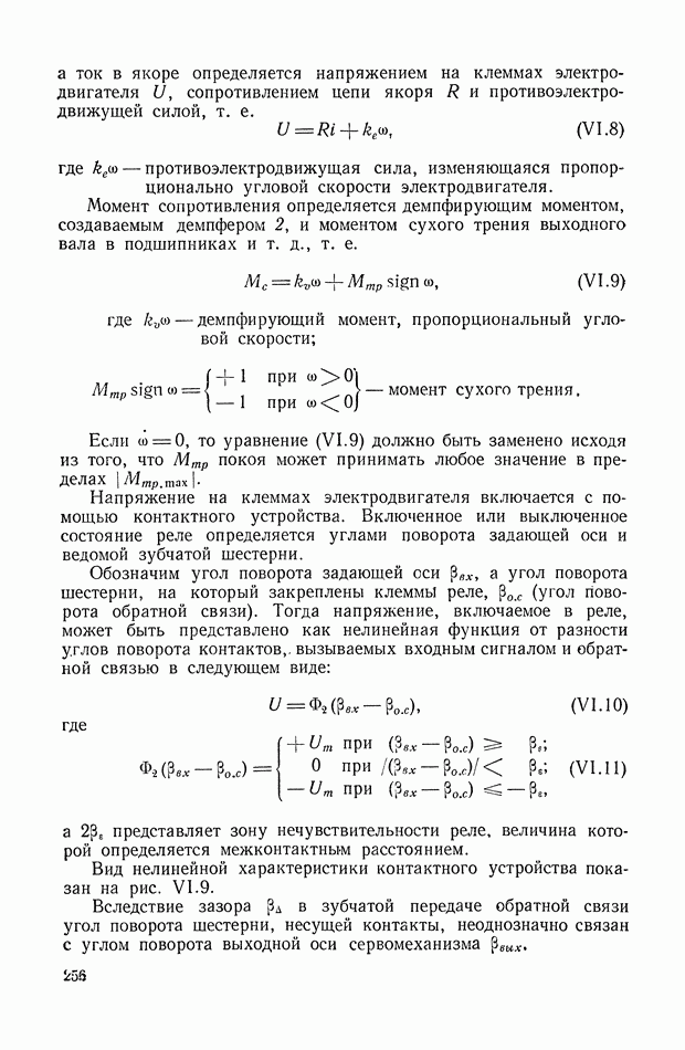
Главная > Теория автоматического регулирования. Книга 3. Часть I
НАПИШУ ВСЁ ЧТО ЗАДАЛИ
СЕКРЕТНЫЙ БОТ В ТЕЛЕГЕ
<< Предыдущий параграф Следующий параграф >>
Пред.
След.
Макеты страниц

Распознанный текст, спецсимволы и формулы могут содержать ошибки, поэтому с корректным вариантом рекомендуем ознакомиться на отсканированных изображениях учебника выше

Также, советуем воспользоваться поиском по сайту, мы уверены, что вы сможете найти больше информации по нужной Вам тематике

ДЛЯ СТУДЕНТОВ И ШКОЛЬНИКОВ ЕСТЬ
ZADANIA.TO

7. СВЯЗЬ НЕСТАЦИОНАРНЫХ ПЕРЕДАТОЧНЫХ ФУНКЦИЙ С ДИФФЕРЕНЦИАЛЬНЫМИ УРАВНЕНИЯМИ СИСТЕМ С ПЕРЕМЕННЫМИ ПАРАМЕТРАМИ

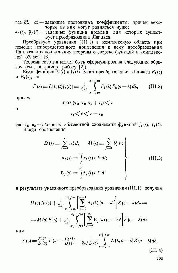
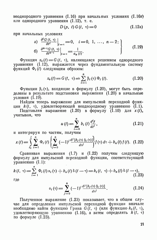
Пусть система описывается дифференциальным уравнением с переменными коэффициентами

Импульсная переходная функция системы как функция является решением этого уравнения при воздействии

Умножим правую и левую части уравнения (IV.81) функцию которая принадлежит системе функций, ортонормированной на отрезке и проинтегрируем обе части по на этом отрезке:

откуда, учитывая формулу (IV.35) и свойства дельта-функции, найдем:

В уравнении (IV.82) и — параметры и всегда при

Заметим, что нестационарная сопряженная передаточная функция является решением дифференциального уравнения системы при . Аналогично можно показать, что нестационарная нормальная передаточная функция системы является решением дифференциального уравнения, сопряженного с исходным, при

Установим теперь связь двумерной нестационарной передаточной функции с дифференциальным уравнением системы. Для этого можно было бы воспользоваться уравнением (IV.82) и выражением сопряженной передаточной функции через двумерную (IV.47).

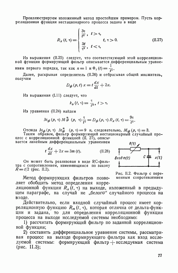
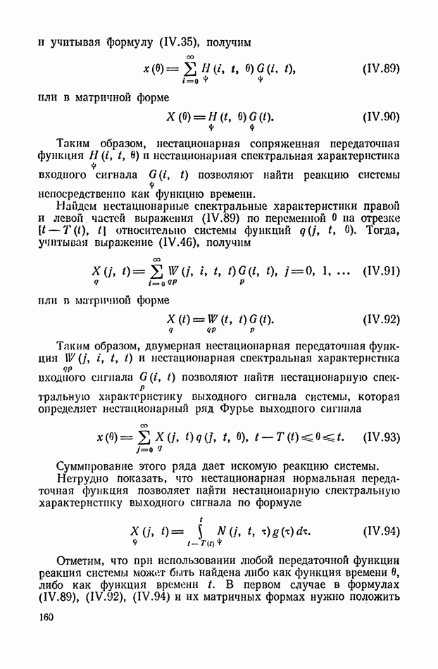
Рис. 1V.6. Структурная схема математической модели системы, построенная но дифференциальному уравнению

Однако, проще, используя дифференциальное уравнение (IV.80), представить систему многоконтурной математической моделью, состоящей лишь из элементарных звеньев (рис. IV.6), и далее найти по этой структуре двумерную нестационарную передаточную функцию системы с помощью формул (IV.71), (IV.72) и (IV.74):

где — матрицы двумерных нестационарных передаточных функций соответственно дифференциатора и усилительных звеньев с импульсными переходными функциями определяемыми коэффициентами дифференциального уравнения. При выводе формулы (IV.83) учитывается, что матрицы двумерных нестационарных передаточных функций интегратора и дифференциатора обратны друг другу: а матрицы двумерной стационарной передаточной функции интегратора и дифференциатора порядка к определяются как степени матриц

Формулу (IV.83) можно представить также в форме, удобной при вычислениях:

Если коэффициенты дифференциального уравнения постоянны, то формулы (IV.83) и (IV.84) принимают вид

или

Запись в данном случае указывает, что для стационарной системы матрицы М и коммутативны.

1
Оглавление
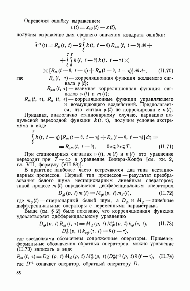
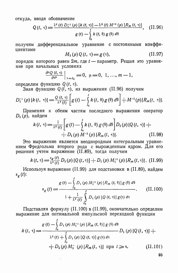
email@scask.ru