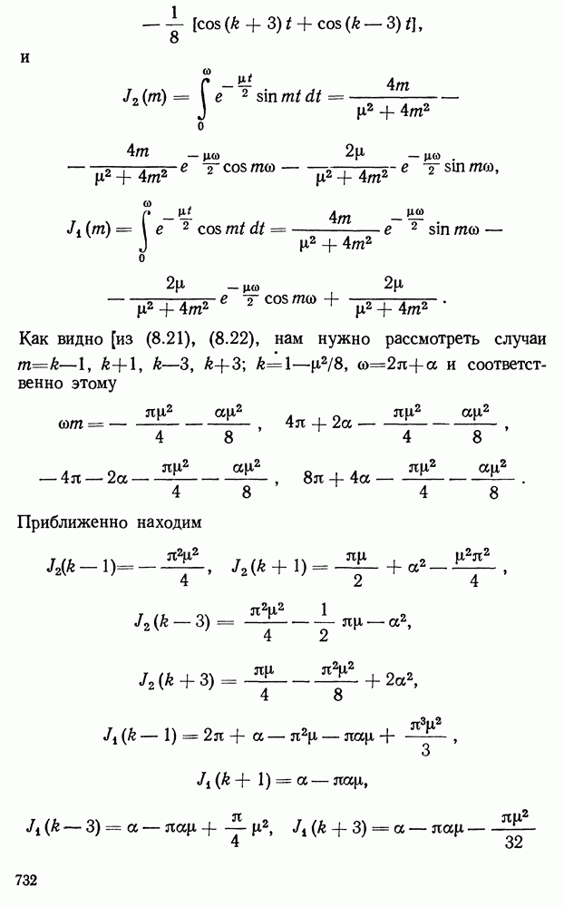
Главная > Книга для чтения по общему курсу дифференциальных уравнений
НАПИШУ ВСЁ ЧТО ЗАДАЛИ
СЕКРЕТНЫЙ БОТ В ТЕЛЕГЕ
<< Предыдущий параграф Следующий параграф >>
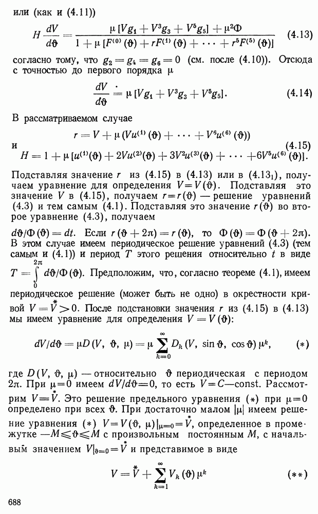
Пред.
След.
Макеты страниц

Распознанный текст, спецсимволы и формулы могут содержать ошибки, поэтому с корректным вариантом рекомендуем ознакомиться на отсканированных изображениях учебника выше

Также, советуем воспользоваться поиском по сайту, мы уверены, что вы сможете найти больше информации по нужной Вам тематике

