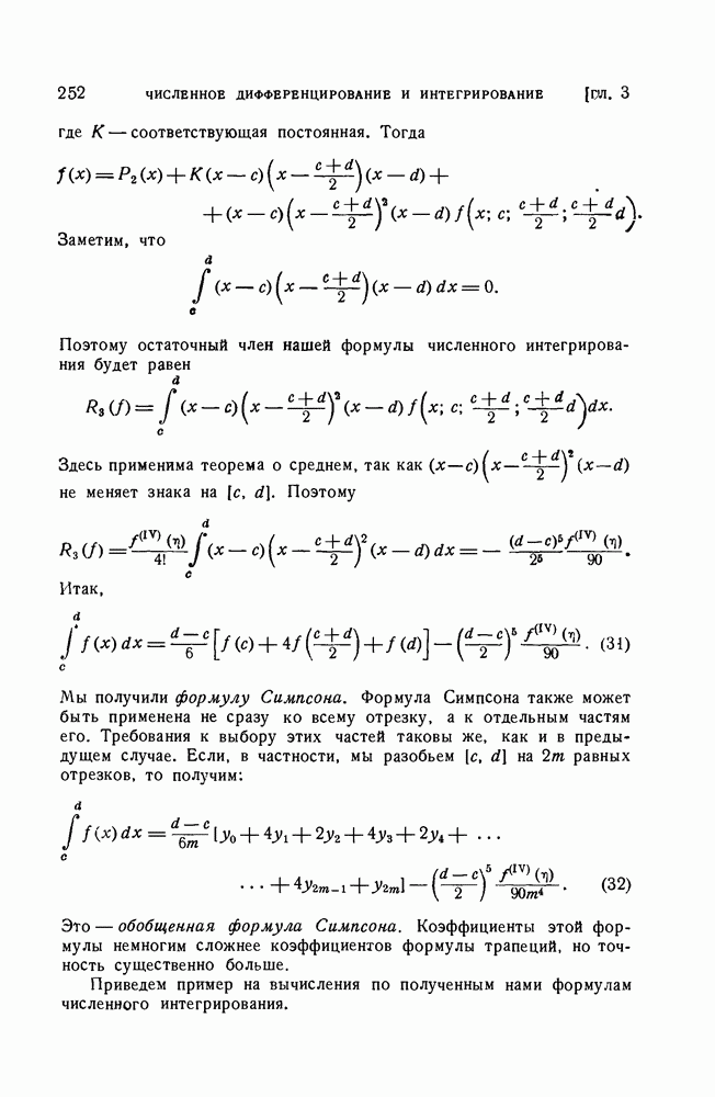
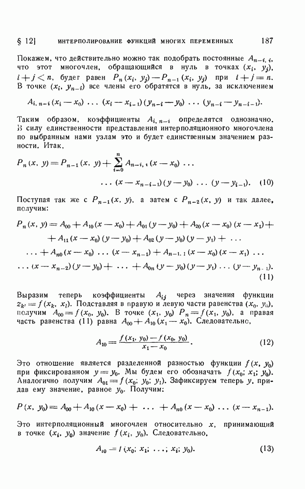
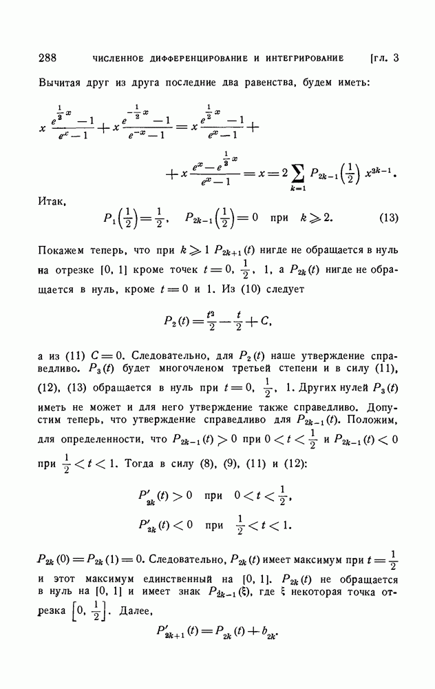
Главная > Методы вычислений, Т.1
НАПИШУ ВСЁ ЧТО ЗАДАЛИ
СЕКРЕТНЫЙ БОТ В ТЕЛЕГЕ
<< Предыдущий параграф Следующий параграф >>
Пред.
След.
Макеты страниц

Распознанный текст, спецсимволы и формулы могут содержать ошибки, поэтому с корректным вариантом рекомендуем ознакомиться на отсканированных изображениях учебника выше

Также, советуем воспользоваться поиском по сайту, мы уверены, что вы сможете найти больше информации по нужной Вам тематике

ДЛЯ СТУДЕНТОВ И ШКОЛЬНИКОВ ЕСТЬ
ZADANIA.TO

§ 11. Общая задача интерполирования алгебраическими многочленами

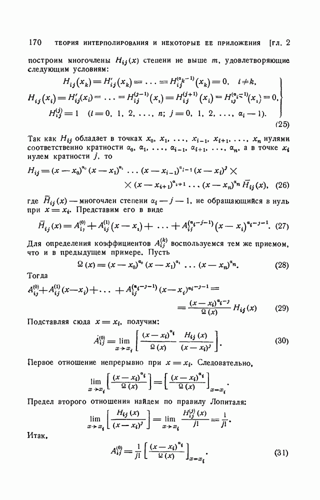
1. Интерполяционный многочлен Эрмита.

