Главная > Вибрации в технике, Т. 2. Колебания нелинейных механических систем
НАПИШУ ВСЁ ЧТО ЗАДАЛИ
СЕКРЕТНЫЙ БОТ В ТЕЛЕГЕ
<< Предыдущий параграф Следующий параграф >>
Пред.
1
2
3
4
5
6
7
8
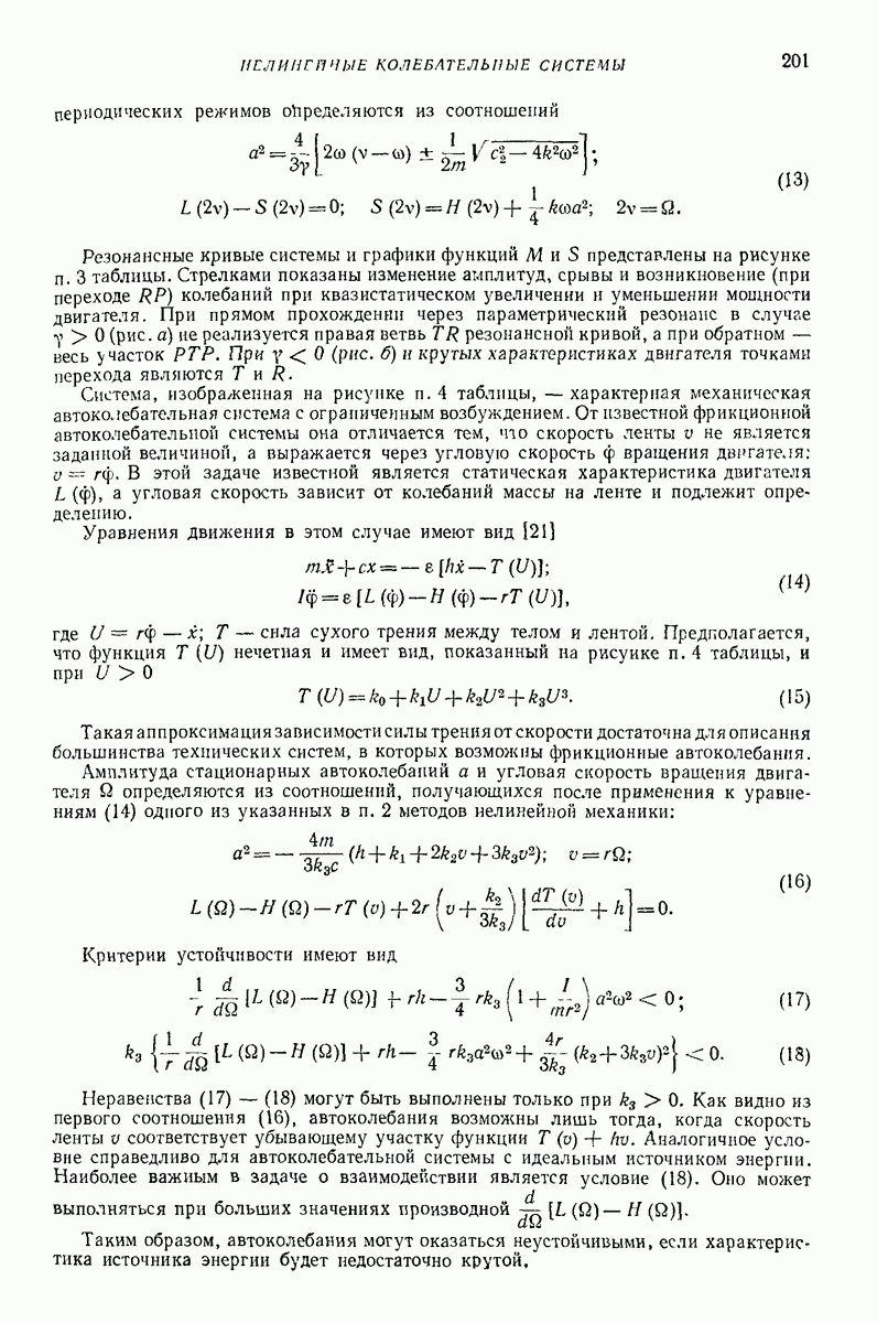
9
10
11
12
13
14
15
16
17
18
19
20
21
22
23
24
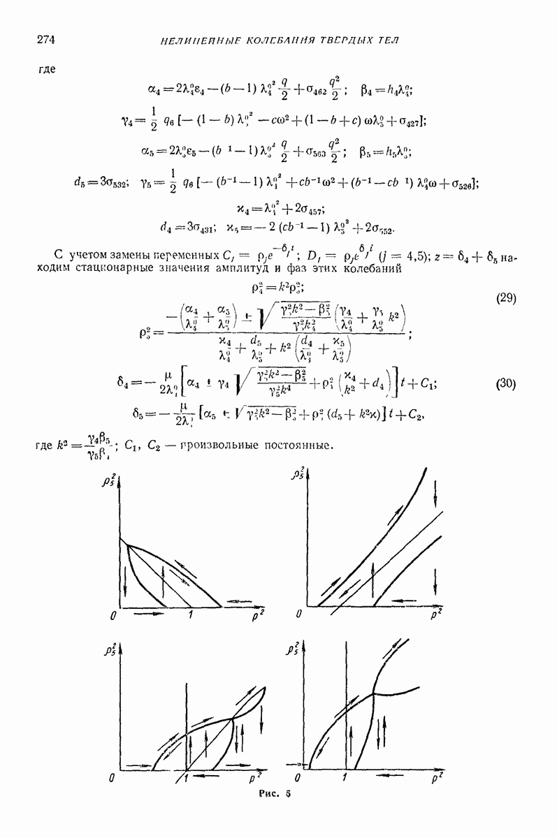
25
26
27
28
29
30
31
32
33
34
35
36
37
38
39
40
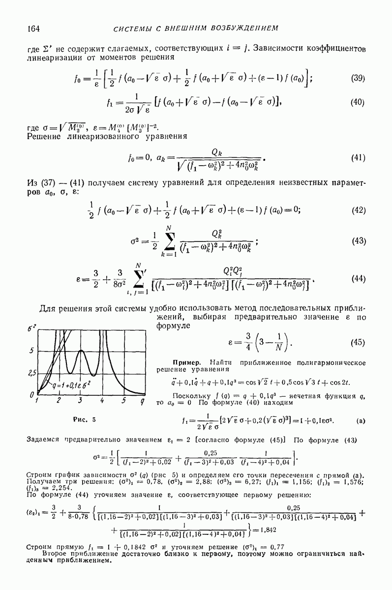
41
42
43
44
45
46
47
48
49
50
51
52
53
54
55
56
57
58
59
60
61
62
63
64
65
66
67
68
69
70
71
72
73
74
75
76
77
78
79
80
81
82
83
84
85
86
87
88
89
90
91
92
93
94
95
96
97
98
99
100
101
102
103
104
105
106
107
108
109
110
111
112
113
114
115
116
117
118
119
120
121
122
123
124
125
126
127
128
129
130
131
132
133
134
135
136
137
138
139
140
141
142
143
144
145
146
147
148
149
150
151
152
153
154
155
156
157
158
159
160
161
162
163
164
165
166
167
168
169
170
171
172
173
174
175
176
177
178
179
180
181
182
183
184
185
186
187
188
189
190
191
192
193
194
195
196
197
198
199
200
201
202
203
204
205
206
207
208
209
210
211
212
213
214
215
216
217
218
219
220
221
222
223
224
225
226
227
228
229
230
231
232
233
234
235
236
237
238
239
240
241
242
243
244
245
246
247
248
249
250
251
252
253
254
255
256
257
258
259
260
261
262
263
264
265
266
267
268
269
270
271
272
273
274
275
276
277
278
279
280
281
282
283
284
285
286
287
288
289
290
291
292
293
294
295
296
297
298
299
300
301
302
303
304
305
306
307
308
309
310
311
312
313
314
315
316
317
318
319
320
321
322
323
324
325
326
327
328
329
330
331
332
333
334
335
336
337
338
339
След.
Макеты страниц

