Главная > Методы погружения в прикладной математике
НАПИШУ ВСЁ ЧТО ЗАДАЛИ
СЕКРЕТНЫЙ БОТ В ТЕЛЕГЕ
<< Предыдущий параграф Следующий параграф >>
Пред.
След.
Макеты страниц

Распознанный текст, спецсимволы и формулы могут содержать ошибки, поэтому с корректным вариантом рекомендуем ознакомиться на отсканированных изображениях учебника выше

Также, советуем воспользоваться поиском по сайту, мы уверены, что вы сможете найти больше информации по нужной Вам тематике

ДЛЯ СТУДЕНТОВ И ШКОЛЬНИКОВ ЕСТЬ
ZADANIA.TO

6. Сравнение задачи Коши с двухточечной граничной задачей

До сих пор мы рассматривали лишь задачи Коши, в которых все условия, необходимые для определения решения, заданы в единственной точке. Однако во многих задачах математической физики, техники, экономики и биологии условия заданы в двух или более точках и потому эти задачи не укладываются в класс задач, рассмотренных ранее.

Рассмотрим, например, одномерную двухточечную граничную задачу

где постоянные. Общее решение уравнения (1) имеет вид

Используя граничные условия (2), получим систему линейных алгебраических уравнений относительно и

Известно, что система (4) обладает единственным решением, если

Условие (5) имеет место для всех если и действительны и Если, однако, составляют комплексно сопряженную пару

то легко видеть, что

и поэтому определитель обращается в нуль при

Следует отметить одно важное обстоятельство, а именно, что двухточечные граничные условия принципиально отличаются от условий, заданных в одной точке, в отношении существования и единственности решения. Легко построить двухточечную граничную задачу, которая в зависимости от длины интервала имеет одно решение, бесконечно много решений или не имеет решений вообще. Это резко отличается от ситуации, устанавливаемой теоремой существования и единственности для задачи Коши.

Помимо серьезных математических трудностей, возникающих при аналитическом решении двухточечных граничных задач, численные аспекты также служат дополнительным мотивом развития методов, излагаемых; в последующих главах.

Как было показано выше, цифровые вычислительные машины идеально приспособлены для итеративных методов решения задачи Коши с заданным набором начальных условий. В случае двухточечных граничных условий у нас нет достаточного количества условий ни в одной из двух точек в отдельности для применения описанных выше стандартных процедур численного интегрирования. В результате мы вынуждены прибегать к различным хитростям, уловкам и «высосанным из пальца» догадкам для успешного построения численного решения. В эру полностью автоматизированных процедур такое положение дел является признаком слабости и незнания внутренней структуры решаемой задачи. В остальных главах мы будем рассматривать различные типы функциональных уравнений, возникающих в физических и технических приложениях, постоянно стремясь переформулировать эти задачи в терминах задачи Коши.

Замечания и литература

(см. скан)

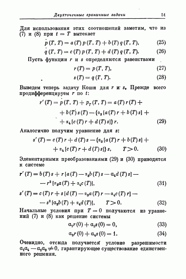
(см. скан)

(см. скан)

1
Оглавление
email@scask.ru