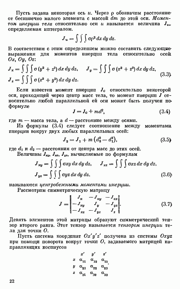
Главная > Динамика тела, соприкасающегося с твердой поверхностью
НАПИШУ ВСЁ ЧТО ЗАДАЛИ
СЕКРЕТНЫЙ БОТ В ТЕЛЕГЕ
<< Предыдущий параграф Следующий параграф >>
Пред.
След.
Макеты страниц

Распознанный текст, спецсимволы и формулы могут содержать ошибки, поэтому с корректным вариантом рекомендуем ознакомиться на отсканированных изображениях учебника выше

Также, советуем воспользоваться поиском по сайту, мы уверены, что вы сможете найти больше информации по нужной Вам тематике

ДЛЯ СТУДЕНТОВ И ШКОЛЬНИКОВ ЕСТЬ
ZADANIA.TO

3. Нормальные координаты для колебании вблизи положения равновесия.

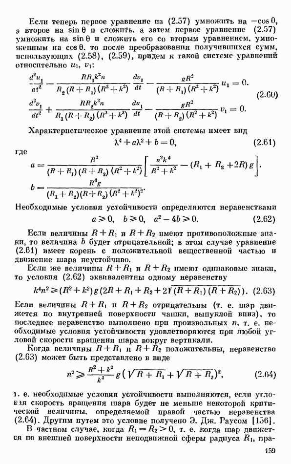
Пусть в движении т. е. тело покоится на плоскости, опираясь на нее одной своей точкой, лежащей на оси занимающей вертикальное положение. Необходимым (с точностью до знака равенства) и достаточным условием устойчивости этого положения равновесия будет, согласно п. 2 § 5, выполнение неравенств Пусть это условие выполняется. Рассмотрим движение тела вблизи положения равновесия. Уравнения возмущенного движения с учетом членов до

второго порядка включительно имеют вид

Здесь - соответствующие функции из (6.4), вычисленные при . В линеаризованной спстеме (6.9) первые два уравнения, описывающие изменение со временем углов нутации и собственного вращения, отделяются от третьего уравнения, описывающего вращение тела вокруг вертикали. Замечая, что формально эти два уравнения можно рассматривать как уравнения малых колебаний консервативной системы, сделаем в уравнениях (6.9) замену переменных приводящую линеаризованные первые два уравнения системы (6.9) к виду, соответствующему нормальным колебаниям [34]. Частоты нормальных колебаний удовлетворяют уравнению

Приведение к нормальным координатам осуществляется при помощи замены переменных

В линейном приближении по уравнение следа, описываемого точкой касания М на поверхности тела, будет таким:

Отсюда и из (6.11) получаем, что для нормального колебания (с частотой касательная к следу в точке М составляет с осью угол вычисляемый по формуле

Отсюда видно, как должны быть выбраны возмущения чтобы тело совершало высокочастотные (с частотой ) пли низкочастотные (с частотой ) малые колебания.

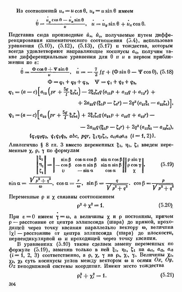
1
Оглавление
email@scask.ru