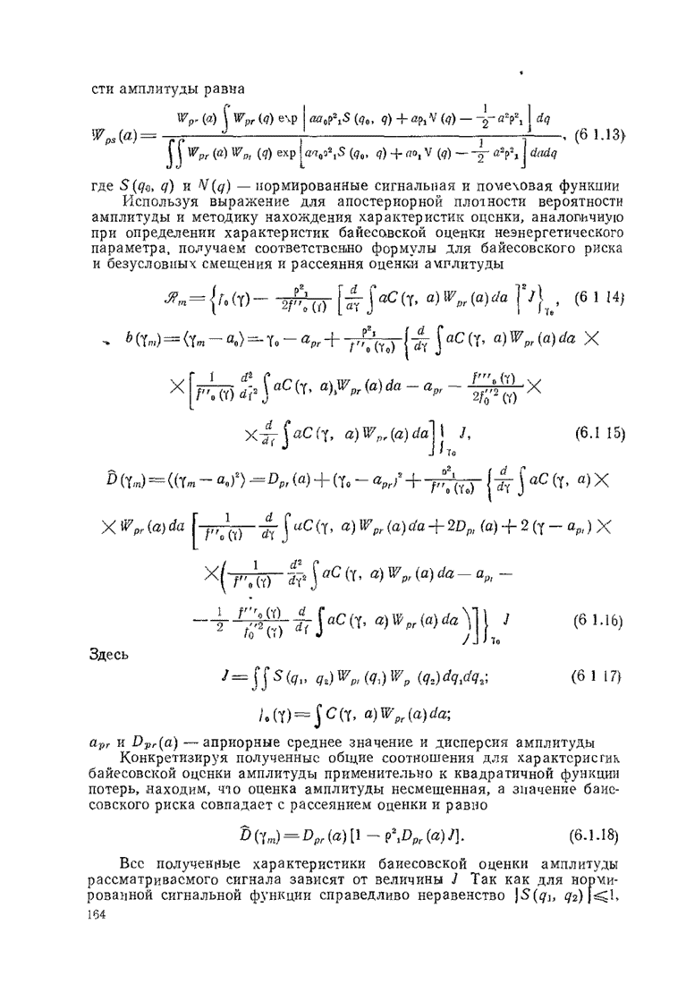
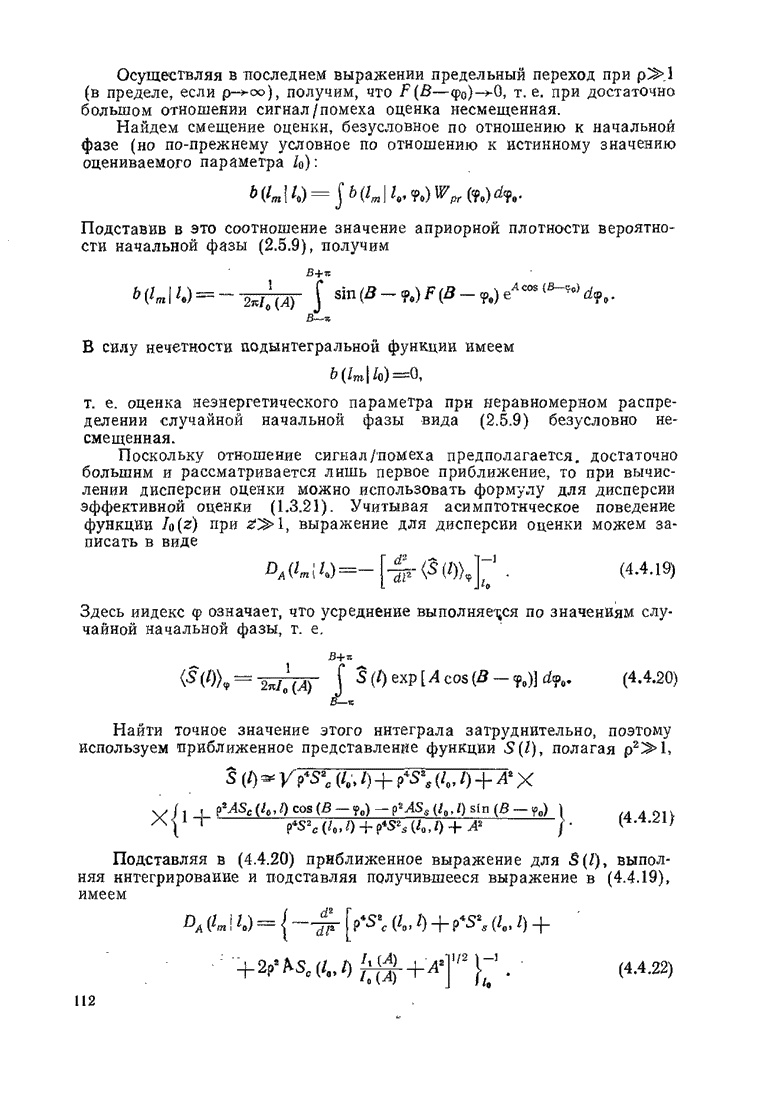
Главная > Оценка параметров сигналов на фоне помех
НАПИШУ ВСЁ ЧТО ЗАДАЛИ
СЕКРЕТНЫЙ БОТ В ТЕЛЕГЕ
<< Предыдущий параграф Следующий параграф >>
Пред.
След.
Макеты страниц

