Главная > Основы аналитической механики
НАПИШУ ВСЁ ЧТО ЗАДАЛИ
СЕКРЕТНЫЙ БОТ В ТЕЛЕГЕ
<< Предыдущий параграф Следующий параграф >>
Пред.
След.
Макеты страниц

Распознанный текст, спецсимволы и формулы могут содержать ошибки, поэтому с корректным вариантом рекомендуем ознакомиться на отсканированных изображениях учебника выше

Также, советуем воспользоваться поиском по сайту, мы уверены, что вы сможете найти больше информации по нужной Вам тематике

ДЛЯ СТУДЕНТОВ И ШКОЛЬНИКОВ ЕСТЬ
ZADANIA.TO

§ 9. Циклические координаты и соответствующие интегралы

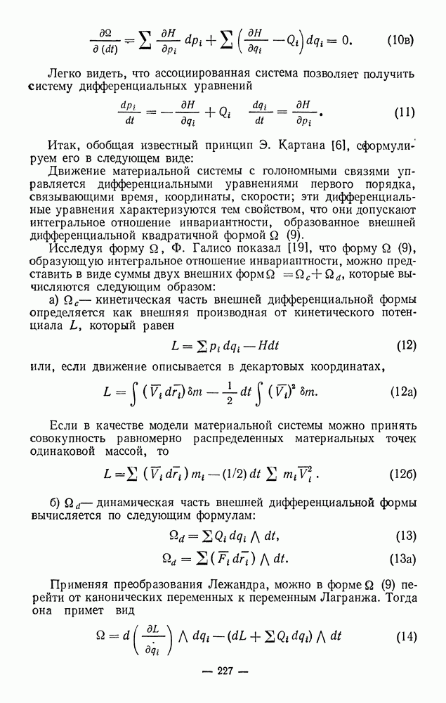
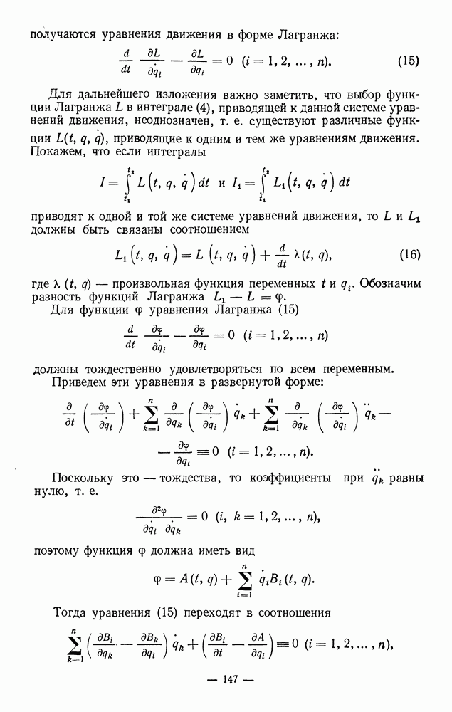
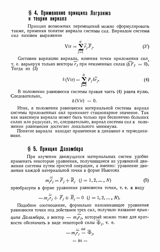
Первый, при этом почти очевидный, факт в области интегрирования уравнений (71) состоит в том, что если некоторая координата не входит в состав аргументов функции т.е. если не зависит явно от то тогда и уравнение Лагранжа с индексом принимает вид

Отсюда вытекает первый интеграл в таком виде:

Обращаясь к структуре функций циклический интеграл можно представить в раскрытой форме:

Циклический интеграл оказывается весьма простым — линейным относительно обобщенных скоростей.

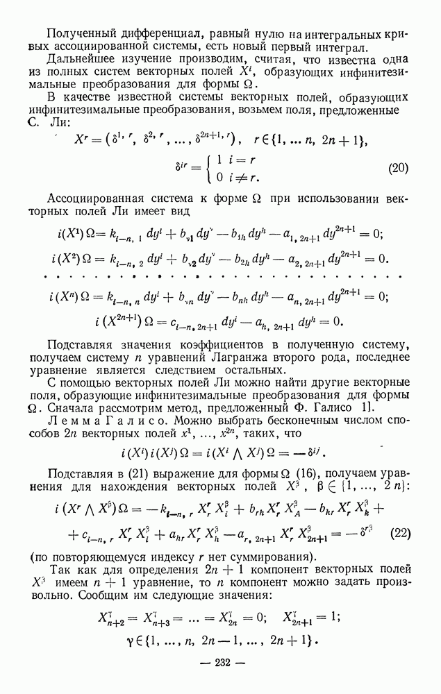
1
Оглавление
email@scask.ru