Главная > Линейная алгебра и некоторые ее приложения
НАПИШУ ВСЁ ЧТО ЗАДАЛИ
СЕКРЕТНЫЙ БОТ В ТЕЛЕГЕ
<< Предыдущий параграф Следующий параграф >>
Пред.
1
2
3
4
5
6
7
8
9
10
11
12
13
14
15
16
17
18
19
20
21
22
23
24
25
26
27
28
29
30
31
32
33
34
35
36
37
38
39
40
41
42
43
44
45
46
47
48
49
50
51
52
53
54
55
56
57
58
59
60
61
62
63
64
65
66
67
68
69
70
71
72
73
74
75
76
77
78
79
80
81
82
83
84
85
86
87
88
89
90
91
92
93
94
95
96
97
98
99
100
101
102
103
104
105
106
107
108
109
110
111
112
113
114
115
116
117
118
119
120
121
122
123
124
125
126
127
128
129
130
131
132
133
134
135
136
137
138
139
140
141
142
143
144
145
146
147
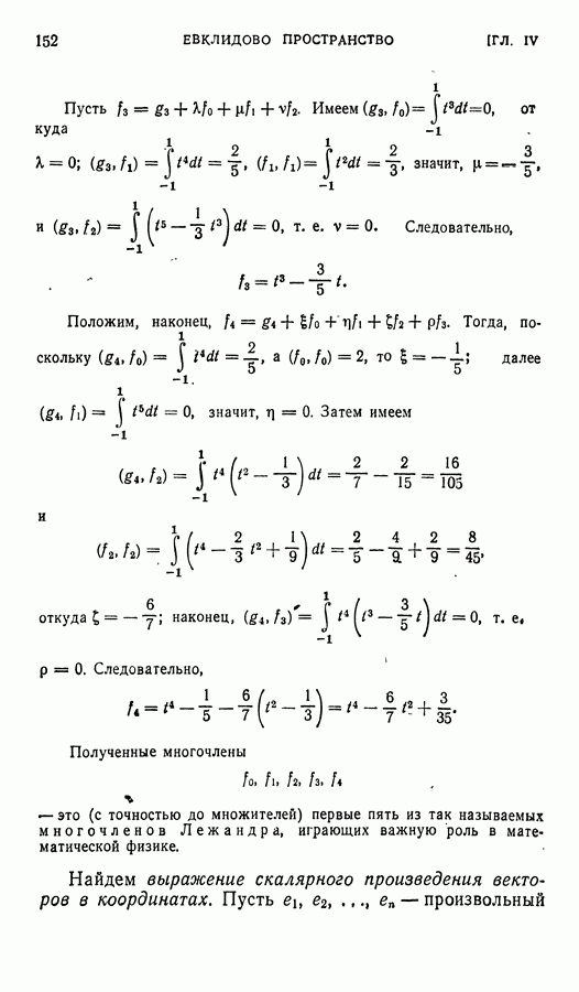
148
149
150
151
152
153
154
155
156
157
158
159
160
161
162
163
164
165
166
167
168
169
170
171
172
173
174
175
176
177
178
179
180
181
182
183
184
185
186
187
188
189
190
191
192
193
194
195
196
197
198
199
200
201
202
203
204
205
206
207
208
209
210
211
212
213
214
215
216
217
218
219
220
221
222
223
224
225
226
227
228
229
230
231
232
233
234
235
236
237
238
239
240
241
242
243
244
245
246
247
248
249
250
251
252
253
254
255
256
257
258
259
260
261
262
263
264
265
266
267
268
269
270
271
272
273
274
275
276
277
278
279
280
281
282
283
284
285
286
287
288
289
290
291
292
293
294
295
296
297
298
299
300
301
302
303
304
305
306
307
308
309
310
311
312
313
314
315
316
317
318
319
320
321
322
323
324
325
326
327
328
329
330
331
332
333
334
335
336
337
338
339
340
341
342
343
344
345
346
347
348
349
350
351
352
353
354
355
356
357
358
359
360
361
362
363
364
365
366
367
368
369
370
371
372
373
374
375
376
377
378
379
380
381
382
383
384
След.
Макеты страниц

Распознанный текст, спецсимволы и формулы могут содержать ошибки, поэтому с корректным вариантом рекомендуем ознакомиться на отсканированных изображениях учебника выше

Также, советуем воспользоваться поиском по сайту, мы уверены, что вы сможете найти больше информации по нужной Вам тематике

ДЛЯ СТУДЕНТОВ И ШКОЛЬНИКОВ ЕСТЬ
ZADANIA.TO

§ 5. Группа вращений тетраэдра T

Рассмотрим правильный тетраэдр Он переходит в себя при следующих нетождественных поворотах:

а) При поворотах вокруг каждой из осей типа (рис. 32, а), соединяющих вершину тетраэдра с

центром противолежащей грани, на углы и -у. Всего таких вращений имеется

б) При поворотах на угол вокруг каждой из трех прямых типа соединяющих середины противоположных ребер (рис. 32, б). [Так как . и то при повороте вокруг прямой на угол точка В перейдет в ]

Всего, вместе с тождественным поворотом, мы имеем поворотов, при которых тетраэдр переходит в себя. Им отвечают, очевидно, такие подстановки вершин:

Нетрудно убедиться в том, что все эти подстановки — четные (проверьте и значит, соответствующие им повороты действительно образуют группу Т, изоморфную, очевидней знакопеременной подгруппе симметрической группы

Условимся о такой терминологии. Если данная конфигурация переходит в себя при повороте вокруг оси на угол (причем наименьший такой ненулевой угол), то ось будем называть осью симметрии порядка.

Поворот вокруг оси на угол будем обозначать символом (часто и сама эта ось обозначается ччерез поворот на угол тогда естественно обозначить через с, и т. д.

Найдем теперь классы сопряженных элементов группы Т. Каждая из осей симметрии третьего порядка может быть преобразована в любую другую ось третьего порядка при повороте, например, вокруг одной из осей второго порядка. Так, при повороте вокруг оси (рис. 32, в) точка Лпереходит в — в и в А, Плоскость переходит плоскость

центр Р грани — в центр грани и ось — в ось

Таким образом, все оси третьего порядка (типа ) эквивалентны между собой, и все повороты вокруг них на углы -у между собой сопряжены. Число таких поворотов равно 4, и соответствующий классс сопряженных элементов можно обозначить через Точно так же сопряжены между собой и 4 поворота вокруг тех же осей на углы у; соответствующий класс можно обозначить через Но повороты не сопряжены между собой, так как это — повороты на разные углы.

Далее, каждая из осей второго порядка (типа переходит в любую другую при одном из поворотов вокруг осей третьего порядка; значит, все оси второго порядка между собой эквивалентны, и три поворота вокруг этих осей на угол между собой сопряжены. Этот класс можно обозначить через

Учитывая, что тождественное преобразование составляет отдельный класс, мы получим в группе Т четыре класса сопряженных элементов, состоящих из одного четырех четырех и трех элементов.

1
Оглавление
email@scask.ru