ДЛЯ СТУДЕНТОВ И ШКОЛЬНИКОВ ЕСТЬ
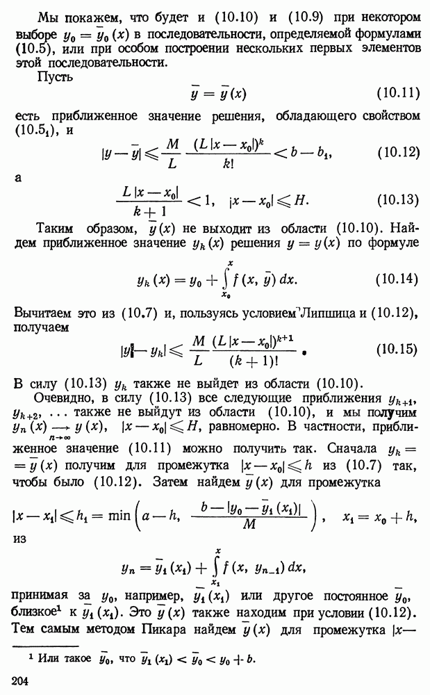
ZADANIA.TO

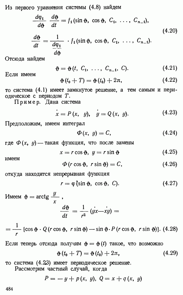
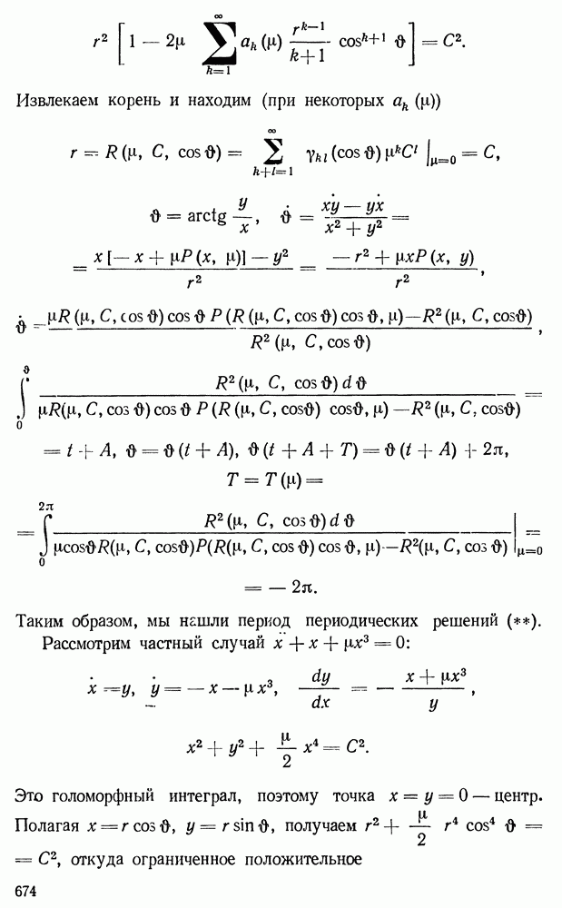
§ 6. Линейное уравнение

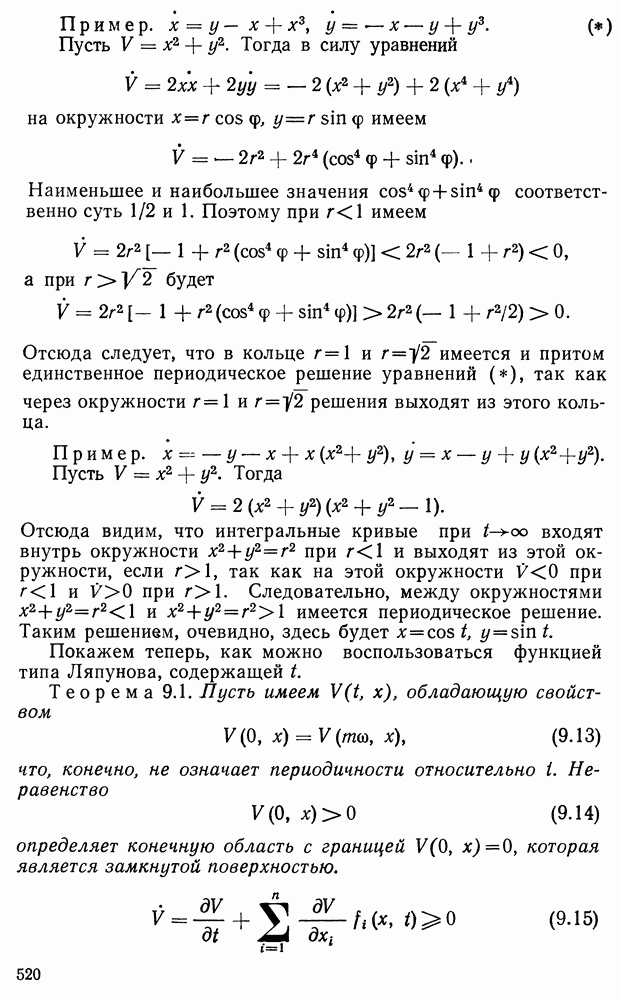
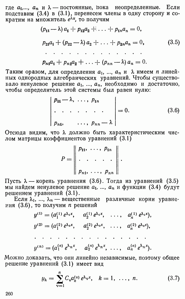
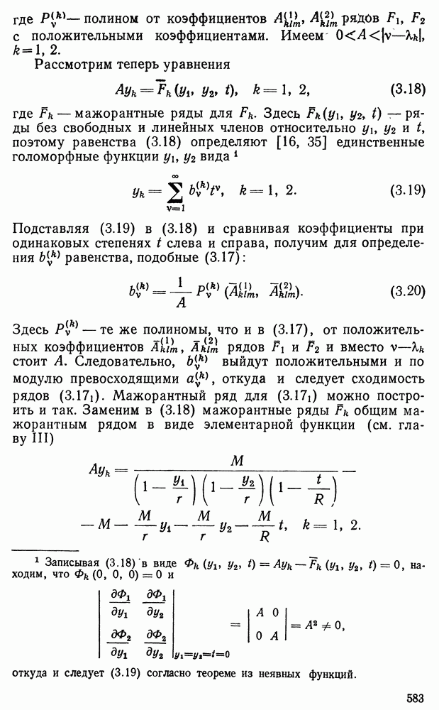
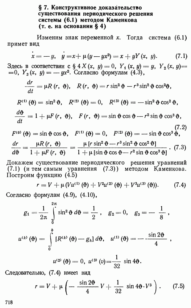
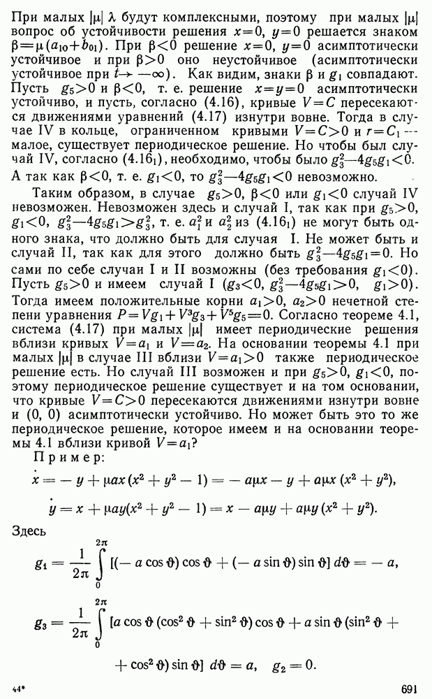
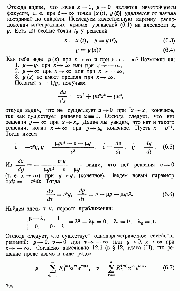
Линейным это уравнение называется потому, что у и у входят линейно. К такому уравнению, очевидно, приводится и уравнение

