Главная > Экстремумы случайных последовательностей и процессов
НАПИШУ ВСЁ ЧТО ЗАДАЛИ
СЕКРЕТНЫЙ БОТ В ТЕЛЕГЕ
<< Предыдущий параграф Следующий параграф >>
Пред.
1
2
3
4
5
6
7
8
9
10
11
12
13
14
15
16
17
18
19
20
21
22
23
24
25
26
27
28
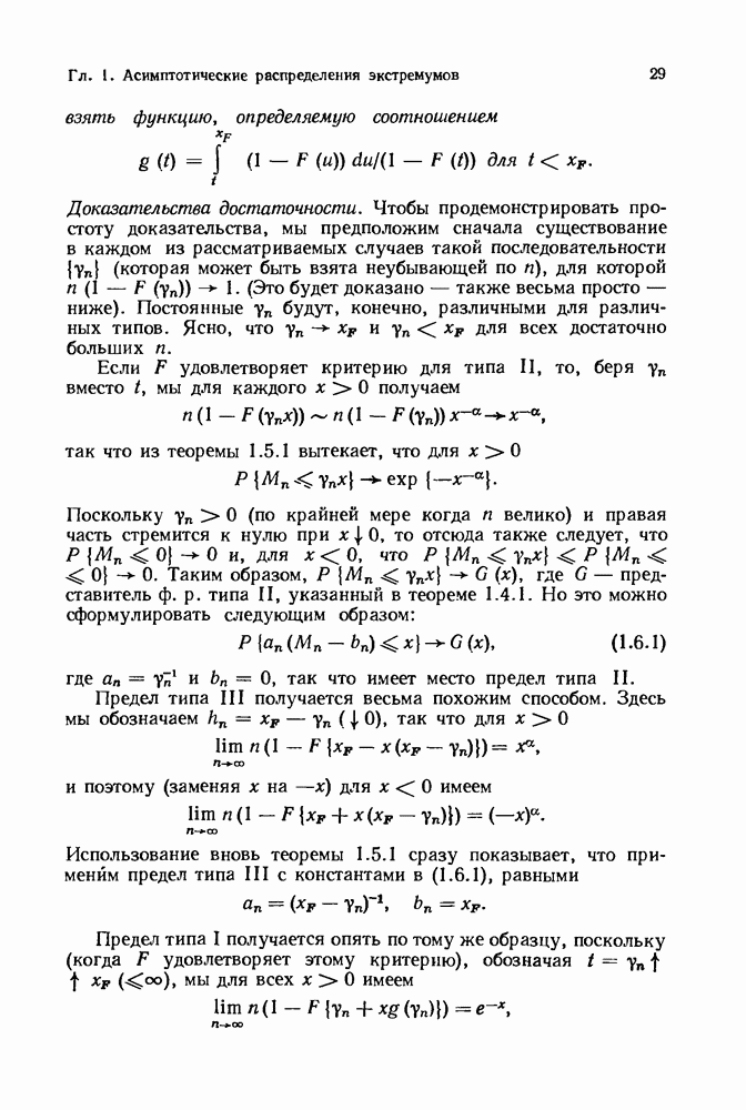
29
30
31
32
33
34
35
36
37
38
39
40
41
42
43
44
45
46
47
48
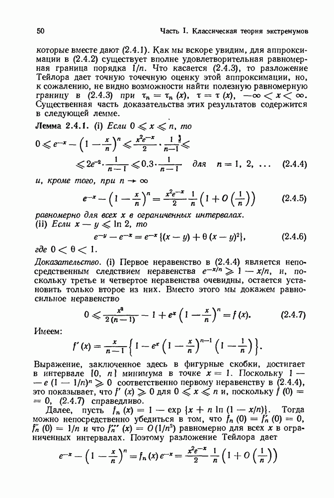
49
50
51
52
53
54
55
56
57
58
59
60
61
62
63
64
65
66
67
68
69
70
71
72
73
74
75
76
77
78
79
80
81
82
83
84
85
86
87
88
89
90
91
92
93
94
95
96
97
98
99
100
101
102
103
104
105
106
107
108
109
110
111
112
113
114
115
116
117
118
119
120
121
122
123
124
125
126
127
128
129
130
131
132
133
134
135
136
137
138
139
140
141
142
143
144
145
146
147
148
149
150
151
152
153
154
155
156
157
158
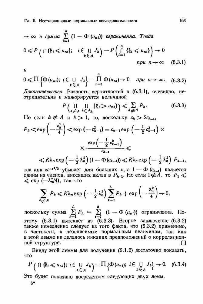
159
160
161
162
163
164
165
166
167
168
169
170
171
172
173
174
175
176
177
178
179
180
181
182
183
184
185
186
