Главная > Трансцендентные числа
НАПИШУ ВСЁ ЧТО ЗАДАЛИ
СЕКРЕТНЫЙ БОТ В ТЕЛЕГЕ
<< Предыдущий параграф Следующий параграф >>
Пред.
След.
Макеты страниц

Распознанный текст, спецсимволы и формулы могут содержать ошибки, поэтому с корректным вариантом рекомендуем ознакомиться на отсканированных изображениях учебника выше

Также, советуем воспользоваться поиском по сайту, мы уверены, что вы сможете найти больше информации по нужной Вам тематике

ДЛЯ СТУДЕНТОВ И ШКОЛЬНИКОВ ЕСТЬ
ZADANIA.TO

§ 4. Приближение алгебраических чисел алгебраическими числами

Высотой многочлена называют наибольший из модулей его коэффициентов.

Пусть минимальный многочлен алгебраического числа а. Умножим все его коэффициенты на их общий наименьший знаменатель. Получим примитивный многочлен который также имеет а своим корнем. Напомним, что многочлен из называется примитивным, если все его коэффициенты взаимно просты в совокупности

Высотой алгебраического числа а называют высоту неприводимого и примитивного многочлена имеющего а своим корнем.

Алгебраическое число а называют целым алгебраическим числом, если в его минимальном многочлене все коэффициенты целые рациональные числа.

Доказывается, что если а — корень многочлена со старшим коэффициентом равным 1 (не обязательно неприводимого), то — целое алгебраическое число.

Сумма, разность и произведение двух целых алгебраических чисел снова являются целыми алгебраическими числами. Следовательно, множество всех целых алгебраических чисел образует кольцо, которое будем обозначать

Если то существует число такое, что Если а есть корень многочлена то в качестве числа можно взять модуль старшего коэффициента

Алгебраическим полем называют расширение поля с помощью алгебраического числа 0, т. е. множество чисел где пробегает все рациональные функции из опреде ленные в точке 0.

Так определенное алгебраическое поле обозначают Число 0 называют числом, порождающим алгебраическое поле В качестве порождающего числа можно выбирать различные числа этого поля. Все они имеют одну и ту же степень Их называют примитивными числами алгебраического поля.

Степенью алгебраического поля называют степень любого числа, порождающего это поле и обозначают ее

В алгебраическом поле степени максимальное число линейно независимых над элементов равно

Пусть алгебраическое поле, числа сопряженные с 0. Каждое число являющееся алгебраическим числом, единственным образом представляется в виде

Числа

называются числами, сопряженными с числом а, в алгебраическом поле К. Они совпадают с числами сопряженными с а, быть может повторенными одинаково часто, если меньше, чем Числа могут не принадлежать полю К.

Рассматривая алгебраическое поле всегда будем считать, что нумерация чисел фиксирована. Равенство (42) показывает, что тем самым фиксирована нумерация чисел, сопряженных в поле К для любого числа а

Легко доказывается, что если числа сопряженные с а в поле К, а и существует то числа будут сопряженными с в поле К.

Для любого конечного числа алгебраических чисел существует алгебраическое поле содержащее эти числа.

Для чисел а из поля К определим размер а [равенством

Значение этого символа совпадает со значением символа определенного в § 3. Очевидно, что

Множество целых алгебраических чисел, содержащихся в поле К, образует кольцо, которое обозначим Всегда

Нормой числа в этом поле называют произведение всех сопряженных чисел для а в этом поле. Норму а обозначим

Отметим некоторые свойства нормы:

В дальнейшем, когда будет рассматриваться только одно число то будет обозначать норму в алгебраическом поле порожденном числом а.

Если а есть алгебраическое число над алгебраическим полек К, т. е. корень многочлена то Степенью а над а называют степень неприводимого многочлена из имеющего а своим корнем.

Докажем одно вспомогательное предложение. Его доказательство основывается на теореме о симметрических многочленах.