Умножая правую и левую части уравнения (6.1) на получаем

Интегрируя это равенство, получаем

где С — произвольная постоянная.

Эта формула доставляет общее решение уравнения (6.1). Равенство (6.2) можно переписать и так:

Здесь произвольные, но такие, что интегралы существуют. Постоянная же произвольная. Решение в форме (6.3) сразу дает решение задачи Коши если

Заметим, что решение (6.2) имеет вид

где С — произвольная постоянная.

При изучении поведения решений (6.3), когда интегралы Г несобственные, надо различать следующие случаи:

Комбинируя первые четыре предположения с последними четырьмя, получаем разные свойства интегральных кривых уравнения (6.1). Пусть, например, имеем случаи 2 и 5. Тогда, как видно из (6.3), все решения обладают свойством при Пусть выполнено условие 2. Рассмотрим два любых решения которые определяются двумя различными значениями Тогда имеем

при Другими словами, при условии 2 любые два решения уравнения (6.1) сближаются при Отсюда же следует, что независимо от поведения функции

имеем

Рассмотрим теперь тот случай, когда . Тогда (6.3) принимает вид

Мы предполагаем здесь определенной в промежутке и такой, что интеграл в (6.5) существует. Пусть

Предположим, что

Тогда, как видно из (6.5), все решения ограничены. Действительно, имеем

поэтому

Предположим теперь

В этом случае решение (6.5) возьмем в виде

Мы изменили лишь значение прежней произвольной постоянной

Здесь, очевидно, интеграл существует, так как ограничен.

