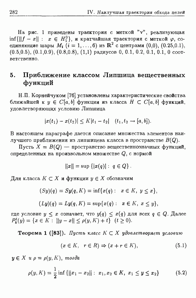
Главная > Аппроксимация функций, сжатие численной информации, приложения
НАПИШУ ВСЁ ЧТО ЗАДАЛИ
СЕКРЕТНЫЙ БОТ В ТЕЛЕГЕ
<< Предыдущий параграф Следующий параграф >>
Пред.
След.
Макеты страниц

Распознанный текст, спецсимволы и формулы могут содержать ошибки, поэтому с корректным вариантом рекомендуем ознакомиться на отсканированных изображениях учебника выше

Также, советуем воспользоваться поиском по сайту, мы уверены, что вы сможете найти больше информации по нужной Вам тематике

ДЛЯ СТУДЕНТОВ И ШКОЛЬНИКОВ ЕСТЬ
ZADANIA.TO

10.7. Метод конечных элементов

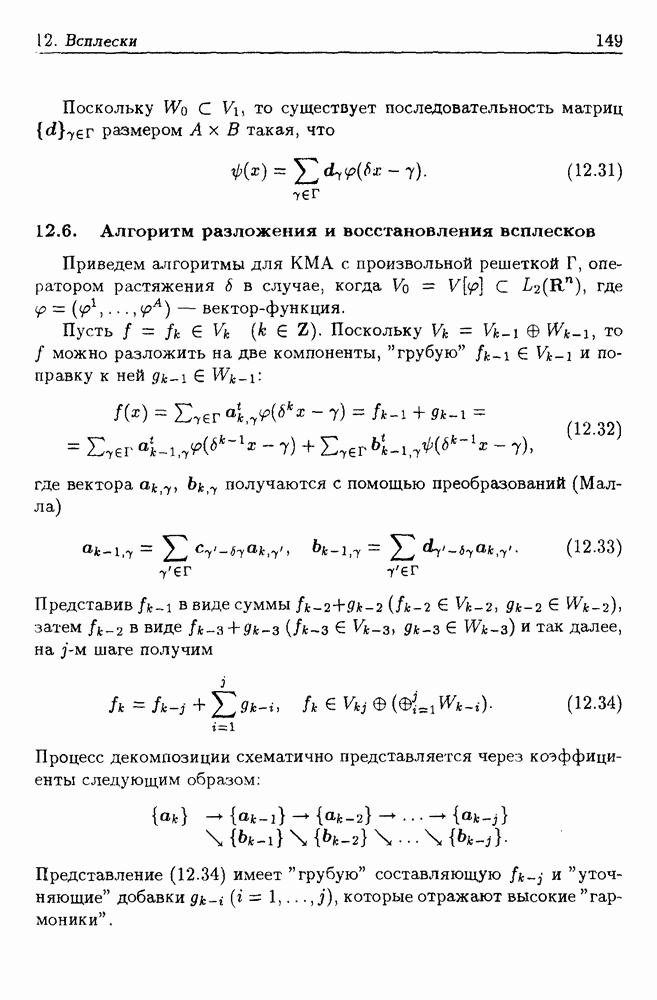
На применении сплайнов основан метод конечных элементов численного решения дифференциальных уравнений. Суть этого метода такова: краевой задаче ставится в соответствие вариационная задача, последняя решается методом Галёркина (Ритца-Галёркина), когда в качестве конечномерных пространств выбираются подпространства сплайнов. Здесь целесообразно использовать сплайны большого дефекта: решение задачи сводится к поиску составляющих его полиномов, причем каждый полином определяется либо независимо от

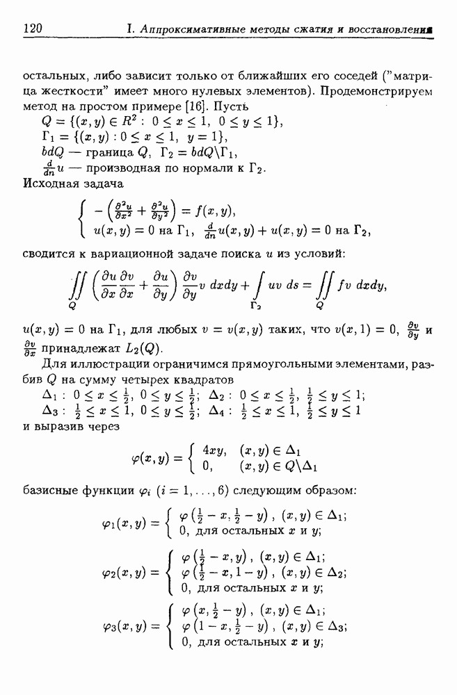
остальных, либо зависит только от ближайших его соседей ("матрица жесткости" имеет много нулевых элементов). Продемонстрируем метод на простом примере [16]. Пусть

граница — производная по нормали к Исходная задача

сводится к вариационной задаче поиска и из условий:

на для любых таких, что и принадлежат

Для иллюстрации ограничимся прямоугольными элементами, разбив на сумму четырех квадратов

и выразив через

базисные функции следующим образом:

Очевидно, что Приближенное решение будем искать в виде исходя из условий

или

Подобным образом строятся базисные функции и при разбиении основного прямоугольника на большее число частичных прямоугольников. При этом в силу того, что отличны от нуля лишь не более чем на четырех смежных частичных прямоугольниках, в соответствующем аналоге системы (10.16) многие коэффициенты будут равны нулю.

1
Оглавление
email@scask.ru