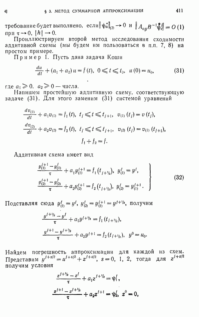
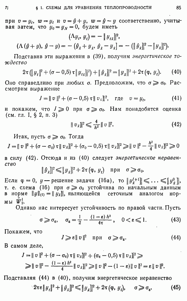
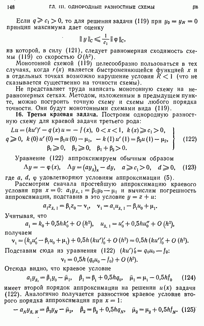
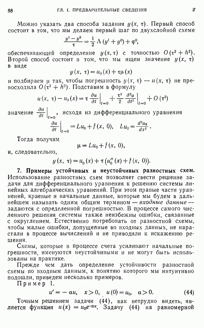
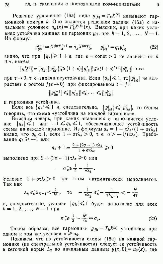
Главная > Введение в теорию разностных схем
НАПИШУ ВСЁ ЧТО ЗАДАЛИ
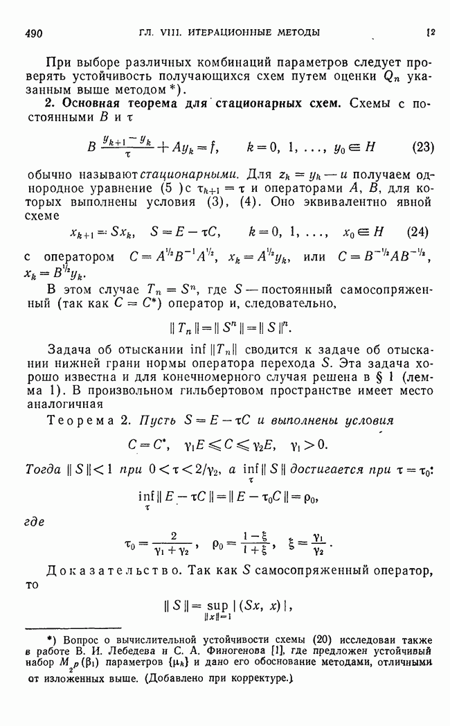
СЕКРЕТНЫЙ БОТ В ТЕЛЕГЕ
<< Предыдущий параграф Следующий параграф >>
Пред.
След.
Макеты страниц

Распознанный текст, спецсимволы и формулы могут содержать ошибки, поэтому с корректным вариантом рекомендуем ознакомиться на отсканированных изображениях учебника выше

Также, советуем воспользоваться поиском по сайту, мы уверены, что вы сможете найти больше информации по нужной Вам тематике

ДЛЯ СТУДЕНТОВ И ШКОЛЬНИКОВ ЕСТЬ
ZADANIA.TO

6. Погрешность аппроксимации локально-одномерной схемы.

Пусть решение задачи (33) с и рещение разностной задачи (37), (38). Характеристикой точности локально-одномерной схемы является разность Промежуточные значения будем сравнивать с где любое значение на отрезке В выборе есть большой произвол. Для определенности будем полагать

