Главная > Временные ряды. Обработка данных и теория
НАПИШУ ВСЁ ЧТО ЗАДАЛИ
СЕКРЕТНЫЙ БОТ В ТЕЛЕГЕ
<< Предыдущий параграф Следующий параграф >>
Пред.
След.
Макеты страниц

Распознанный текст, спецсимволы и формулы могут содержать ошибки, поэтому с корректным вариантом рекомендуем ознакомиться на отсканированных изображениях учебника выше

Также, советуем воспользоваться поиском по сайту, мы уверены, что вы сможете найти больше информации по нужной Вам тематике

ДЛЯ СТУДЕНТОВ И ШКОЛЬНИКОВ ЕСТЬ
ZADANIA.TO

3. АНАЛИТИЧЕСКИЕ СВОЙСТВА ПРЕОБРАЗОВАНИЯ ФУРЬЕ И КОМПЛЕКСНЫЕ МАТРИЦЫ

3.1. Введение

Преобразование Фурье будет нашим основным аналитическим средством при изучении временных рядов. В этой главе излагаются те разделы фурье-анализа, которые понадобятся в дальнейшем; рассматриваемые здесь функции чаще всего предполагаются детерминированными. Изучение стохастических свойств преобразований Фурье временных рядов мы отложим до следующей главы.

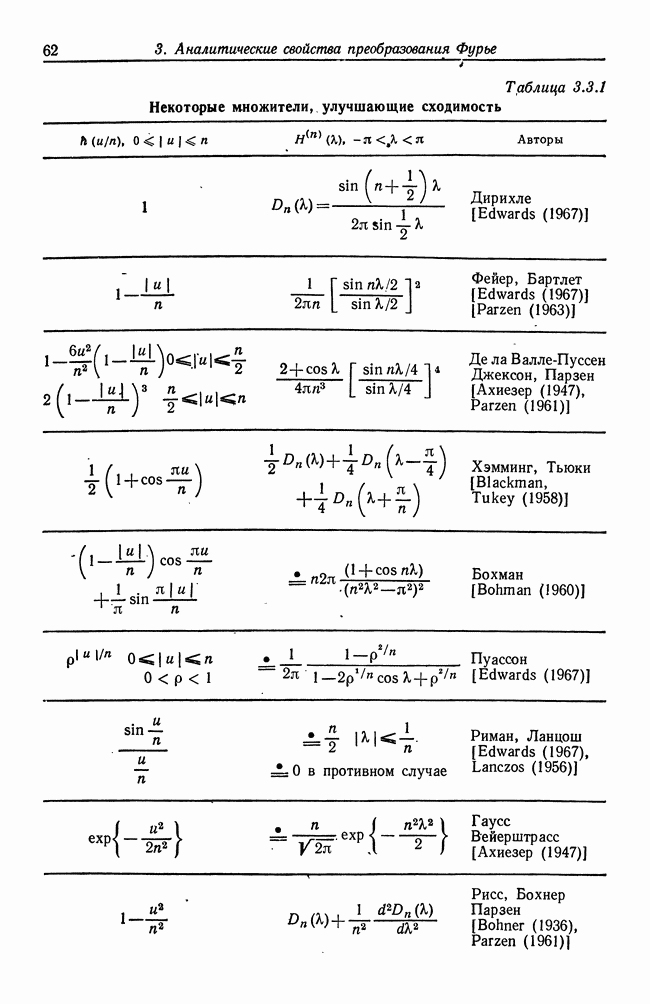
Ниже обсуждаются такие вопросы, как степень аппроксимации функции частными суммами ее ряда Фурье, увеличение точности этой аппроксимации с помощью улучшающих сходимость множителей, преобразование Фурье конечных последовательностей и способы быстрого вычисления таких преобразований Фурье, спектр матрицы и его связь с аппроксимацией одной матрицы другой матрицей меньшего ранга, свойства функций от преобразований Фурье и, наконец, спектральное или гармоническое представление некоторых функций.

Начнем с рассмотрения ряда Фурье функции .

1
Оглавление
email@scask.ru