Главная > Аналоговые и цифровые фильтры
НАПИШУ ВСЁ ЧТО ЗАДАЛИ
СЕКРЕТНЫЙ БОТ В ТЕЛЕГЕ
<< Предыдущий параграф Следующий параграф >>
Пред.
След.
Макеты страниц

Распознанный текст, спецсимволы и формулы могут содержать ошибки, поэтому с корректным вариантом рекомендуем ознакомиться на отсканированных изображениях учебника выше

Также, советуем воспользоваться поиском по сайту, мы уверены, что вы сможете найти больше информации по нужной Вам тематике

ДЛЯ СТУДЕНТОВ И ШКОЛЬНИКОВ ЕСТЬ
ZADANIA.TO

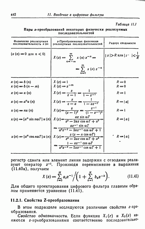
11.2.1. Свойства Z-преобразования

В этом подразделе исследуются различные свойства -преобразования.

Свойство однозначности. Если функции являются -преобразованиями соответственно последовательностей

то если и только если для Это означает, что каждой последовательности соответствует одно и только одно z-преобразование .

Свойство линейности. z-Преобразование — линейная операция. Если функции являются соответственно -преобразованиями последовательностей то для

где — произвольные постоянные, z-преобразование определяется следующим образом:

Пример 11.5. Определить -преобразование последовательности

где а — произвольная постоянная, с помощью табл 11.1.

Решение Из табл 111 -преобразования последовательностей определяются следующими выражениями:

Из свойства линейности получаем

Заметим, что выражения (11.45) и (И 29) идентичны при

Свойство задержки (сдвига). Если последовательность имеет -преобразование то для последовательности

-преобразование представляется в виде

Для физически реализуемой последовательности выражение (11.466) записывается следующим образом:

Пример 11.6. Пусть цифровая система задается соотношением

Полагая последовательности физически реализуемыми, найти соответствие между их -преобразованиями

Решение. Из свойства задержки получаем -преобразование выражения (11.47) или Следовательно,

Свойство свертки. Если являются соответственно z-преобразованиями последовательностей то для последовательности

z-преобразование определяется как

Пример 11.7. На вход линейной цифровой системы с постоянными параметрами и импульсной характеристикой поступает последовательность — соответственно z-преобразования Определить -преобразование выходной последовательности при нулевых начальных условиях.

Решение. Из выражения (11 171 выходная последовательность представляется в виде

Следовательно, из свойства свертки получаем

z-Преобразование импульсной характеристики линейной системы с постоянными параметрами называется передаточной функцией этой системы. Из выражения (11.50) передаточная функция системы представляет собой отношение z-преобразований выходного отклика и соответствующего входного сигнала при нулевых начальных условиях. Например, передаточная функция системы в примере 11.6 определяется из соотношения (11.48) выражением

Это означает, что по заданному набору разностных уравнений, описывающих систему можно определить ее передаточную функцию. Соответственно по известной передаточной функции системы

можно найти разностное уравнение, характеризующее систему 5 следующим образом:

Таким образом, система описывается либо разностным уравнением, либо передаточной функцией. Заметим, что передаточная функция единственным образом определяет импульсную характеристику системы. Для нахождения однозначной выходной последовательности системы необходимо знать входную последовательность и внутренние начальные условия.

1
Оглавление
email@scask.ru