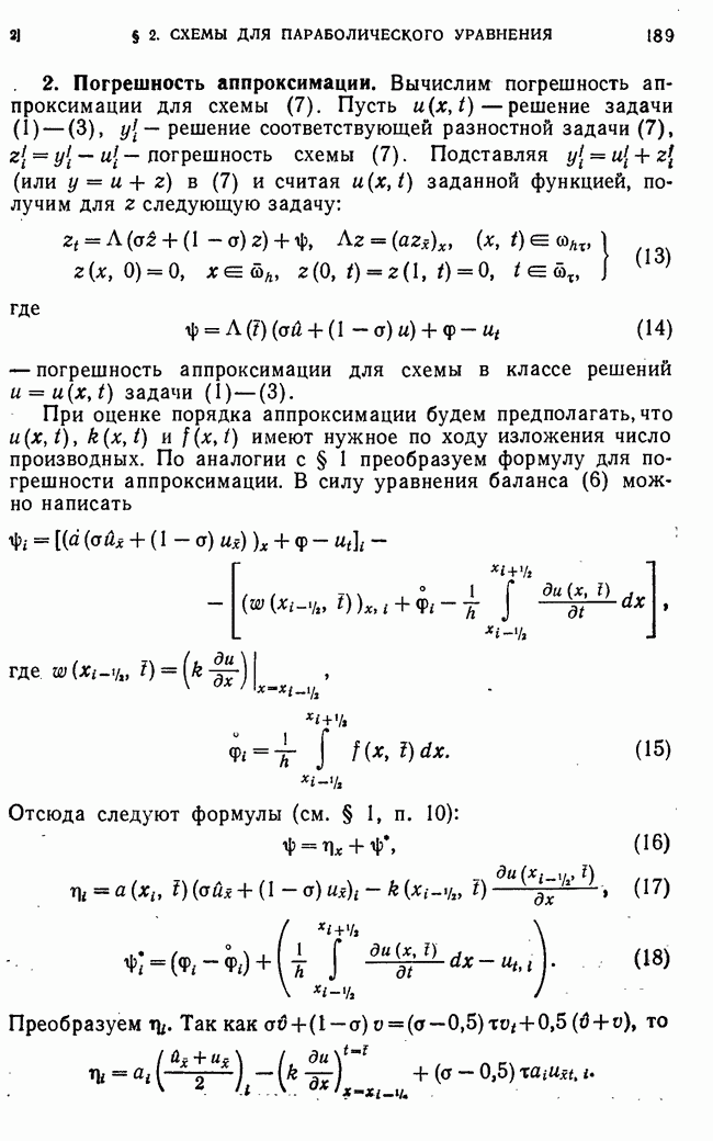
так, что Подставим

Здесь погрешность, с которой аппроксимирует уравнение (37) номера а многомерное уравнение (33) на его решении и:

Вводя обозначения

так что перепишем в виде

Нетрудно заметить, что

если Оценим величину

Из п. 5 следует, что

Так как то каждое из уравнений номера а не аппроксимирует многомерное уравнение (33). Однако, в силу (40) — (42), аддитивная схема (37), (38) аппроксимирует уравнение в суммарном смысле, так как

в регулярных узлах, в нерегулярных узлах.

Таким образом, локально-одномерная схема (37), (38) обладает свойством суммарной аппроксимации уравнения (33).

Наша задача — показать, что из суммарной аппроксимации следует равномерная сходимость локально-одномерной схемы со скоростью

Необходимо сначала доказать принцип максимума для локально-одномерной схемы и получить априорные оценки в равномерной метрике для решения задачи (37), (38), выражающие устойчивость локально-одномерной схемы по начальным данным, по правой части и по граничным данным.

1
Оглавление
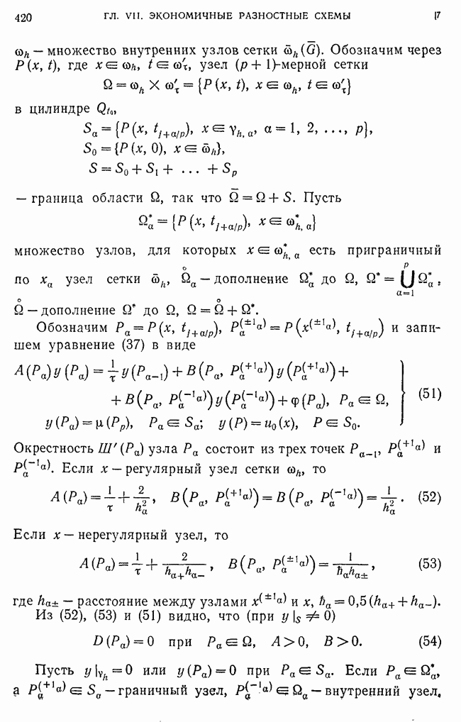
email@scask.ru