Главная > Теоретическая физика. Т. X. Физическая кинетика
НАПИШУ ВСЁ ЧТО ЗАДАЛИ
СЕКРЕТНЫЙ БОТ В ТЕЛЕГЕ
<< Предыдущий параграф Следующий параграф >>
Пред.
1
2
3
4
5
6
7
8
9
10
11
12
13
14
15
16
17
18
19
20
21
22
23
24
25
26
27
28
29
30
31
32
33
34
35
36
37
38
39
40
41
42
43
44
45
46
47
48
49
50
51
52
53
54
55
56
57
58
59
60
61
62
63
64
65
66
67
68
69
70
71
72
73
74
75
76
77
78
79
80
81
82
83
84
85
86
87
88
89
90
91
92
93
94
95
96
97
98
99
100
101
102
103
104
105
106
107
108
109
110
111
112
113
114
115
116
117
118
119
120
121
122
123
124
125
126
127
128
129
130
131
132
133
134
135
136
137
138
139
140
141
142
143
144
145
146
147
148
149
150
151
152
153
154
155
156
157
158
159
160
161
162
163
164
165
166
167
168
169
170
171
172
173
174
175
176
177
178
179
180
181
182
183
184
185
186
187
188
189
190
191
192
193
194
195
196
197
198
199
200
201
202
203
204
205
206
207
208
209
210
211
212
213
214
215
216
217
218
219
220
221
222
223
224
225
226
227
228
229
230
231
232
233
234
235
236
237
238
239
240
241
242
243
244
245
246
247
248
249
250
251
252
253
254
255
256
257
258
259
260
261
262
263
264
265
266
267
268
269
270
271
272
273
274
275
276
277
278
279
280
281
282
283
284
285
286
287
288
289
290
291
292
293
294
295
296
297
298
299
300
301
302
303
304
305
306
307
308
309
310
311
312
313
314
315
316
317
318
319
320
321
322
323
324
325
326
327
328
329
330
331
332
333
334
335
336
337
338
339
340
341
342
343
344
345
346
347
348
349
350
351
352
353
354
355
356
357
358
359
360
361
362
363
364
365
366
367
368
369
370
371
372
373
374
375
376
377
378
379
380
381
382
383
384
385
386
387
388
389
390
391
392
393
394
395
396
397
398
399
400
401
402
403
404
405
406
407
408
409
410
411
412
413
414
415
416
417
418
419
420
421
422
423
424
425
426
427
428
429
430
431
432
433
434
435
436
437
438
439
440
441
442
443
444
445
446
447
448
449
450
451
452
453
454
455
456
457
458
459
460
461
462
463
464
465
466
467
468
469
470
471
472
473
474
475
476
477
478
479
480
481
482
483
484
485
486
487
488
489
490
491
492
493
494
495
496
497
498
499
500
501
502
503
504
505
506
507
508
509
510
511
512
513
514
515
516
517
След.
Макеты страниц

Распознанный текст, спецсимволы и формулы могут содержать ошибки, поэтому с корректным вариантом рекомендуем ознакомиться на отсканированных изображениях учебника выше

Также, советуем воспользоваться поиском по сайту, мы уверены, что вы сможете найти больше информации по нужной Вам тематике

ДЛЯ СТУДЕНТОВ И ШКОЛЬНИКОВ ЕСТЬ
ZADANIA.TO

§ 93. Диаграммная техника для неравновесных систем

Всякая диаграммная техника основана на выделении из гамильтониана системы оператора взаимодействия: , где — гамильтониан системы невзаимодействующих частиц. Диаграммная техника есть теория возмущений по V.

Ее построение для неравновесной системы осуществляется по тому же пути, по которому это делалось в равновесном случае, при Гриновская функция выражается через -операторы в представлении взаимодействия (т. е. для идеального газа) формулой

где

(93,2)

a - оператор V в представлении взаимодействия. Усреднение в (93,1) производится по некоторому состоянию системы невзаимодействующих частиц. Для дальнейшего будет удобнее предположить, что это состояние является стационарным и однородным, но не основным (мы увидим далее, что это начальное состояние можно исключить и сформулировать теорию так, что уравнения вообще не будут от него зависеть). В этом разница со случаем когда усреднение производится по основному состоянию. Это отличие очень существенно: усреднение оператора уже нельзя отделить от усреднения остальных множителей (как это было сделано в IX, § 12, при переходе от (12,12) к (12,14)); дело в том, что неосновное состояние под влиянием оператора переходит не само в себя, а в некоторую суперпозицию других возбужденных состояний (которые могут наглядно рассматриваться как результат всевозможных процессов взаимного рассеяния квазичастиц.

Выражение (93,1) должно быть разложено по степеням V. При этом удобно сначала преобразовать используя унитарность оператора S:

(использована также эрмитовость оператора V); символ Т антихронологического упорядочения был уже введен в предыдущем параграфе.

Разложив S и в ряды и подставив их в (93,1), мы получим сумму различных членов, в каждом из которых надо произвести усреднение с помощью теоремы Вика, и каждому способу попарных сверток -операторов сопоставляется определенная диаграмма.

Заметим прежде всего, что (как и в диаграммной технике при , которую будем называть «обычной») следует учитывать только связные диаграммы, не содержащие отсоединенных вакуумных петель. Вакуумные же петли взаимно сокращаются. В этом легко убедиться, рассмотрев несколько первых диаграмм, по которым можно усмотреть общий принцип такого сокращения.