Пусть У — коммутативное кольцо с единицей. Многочлен называется симметрическим многочленом от если он не изменяется при любой перестановке

Обозначим

элементарные симметрические многочлены от являющиеся с точностью до знака коэффициентами многочлена

Теорема о симметрических многочленах утверждает: любой симметрический многочлен единственным обрааом представляется в виде

Лемма 1. Пусть числа сопряженные с Далее,

как многочлен от с коэффициентами из является симметрическим многочленом от

Тогда

Если же при условиях леммы и

то

Доказательство. Рассмотрим как многочлен от с коэффициентами из Поскольку есть симметрический многочлен от , то по теореме о симметрических многочленах он представляется как многочлен от их элементарных симметрических многочленов с коэффициентами из Но элементарные симметрические многочлены совпадают с точностью до знака с Коэффициентами минимального многочлена алгебраического числа а и, следовательно, являются числами из Поэтому

Во втором случае доказательство аналогично, с использованием того, что все коэффициенты минимального многочлена числа а принадлежат

Задачу о приближении действительных чисел рациональными числами можно обобщить и изучать приближение комплексных чисел алгебраическими числами некоторых классов.

Для заданного комплексного числа а рассмотрим модуль разности

при различных , где — алгебраическое число. Поскольку поле А содержит числа из то числами А можно приблизиться к числу сколь угодно близко.

В качестве чисел 0, приближающих число а, иногда рассматривают числа из некоторого алгебраического поля К, или только примитивные числа этого поля, а иногда алгебраические числа фиксированной степени.

Величину (43) естественно оценивать с помощью положительных функций где высота числа , а Целесообразно рассмотреть неравенство

и выяснить, для каких функций оно имеет не более Чем конечное, а для каких бесконечное множество решений а алгебраических числах .

Поведение разности (43) при различных алгебраических степени к и высоты тесно связано с поведением величины при фиксированном комплексном а и различных многочленах степени к и высоты . В самом деле, если то число будет мало, если а достаточно близко к 0, т. е., когда мала разность (43). С другой стороны, число мало, то мала хотя бы одна из разностей где корни многочлена Отсюда следует, что величина также в некотором смысле характеризует порядок приближения числа а алгебраическими числами высоты и степени

Обычно для заданного находят оценку снизу

где функция высоты и степени к многочлена справедливую для всех многочленов не обязательно неприводимых и таких, что

Задача об оценке такого типа обобщается на случай нескольких чисел и многочленов

В этом параграфе будут получены простейшие оценки для при алгебраических а в гл. 11—13 и для некоторых классов трансцендентных чисел.

Оценка вида (44) в случае, когда представляет собой обобщение теоремы Лиувилля. Неравенство (35) при можно переписать в следующем виде:

Обозначим

Тогда из неравенства (45) следует, что если то

Покажем, что аналогичное утверждение справедливо и для многочленов любой степени к. Предварительно докажем вспомогательное предложение, представляющее само стоятельный интерес.