Так как

то вместо (6.8) можно написать и так:

Здесь первое слагаемое является неограниченной функцией. Покажем, что второе слагаемое есть ограниченная функция:

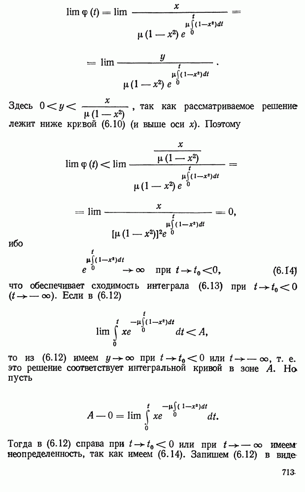
Отсюда следует, что при уравнение (6.3) имеет одно ограниченное решение, которое получим из (6.9) при Рассмотрим теперь тот случай, когда

Если теперь - ограниченная функция при , то

Если же при то, раскрывая неопределенность типа — при по правилу Лопиталя, получаем

при т. е. опять имеем (6.11). Отсюда следует, что при все решения (6.5) обладают свойством

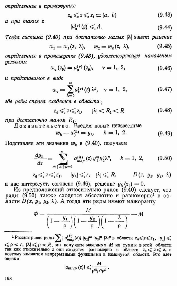
Если при то, раскрывая неопределенность типа мы также покажем, что

откуда получим, что одно решение уравнения (6.1), именно решение (6.9) при обладает свойством (6.12).

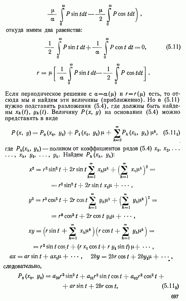
Пусть теперь в решении (6.5) или — периодическая с периодом Покажем, что в этом случае уравнение (6.1) имеет периодическое решение с периодом Предположим сначала Полагая в получаем решение

Покажем, что

Действительно, в равенстве

полагаем и пользуемся свойством тогда получим

что и надо было доказать.

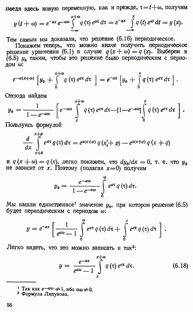
Пусть теперь Функция задана при как периодическая с периодом Решение (6.5) мы также имеем при Но продолжим задание функции при периодически с периодом со, т. е. определим функцию равенством другими словами, определена в промежутке как четная функция. Теперь возьмем решение (6.9) в виде

Тем самым мы здесь выбрали

сведя здесь новую переменную как и прежде, получим

Тем гяммм мы доказали, что решение (6.16) периодическое.

Покажем теперь, что можно иначе получить периодическое решение уравнения (6.1) в случае . Выберем в таким, чтобы это решение было периодическим с периодом

Отсюда найдем

Пользуясь формулой

легко покажем, что т. е. что не зависит от х. Поэтому (полагая получим

Мы нашли единственное значение при котором решение (6.5) будет периодическим с периодом :

Легко видеть, что это можно записать и так:

Действительно, производные от правых частей без множителя по х здесь равны, следовательно, эти величины отличаются на постоянное слагаемое. Но эти величины равны при поэтому они равны вообще.

Так как периодическое решение единственное (получается при единственном значении то решение (6.18) совпадает с (6.13), если Полагая в этих решениях получаем

Равенство (6.19) легко доказать и непосредственно, принимая во внимание, что

(получаем заменой

Легко также видеть, что значение у из (6.18) совпадает с (6.16) при

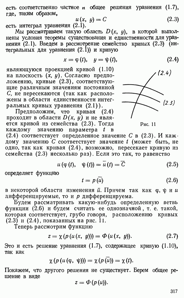
Теперь рассмотрим такой случай уравнения (6.1), когда функции непрерывные и периодические:

Ставим вопрос о существовании ограниченных решений уравнения (6.1).

Замечание 6.1. Пусть — периодическая непрерывная функция с периодом и пусть ее среднее значение. Тогда

где — периодическая функция с периодом .

Действительно,

и

так как откуда ибо это верно при

Решение (6.3) можно записать в виде

или (учитывая замечание 6.1)

Здесь — периодическая с периодом функция. Отсюда видим, что если то решение (6.22) будет мало отличаться от решения (6.9), которое мы рассмотрели, так как функции и ограниченные. В частности, если соизмеримы, т. где и I — целые числа, то функции будут периодические с периодом Но в таком случае для решения (6.22) можно рассмотреть вопрос о наличии периодических решений так же, как мы рассмотрели это для решения (6.9) в случае периодической функции

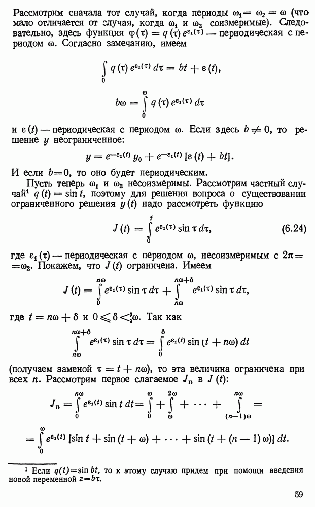
Пусть теперь т. е.