Распознанный текст, спецсимволы и формулы могут содержать ошибки, поэтому с корректным вариантом рекомендуем ознакомиться на отсканированных изображениях учебника выше

Также, советуем воспользоваться поиском по сайту, мы уверены, что вы сможете найти больше информации по нужной Вам тематике

ДЛЯ СТУДЕНТОВ И ШКОЛЬНИКОВ ЕСТЬ
ZADANIA.TO

Глава XII. ВИБРОУДАРНЫЕ СИСТЕМЫ

1. ОБЩИЕ СВЕДЕНИЯ

Виброударной называют систему, совершающую колебательное движение, в процессе которого между ее отдельными звеньями происходят соударения.

Для многих типов машин (например, для всевозможных молотов, виброотбойных инструментов, машин для виброударных испытаний и т. п.) виброударные движения являются единственно возможными по условиям технологического процесса. Широко применяют методы внброгашения и виброизоляции, основанные на использовании эффекта соударений. Демпферы ударного действия просты по конструкции, надежны и эффективны в работе, особенно, если нужно погасить высокочастотные колебания.

Для ряда технологических процессов виброударные режимы при некоторых условиях оказываются более эффективными, чем чисто вибрационные. Это относится к строительным машинам, виброинструментам, транспортным устройствам, вибрационным просеивающим машинам (грохотам), к литейным машинам, виброплощадкам для уплотнения бетонной смеси и др.

Виброударным воздействиям часто подвергаются приборы, механизмы, передачи и устройства точной механики, работающие в сложных динамических условиях. Возникающие при этом динамические явления приходится рассматривать как неприятный, но неизбежный побочный эффект, сопутствующий нормальной работе устройства.

Соударения в кинематических парах приводят к возникновению динамических ошибок, к увеличению динамических нагрузок на звенья, снижают долговечность и надежность механизма, меняют его диссипативные свойства. Условия возникновения и устранения подобных режимов, вопросы их динамики и устойчивости приобретают все более важное значение. Решение указанных вопросов сводится к исследованию виброударных систем (ВУС) той или иной структуры.

Существенной структурной особенностью любой ВУС является наличие одной или нескольких ударных пар. Ударной парой называют совокупность двух звеньев системы, движущихся с соударениями, происходящими при определенных взаимных расположениях этих звеньев.

Эффект ударных взаимодействий в ВУС оценивают коэффициентом восстановления скорости при ударе. При этом как правило, считают, что времена соударений исчезающе малы по сравнению с периодом движения системы, а значение не зависит от скорости удара.

Величины скоростей соударяющихся звеньев до и после их соударения связаны теоремой импульсов

где

массы звеньев; их скорости соответственно до и после соударения.

Если для одного из звеньев (например, второго) то его скорость остается при соударении неизменной и для описания удара используют уравнение (2), которое в этом случае принимает вид

Звено бесконечной массы, движущееся по заданному закону, называют ударником. Если такое звено закреплено неподвижно (ограничитель), то используют (3) при

Ударные взаимодействия приводят к тому, что ВУС оказываются существенно нелинейными, поэтому возникает необходимость рассматривать их динамические модели, различающиеся не только числом степенен свободы, но и числом, а также структурой и геометрией ударных пар.

1
Оглавление
email@scask.ru