187
188
189
190
191
192
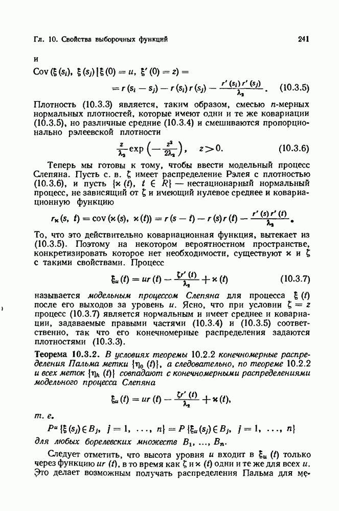
193
194
195
196
197
198
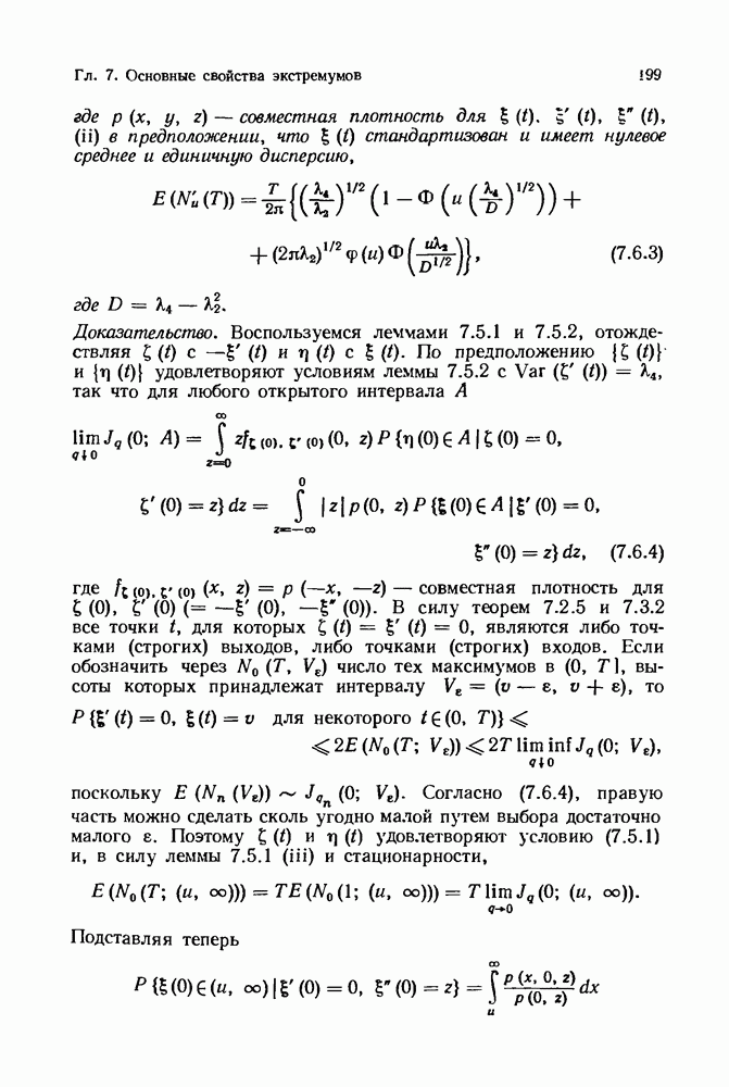
199
200
201
202
203
204
205
206
207
208
209
210
211
212
213
214
215
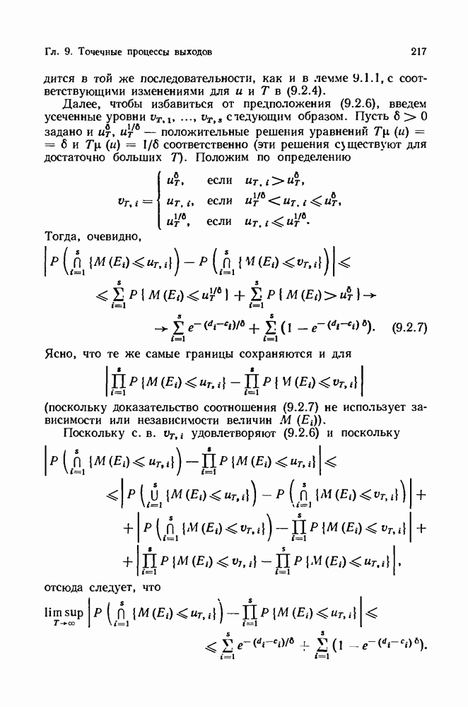
216
217
218
219
220
221
222
223
224
225
226
227
228
229
230
231
232
233
234
235
236
237
238
239
240
241
242
243
244
245
246
247
248
249
250
251
252
253
254
255
256
257
258
259
260
261
262
263
264
265
266
267
268
269
270
271
272
273
274
275
276
277
278
279
280
281
282
283
284
285
286
287
288
289
290
291
292
293
294
295
296
297
298
299
300
301
302
303
304
305
306
307
308
309
310
311
312
313
314
315
316
317
318
319
320
321
322
323
324
325
326
327
328
329
330
331
332
333
334
335
336
337
338
339
340
341
342
343
344
345
346
347
348
349
350
351
352
353
354
355
356
357
358
359
360
361
362
363
364
365
366
367
368
369
370
371
372
373
374
375
376
377
378
379
380
След.
Макеты страниц