Рассмотрим сначала тот случай, когда периоды (что мало отличается от случая, когда соизмеримые). Следовательно, здесь функция периодическая с периодом . Согласно замечанию, имеем

— периодическая с периодом со. Если здесь то решение у неограниченное:

И если то оно будет периодическим.

Пусть теперь несоизмеримы. Рассмотрим частный случай поэтому для решения вопроса о существовании ограниченного решения надо рассмотреть функцию

где — периодическая с периодом и, несоизмеримым с Покажем, что ограничена. Имеем

где

(получаем заменой то эта величина ограничена при всех Рассмотрим первое слагаемое

Легко показать, что

В самом деле, это равенство справедливо при Покажем, что оно справедливо для если оно справедливо для

Рассмотрим сумму (прибавляем слева и справа

Утверждение доказано. Следовательно,

или по теореме о среднем значении интеграла

Отсюда видим, что ограничено, если где — целое:

Если же то периоды соизмеримы, а это мы рассмотрели.

Замечание 6.2. Если

где несоизмеримы с периодом функции то функция

также ограничена.

Можно рассмотреть и такие случаи, когда, например,

В работе [30] простыми рассуждениями найдены достаточные условия ограниченности функции (6.25) для таких Можно, наконец, вообще рассматривать случай

де — полиномы от аргументов, и даже более общие случаи. Здесь решение вопроса о существовании ограниченных решений уравнения (6.1) приводится к вопросу об ограниченности функции

где — периодическая функция по каждому из аргументов с периодом (или, если угодно, с периодом так как к этому случаю легко свести при помощи новой переменной). Эта задача рассмотрена в работе [93]. В ней показано и то, что функция при некоторых сот будет и не ограничена.

Пусть теперь — такая функция, что

— периодическая с периодом, например, и

Из этого равенства следует, что и

так как производная по от этой функции равна т. е. этот интеграл не зависит от и поэтому можно положить

Предположим еще, что интеграл

существует. Тогда, как видно из (6.3), вопрос о существовании ограниченного решения уравнения (6.1) сводится к вопросу об ограниченности функции

Эта задача является трудной и рассмотрена в работах [20, 22]. Результаты здесь многообразны и неожиданны. Мы рассмотрим весьма простой случай, когда

В этом случае, как известно, интеграл существует. Мы покажем, как и в [20, 22], что здесь

откуда будет следовать ограниченность функции и, следовательно, ограниченность решения (6.3) при Имеем

По второй теореме о среднем в рассматриваемом случае (условие (6.27))

На основании этого имеем

так как согласно (6.26).

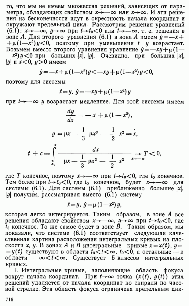
Следовательно, и уравнение (6.1) имеет одно ограниченное решение в случае (6.27). На этом мы заканчиваем рассмотрение уравнения (6.1). Как видим, общее решение здесь получается легко согласно (6.3), но вопрос о поведении решений уравнения (6.1) является весьма трудным во многих случаях.

Мы не будем более широко рассматривать поведение и аналитическую структуру решений данного уравнения, так как это намного увеличит и трудности исследования. Отметим лишь, что вопросы о поведении решений уравнения (6.1) имеют большое значение при изучении поведения решений уравнений гораздо более сложного вида. Это мы увидим позднее. Уравнение Бернулли

приводится к линейному введением новой переменной

Для и получим уравнение

Согласно (6.2),

где С — произвольная постоянная.

При будет решением уравнения (6.28) и притом особым, так как не может быть получено из общего

ни при каком значении С. Если же то получим при (или при если и мы иначе запишем общее решение). Таким образом, изучение поведения решений уравнения (6.23) сводится к изучению поведения решений линейного уравнения.

1
Оглавление
email@scask.ru