Распознанный текст, спецсимволы и формулы могут содержать ошибки, поэтому с корректным вариантом рекомендуем ознакомиться на отсканированных изображениях учебника выше

Также, советуем воспользоваться поиском по сайту, мы уверены, что вы сможете найти больше информации по нужной Вам тематике

ДЛЯ СТУДЕНТОВ И ШКОЛЬНИКОВ ЕСТЬ
ZADANIA.TO

Глава 11. ОЦЕНКА ПАРАМЕТРА СИГНАЛА С ПОМОЩЬЮ ДИСКРИМИНАТОРОВ

11.1. ИСХОДНЫЕ СООТНОШЕНИЯ

Как уже упоминалось в гл. 7, приемное устройство для получения оценки максимального правдоподобия должно в общем случае иметь очень большое число каналов, в каждом из которых формируется логарифм функционала отношения правдоподобия для значений параметра, сдвинутых относительно друг друга на малую величину. Поскольку техническая реализация подобной системы весьма сложна, а приведенные ранее схемы реализации оптимальных приемников довольно громоздки, рассмотрим в этой главе более простые устройства — дискриминаторы (оптимальные и неоптимальные).

При оценке параметров сигнала с помощью дискриминатора оцениваемый параметр сигнала сравнивается с некоторым фиксированным значением параметра опорного сигнала. В результате такого сравнения вырабатывается сигнал рассогласования, среднее значение которого пропорционально отклонению оцениваемого параметра от фиксированного значения параметра опорного сигнала. Следует отметить, что оценка с помощью дискриминатора возможна лишь тогда, когда область около истинного значения оцениваемого параметра выбрана и следует с высокой точностью указать значение параметра внутри этой области. Иначе можно сказать, что дискриминаторы применимы лишь, в пределах области нормальных ошибок.

Метод сравнения оцениваемого параметра с фиксированным значением параметра опорного сигнала основаи на предположении о том, что выходной сигнал соответствующего приемника в окрестности любой точки в том числе в окрестности оценки максимального правдоподобия, можно аппроксимировать полиномом с конечным числом членов. Это обстоятельство в свою очередь позволяет восстановить выходной сигнал как функцию параметра I на основе измерения значений выходного эффекта приемника и его производных в некоторой фиксированной точке лежащей в окрестности истинного значения параметра .

Обозначив выходной сигнал приемника как для нахождения структуры дискриминатора представим функцию в окрестности некоторого фиксированного значения параметра в виде отрезка ряда Тейлора

При непрерывном воспронзведеннн функции во всем априорном интервале значений оцениваемого параметра оценку находим по положению абсолютного максимума оценка ищется решения уравнения

Подставляя сюда разложение для лолучаем уравнение

Полагая отношение сигнал/помеха достаточно большим для обеспечения надежной оценки и считая, что находится вблизи можем ограничиться в ( линеиным относительно членом отбросив члены, содержащие более высокие степени разности Тогда оценка определяется как

Из этого выражения видно, что оценка, определяемая по положению абсолютного максимума однозначно находится путем измерения первой и второй производных выходного эффекта приемника в точке лежащей в окрестности оценки . В частности, если логарифм функционала отношения правдоподобия, то -оптимальная оценка максимального правдоподобия.

Величина прямо пропорциональна разности между оценкой и фиксированным значением параметра опорного сигнала т. е. величина определяет «сигнал рассогласования» между оценкой и фиксированным значением параметра опорного сигнала.

В некоторых случаях при технической реализации устройства оценки параметра сигнала вместо производных в формуле (11.1.3) используют их допредельные значения — конечные разности, что позволяет в ряде случаев значительно упростить структуру приемника.

1
Оглавление
email@scask.ru