Распознанный текст, спецсимволы и формулы могут содержать ошибки, поэтому с корректным вариантом рекомендуем ознакомиться на отсканированных изображениях учебника выше

Также, советуем воспользоваться поиском по сайту, мы уверены, что вы сможете найти больше информации по нужной Вам тематике

ДЛЯ СТУДЕНТОВ И ШКОЛЬНИКОВ ЕСТЬ
ZADANIA.TO

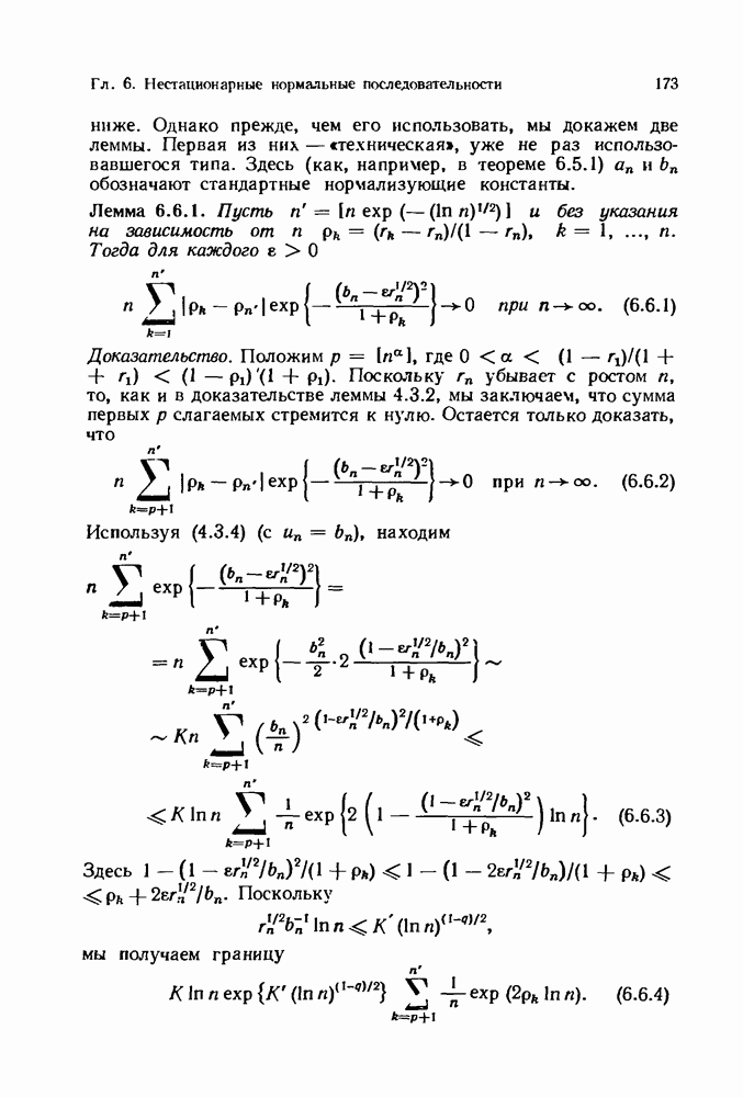
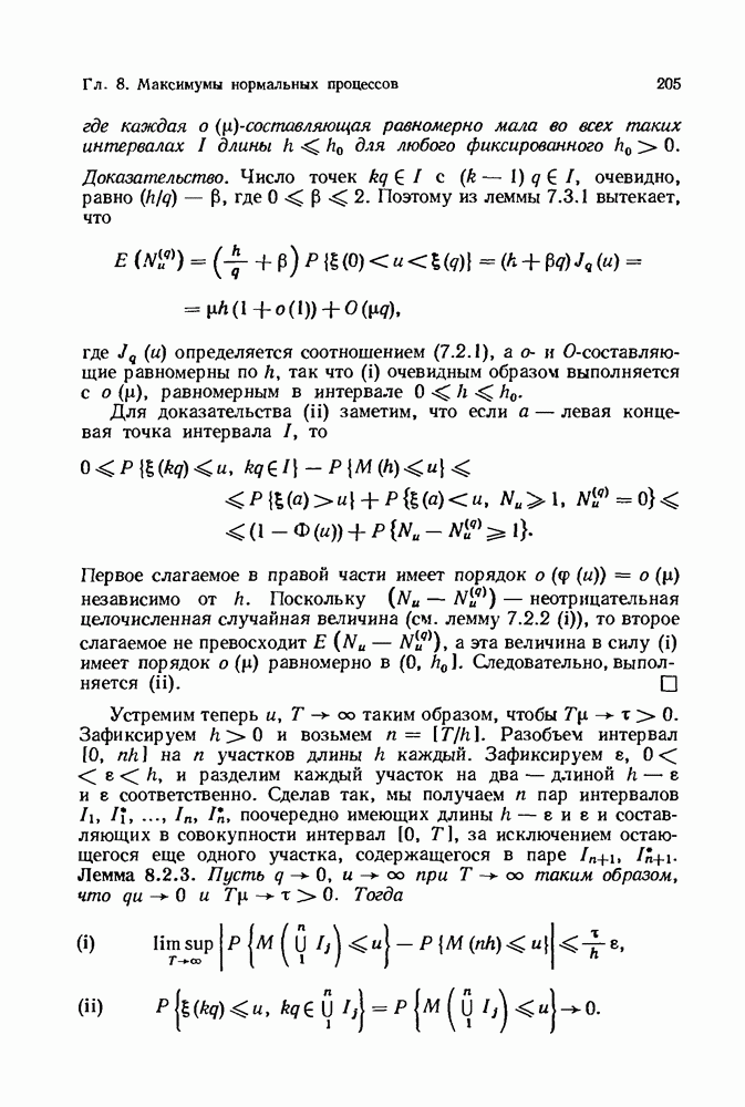
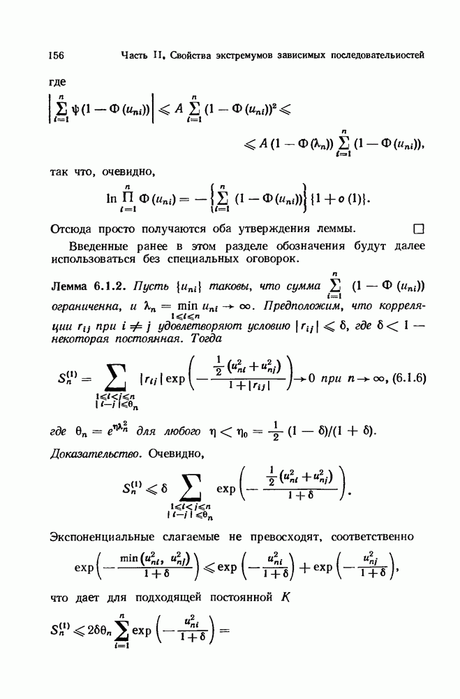
6.4. Стационарные нормальные последовательности с сильной зависимостью

В этом и остальных разделах мы обращаемся ко второй теме настоящей главы, а именно хотим посмотреть, как влияет на экстремумы более жесткая структура зависимости стационарной нормальной последовательности В гл. 4 и 5 было показано, что если ковариации убывают к нулю не слишком медленно, то имеет предельное распределение типа I и числа превышений в непересекающихся интервалах асимптотически независимы. В частности, решающие условия, необходимые для выполнения этих результатов, связаны с поведением они выполняются, если или в несколько более общей ситуации если чаще всего не слишком велико. Результаты Миттала и Илвисакера (1975), которые будут приведены ниже, показывают, что эти условия являются почти наилучшими возможными. Например, если то сходится по распределению не к а к свертке с нормальной функцией распределения. Далее, если достаточно гладким образом (но все еще то необходима другая нормализация и предельное распределение является нормальным.

