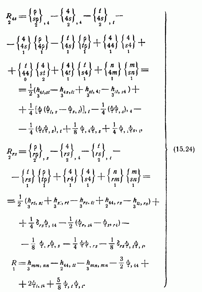
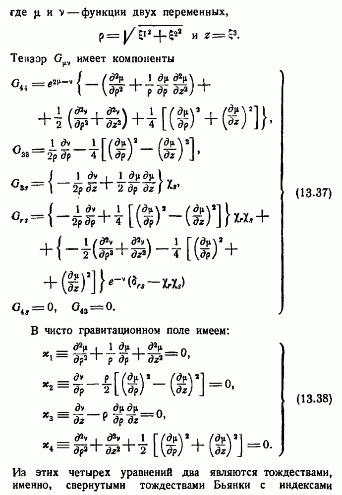
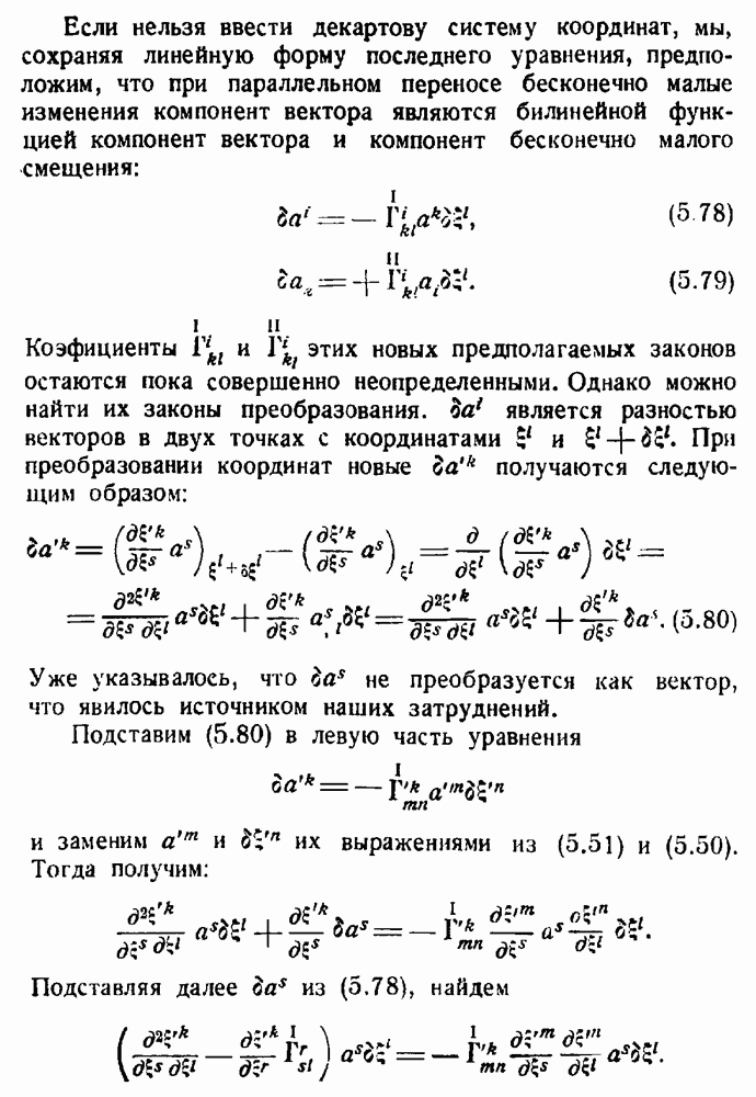
Главная > Введение в теорию относительности
НАПИШУ ВСЁ ЧТО ЗАДАЛИ
СЕКРЕТНЫЙ БОТ В ТЕЛЕГЕ
<< Предыдущий параграф Следующий параграф >>
Пред.
След.
Макеты страниц

Распознанный текст, спецсимволы и формулы могут содержать ошибки, поэтому с корректным вариантом рекомендуем ознакомиться на отсканированных изображениях учебника выше

Также, советуем воспользоваться поиском по сайту, мы уверены, что вы сможете найти больше информации по нужной Вам тематике

ДЛЯ СТУДЕНТОВ И ШКОЛЬНИКОВ ЕСТЬ
ZADANIA.TO

Глава IV. ПРЕОБРАЗОВАНИЯ ЛОРЕНТЦА

Несколько десятилетий экспериментальных исследований показали, что невозможно обнаружить движение Земли сквозь «эфир». Все указывает на то, что существует «принцип относительности» в оптике и электродинамике, хотя преобразования Галилея и исключают эту возможность.

Тем не менее, Фицжеральд и особенно Лорентц сделали попытки сохранить обычные уравнения преобразования и в то же время теоретически объяснить результаты экспериментов. Лорентц сумел показать, что движение системы отсчета относительно эфира со скоростью дает только «эффект второго порядка» т. е., что все наблюдаемые отклонения от законов, справедливых в системе отсчета, связанной с эфиром, пропорциональны не

Один из этих ожидаемых эффектов второго порядка заключается в том, что в системе, движущейся относительно эфира, световой луч будет проходить некоторое расстояние в оба конца (т. е. туда и обратно), в направлении, параллельном движению системы, за большее время, чем то же расстояние в перпендикулярном направлении. Опыт Майкельсона-Морлея предназначался для измерения этого эффекта. Чтобы объяснить отрицательный результат эксперимента, Фицжеральд и Лорентц предположили, что масштабы и другие «твердые» тела, движущиеся сквозь эфир, сокращаются в направлении движения как раз в таком отношении, чтобы скомпенсировать изменения времени распространения света. Эта гипотеза полностью сохраняет привилегированный характер определенной системы отсчета (эфира). Отрицательный результат опыта Майкельсона-Морлея приписывается при этом не существованию оптического принципа относительности, а неблагоприятному сочетанию

эффектов, которое делает невозможным экспериментальное обнаружение движения Земли сквозь эфир.

В противоположность этому Эйнштейн истолковал результаты экспериментов как решающее доказательство того, что принцип относительности справедлив в электродинамике так же, как и в механике. Поэтому он подверг анализу уравнения преобразования Галилея и постарался видоизменить их таким образом, чтобы они стали совместимы с принципом относительности в оптике. Мы воспроизведем теперь этот анализ с целью получения новых законов преобразования.

При написании уравнений преобразования мы всегда делали два предположения, на которые, впрочем, не всегда обращали особое внимание: именно, что существует универсальное время t, определенное независимо от системы координат или системы отсчета, и что расстояние между двумя одновременными событиями является инвариантом, значение которого не зависит от выбора системы координат.

1
Оглавление
email@scask.ru