Если все свертки, приводящие к связнбй диаграмме, производятся внутри множителя в (93,1), то мы получим члены, изображающиеся описанными в IX, § 13, обычными диаграммами (разумеется, с другим конкретным видом функций, отвечающих сплошным линиям). Напомним, что речь идет здесь о диаграммах в координатном представлении; для неравновесных состояний (когда -функции зависят от переменных по отдельности) переход к импульсному представлению неудобен. Другие члены возникают от свертываний, в которых участвуют также и -операторы из . В каждом порядке теории возмущений они получаются из обычных членов заменой любого множителя V, взятого из S, на множитель V из Эти члены изображаются диаграммами того же графического вида, но с несколько измененным правилом их прочтения. Эти изменения являются следствием трех обстоятельств: 1) в ойераторы взаимодействия входят в виде (вместо в ); 2) все -операторы в стоят всегда левее операторов в произведении внутри множителя операторы упорядочены знаком Т-произведения (вместо Т).

Проследим, как эти изменения проявляются при построении диаграммной техники в простейшем случае для системы частиц (скажем, фермионов), находящихся во внешнем поле

Члены первого порядка в разложении выражения (93,1):

Для рассматриваемой здесь ситуации характерен второй член в этой сумме; при усреднении по основному состоянию должен был бы рассматриваться только первый член.

В первом члене все четыре -оператора находятся под знаком Т-проиэведения; их попарные свертки,

дают множители Во втором же члене сворачиваемые Т-операторы не упорядочены друг с другом знаком Т или Т:

их свертки дают множители и кроме того, здесь стоит вместо

Введем графические элементы, отличающиеся от фигурировавших в обычной диаграммной технике дополнительными индексами + или — на концах линий. Пунктирные линии с индексами или — на одном из концов (вершине диаграммы) означают множитель или :

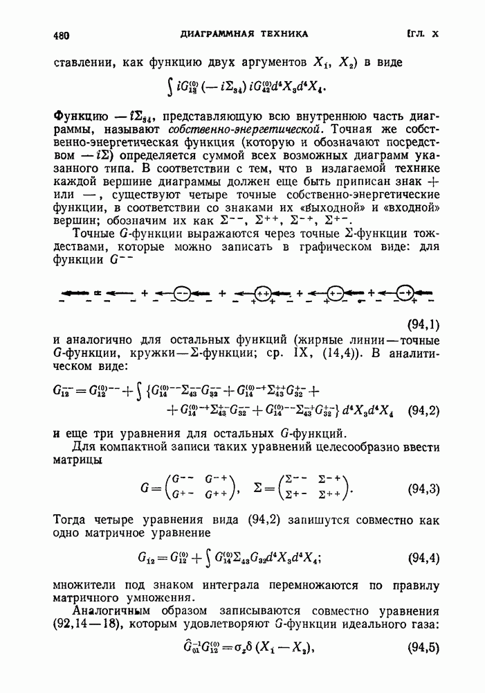
(ср. IX, § 19). Сплошным линиям с индексами ± на обоих концах сопоставляются различные -функции:

Цифры на концах линий нумеруют аргументы функций — переменные

Тогда два члена (93,4-5) изобразятся диаграммами

Двум внешним концам сплошных линий приписываются индексы — соответственно тому, что речь идет о поправках в функции

По переменным, отвечающим вершине диаграммы, подразумевается интегрирование. В аналитическом виде:

В следующем, втором, порядке теории возмущений поправка в функции дается четырьмя диаграммами:

(цифровые индексы опущены). Индекс ± в каждой вершине диаграммы относится к концам всех трех сходящихся в ней линий.

Аналогичным образом, поправочные члены в других -функциях изобразятся диаграммами с другими индексами у двух внешних концов сплошных линий. Так, для функции в первом порядке имеем две диаграммы:

Таким образом, диаграммы в технике Келдыша получаются из диаграмм обычной техники приписыванием в их вершинах и свободных концах всеми возможными способами дополнительных индексов или Это правило остается в силе и в диаграммной технике при других типах взаимодействия.

Для системы с парным взаимодействием между частицами в обычной диаграммной технике внутренней пунктирной линии сопоставляется потенциал взаимодействия двух частиц. Теперь концам такой линии, приписывается еще пара одинаковых индексов или

Так, поправка первого порядка в функции для системы с парным взаимодействием изобразится суммой четырех диаграмм:

(93,13)

(вместо двух диаграмм IX, (13,13) обычной техники). Сплошной линии, замкнутой самой на себя, по-прежнему сопоставляется множитель (плотность идеального газа) при любом знаке вершины.

Уже упоминалось, что диаграммная техника Келдыша применима также и к равновесным системам при Предположим, что внешнее поле отсутствует и перейдем от координатного к импульсному представлению, разложив все -функции в интегралы Фурье. Тогда, обычным образом, каждой линии на диаграммах приписывается определенный -импульс» и этим линиям сопоставляются, по тем же правилам, функции в импульсном представлении.

При функция распределения Ферми

Поэтому, согласно (92,20—21), для ферми-системы при

и все диаграммы для содержащие «плюсовые» вершины, обращаются тождественно в нуль. Таким образом, диаграммная техника Келдыша в применении к равновесным системам (в отличие от мацубаровской техники) непосредственно переходит при в обычную диаграммную технику.

1
Оглавление
email@scask.ru