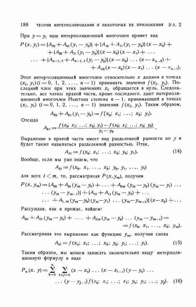
Рассмотрим теперь более общую задачу, чем та, которую мы решали. Пусть нам задана базисная система интерполяционных функций на Требуется найти такую их линейную комбинацию

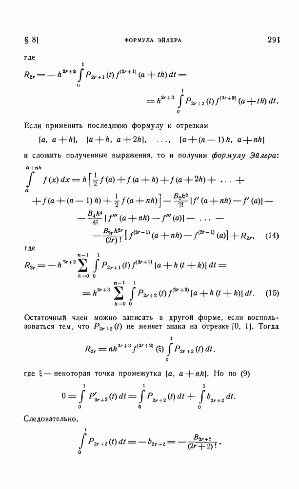
по

где заданные числа, а при Так как число условий, которые мы накладываем

на равно то для того, чтобы наша задача всегда имела единственное решение, требуется, чтобы

и

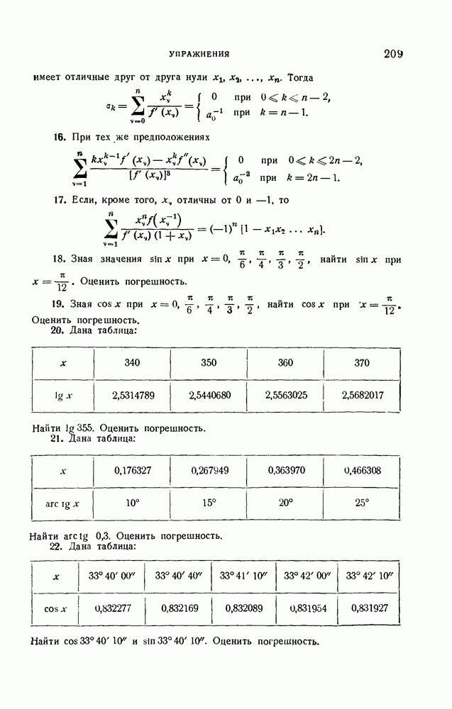
Мы не будем здесь входить в подробности общего случая, а ограничимся лишь алгебраическими многочленами, т. е. положим

Итак, нам требуется построить алгебраический многочлен степени не выше удовлетворяющий поставленным выше условиям. Предположим, что такой многочлен существует, и обозначим его через Наряду с рассмотрим интерполяционный многочлен Лагранжа принимающий в точках значения Разность должна быть многочленом степени не выше обращающимся в нуль в точках Следовательно,

где

При любом мцогочлене функция

принимает в узлах интерполирования значения Подберем теперь так, чтобы были выполнены и остальные условия. Дифференцируя обе части равенства (7), получим:

Полагая здесь будем иметь:

Так как то в каждой точке, в которой задано мы найдем Дифференцируя еще раз, получим:

Полагая снова найдем:

Из этого равенства мы сумеем найти в тех точках, в которых заданы Продолжим этот процесс далее. Каждый раз коэффициентом при старшей производной от в точках будет Таким образом, мы сведем нашу задачу об отыскании к задаче об отыскании удовлетворяющего условиям:

где — известные числа. К применим точно такой же прием. Получим некоторые условия, наложенные на . В конце концов, нам потребуется построить интерполяционный многочлен Лагранжа по данным в некоторых точках

Посмотрим, какова же будет степень полученного таким образом многочлена Эта степень будет равна числу узлов, в которых заданы плюс число узлов, в которых заданы плюс число узлов, в которых заданы у! и т. д., плюс число узлов, в которых заданы самые старшие, входящие в условия, производные и Минус единица.

Таким образом, эта степень равна

что и требовалось.

Построенный нами многочлен единственный, который удовлетворяет поставленным условиям. Действительно, если бы имелось два таких многочлена то их разность

представляла бы собой многочлен степени не выше имеющий на отрезке корней (с учетом кратности корней), что невозможно. Да и сам процесс построения в силу того, что все определялись единственным образом, дает основания утверждать единственность построенного многочлена. Приведем примеры на построение таких многочленов, которые мы в дальнейшем будем называть интерполяционными многочленами Эрмита.

Пример. Пусть значения и ее производных в точках заданы таблицей:

(см. скан)

Найти интерполяционный многочлен Эрмита. Интерполяционный многочлен Лагранжа в этом случае будет равен

Отсюда

Дифференцируя это выражение, находим:

Подставляя сюда значения получим;

Вторая производная от имеет вид

Отсюда находим значения в точках :

Итак, нам надо найти многочлен удовлетворяющий условиям:

Записываем его в виде

Дифференцируя, находим:

Подставляя сюда и 2, определяем

Отсюда

и

Рассмотрим еще один пример.

Найти интерполяционный многочлен Эрмита, принимающий в точках значения и имеющий там производные, равные В этом случае

где

Дифференцируя, найдем:

Отсюда

и

Итак,

Пусть

Тогда интерполяционный многочлен Эрмита можно записать в виде

Последнюю сумму разобьем на две части:

Первое слагаемое в правой части запишем в следующем виде:

Второй член подвергнем некоторым преобразованиям:

Таким образом, искомый многочлен можно записать так:

Рассмотрим теперь выражение, стоящее в скобках под знаком первой суммы:

Это — многочлен степени При получим:

Итак, наш многочлен обращается в нуль при всех Рассмотрим производную этого многочлена

При получим:

Таким образом, имеет двукратный корень при всех Следовательно, этот многочлен имеет в качестве множителя степень равна то его можно записать в виде

Определим коэффициенты Полагая в последнем равенстве получим:

Отсюда

Дифференцируя равенство (23) и полагая затем найдем:

Отсюда

Коэффициент можно представить в другом виде:

Итак,

Окончательно получаем:

1
Оглавление
email@scask.ru