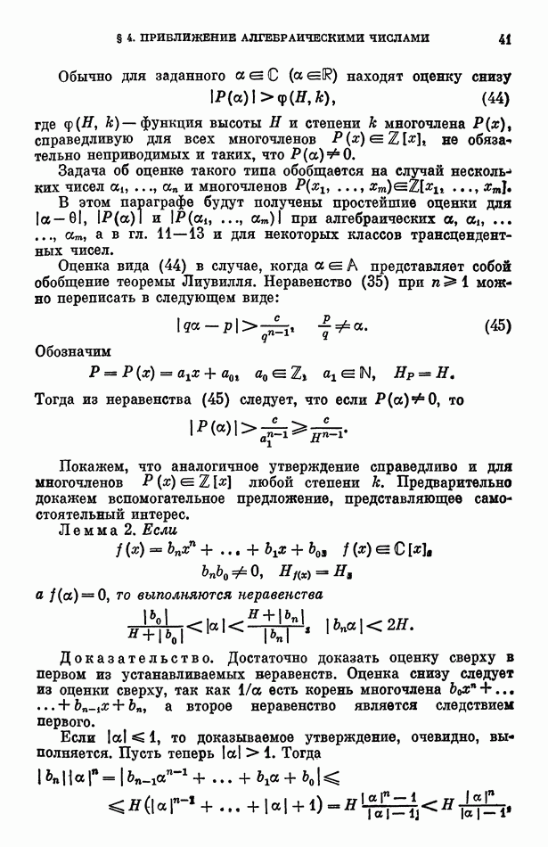
Лемма 2. Если

а , то выполняются неравенства

Доказательство. Достаточно доказать оценку сверху в первом из устанавливаемых неравенств. Оценка снизу следует из оценки сверху, так как есть корень многочлена а второе неравенство является следствием первого.

Если то доказываемое утверждение, очевидно, выполняется. Пусть теперь Тогда

откуда имеем, что

Лемма доказана.

Следствие. Если а — алгебраическое число высоты то размер а удовлетворяет неравенствам

Теорема 8. Пусть

Тогда либо либо выполняется неравенство

Доказательство. Не нарушая общности, можно считать, что Пусть Тогда Обозначим старший коэффициент в неприводимом и примитивном многочлене из корнем которого является число Тогда -Если то

что доказывает неравенство (47) в рассматриваемом случае. Пусть теперь Тогда

Пользуясь леммой 2, получаем оценку

Из неравенств (48) и (49) имеем

что завершает доказательство теоремы.

Теорема 9. Если алгебраическое число степени то существует постоянная такая, что при любом алгебраическом 6 степени и высоты гаком, что

выполняется неравенство

Доказательство. Пусть и является корнем неприводимого многочлена

Возможны три случая.

1) . В этом случае теорема верна по теореме Лиувилля.

2) . Тогда 0 является сопряженным для а и к — Пусть есть любая постоянная, удовлетворяющая условию

Тогда

Неравенство (51) показывает, что теорема справедлива и в этом случае.

Если

Имеем

Оценим величину сверху.

где

Из равенств (56) и неравенства (53) получим, что

а из равенства (55) и неравенств (57), пользуясь неравенством (46) из следствия леммы 2, находим

По теореме 8 существует постоянная такая, Что

Подставляя оценки (58) и (59) в равенство (54), получим неравенство

Тогда из неравенств (52) и (60) следует неравенство (50). Теорема доказана.

Теорема 10. Пусть а — комплексное число такое, что при любом неравенство

имеет бесконечное множество решений в алгебраических числах с высотами Не.

Тогда трансцендентное число.

Доказательство теоремы 10 аналогично доказательству теоремы 6 с использованием теоремы 9 вместо теоремы Лиувилля.

В дальнейшем потребуется теорема, обобщающая теорему 8 на случай многочлена от нескольких алгебраических чисел. Ее доказательство аналогично доказательству теоремы 8, но в нем используется утверждение о том, что существует алгебраическое поле содержащее заданные алгебраические числа

Теорема 11. Пусть алгебраические числа, степень алгебраического поля содержащего эти числа.

Тогда существует постоянная такая, что любого многочлена

либо либо выполняется неравенство

Доказательство. Так как постоянная с будет удовлетворять условию то, не нарушая общности, можно считать, что Предположим, что Пусть являются числами сопряженными, соответственно, с в поле К, а постоянная и такова, что Поэтому

Возможны два случая.

1) h = 1. Тогда, ввиду условия (62),

2) h > 1. Обозначим

Числа будут сопряженными в поле К. Поэтому по свойству нормы и условию (62)

откуда

Если

то

Из неравенств (64) и (65) находим

Из неравенств (63) и (66) следует неравенство (61). Заметим, что постоянную с с помощью следствия из леммы 2 можно выразить через высоты чисел

1
Оглавление
email@scask.ru