Главная > Последовательный анализ
НАПИШУ ВСЁ ЧТО ЗАДАЛИ
СЕКРЕТНЫЙ БОТ В ТЕЛЕГЕ
<< Предыдущий параграф Следующий параграф >>
Пред.
След.
Макеты страниц

Распознанный текст, спецсимволы и формулы могут содержать ошибки, поэтому с корректным вариантом рекомендуем ознакомиться на отсканированных изображениях учебника выше

Также, советуем воспользоваться поиском по сайту, мы уверены, что вы сможете найти больше информации по нужной Вам тематике

ДЛЯ СТУДЕНТОВ И ШКОЛЬНИКОВ ЕСТЬ
ZADANIA.TO

§ 9.2. План последовательной проверки, удовлетворяющий заданным требованиям

В п. 4.1.4 было показано, что адекватным планом выборочной проверки для задачи, описанной в § 9.1, является следующий. Нужно вычислять на каждом этапе эксперимента отношение

Продолжаем проверку до тех пор, пока

Принимаем гипотезу о том, что продукт является удовлетворительным, если

Отвергаем гипотезу о том, что продукт является удовлетворительным, если

Чтобы обеспечить заданные значения вероятностей принятия неправильных решений, для всех практических целей можем положить и

Выражение (9.1) для может быть приведено к виду:

Подставляя это выражение для в (9.2), (9.3) и (9.4) и логарифмируя, превращаем эти неравенства в

и

При помощи неравенств (9.6), (9.7) и (9.8) проверка осуществляется следующим образом. На каждом этапе эксперимента вычисляем

Как только в первый раз окажется вне интервала между прекращаем испытание.

Гипотеза о том, что принимается, если и отвергается, если

Расчет на каждом этапе эксперимента представляется затруднительным. Однако, если — больше трех, то

очень близко к Когда используется это приближение для неравенства (9.6), (9.7) и (9.8) приводятся к виду

и

Для всех практических целей неравенства (9.9), (9.10) и (9.11) можно использовать вместо (9.6), (9.7) и (9.8), когда

Ниже приводится другой метод расчета, который может оказаться полезным. Рассмотрим уравнение для и

Оно имеет только один положительный корень, если Этот корень определяется формулой

Функцию легко табулировать. Используя функцию неравенства (9.6), (9.7) и (9.8) можно записать в виде

и

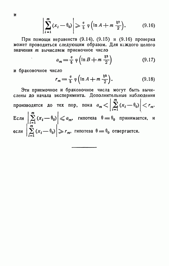
При помощи неравенств (9.14), (9.15) и (9.16) проверка может проводиться следующим образом. Для каждого целого значения вычисляем приемочное число

и браковочное число

Эти приемочное и браковочное числа могут быть вычислены до начала эксперимента. Дополнительные наблюдения производятся до тех пор, пока Если гипотеза принимается, и если гипотеза отвергается.

1
Оглавление
email@scask.ru