В этом и следующих разделах мы рассмотрим сличай используя идеи из работы Миттала и Илвисакера (1975), покажем, что тогда точечный процесс превышений (обычно используемого) уровня слабо сходится к процессу Кокса (т. е. к смеси пуассоновских процессов, имеющих различные интенсивности). Медленное убывание корреляции не только изменяет предельное распределение экстремумов, но также и нарушает асимптотическую независимость экстремальных значений на различных интервалах. Причина этого объясняется поучительным образом ниже в ходе доказательства теоремы 6.5.1, где предельное распределение превышений уровня получается как предельное распределение превышений независимой нормальной последовательностью случайного уровня где С — стандартная нормальная величина, представляющая «общую часть» первых зависимых переменных.

Основным инструментом, как и в гл. 4, будет нормальная лемма сравнения (теорема 4.2.1), связывающая распределения максимумов двух нормальных последовательностей с различными корреляциями. Теперь уже, разумеется, не достаточно сравнения с независимой последовательностью. Вместо этого удобно проводить сравнение распределения с. в. с распределением максимума из стандартных нормальных величин, любые две из которых имеют постоянную ковариацию Польза такого сравнения вытекает из того факта, что если независимые стандартные нормальные случайные величины, то с. в. имеют попарно одну и ту же ковариацию и поэтому имеет то же распределение, что и Следующая лемма, родственная лемме 4.3.2, даст возможность использовать то желательное сравнение, которое будет приведено в следующем разделе.

Лемма 6.4.1. Пусть постоянные величины. Положим и предположим, что

Тогда для любой последовательности такой, что величина ограниченна,

где

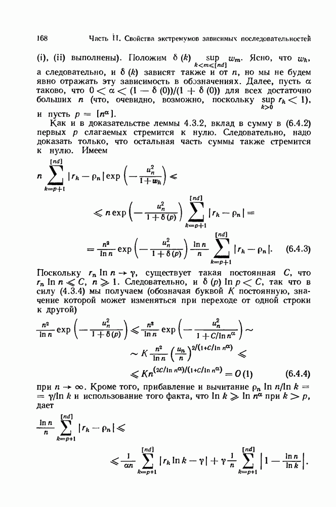
Доказательство. Как и при доказательстве леммы 4.3.2, Мы можем предположить, что сходится (так что (4.3.4)

(i), (ii) выполнены). Положим Ясно, что а следовательно, и зависят также и от но мы не будем явно отражать эту зависимость в обозначениях. Далее, пусть а таково, что для всех достаточно больших (что, очевидно, возможно, поскольку и пусть

Как и в доказательстве леммы 4.3.2, вклад в сумму в (6.4.2) первых слагаемых стремится к нулю. Следовательно, надо доказать только, что остальная часть суммы также стремится к нулю. Имеем

Поскольку существует такая постоянная С, что Следовательно, и так что в силу (4.3.4) мы получаем (обозначая буквой К постоянную, значение которой может изменяться при переходе от одной строки к другой)

при Кроме того, прибавление и вычитание и использование того факта, что при дает

Здесь первая составляющая в правой части стремится к нулю в силу (6.4.1). Далее, оценивая вторую сумму интегралом, мы получаем

следовательно, левая часть (6.4.5) стремится к нулю. В силу (6.4.4) первый сомножитель в правой части (6.4.3) ограничен. Это завершает доказательство соотношения (6.4.2).

Предположения леммы 6.4.1, а следовательно, и теоремы 6.5.1, приводимой ниже, можно ослабить тем же самым каким условие (4.1.1) ослабляется до условия (4.5.3). Поскольку это ослабление осуществляется довольно просто, вывод его мы оставляем читателю.

1
Оглавление
email@scask.ru