Главная > Статистический анализ временных рядов
НАПИШУ ВСЁ ЧТО ЗАДАЛИ
СЕКРЕТНЫЙ БОТ В ТЕЛЕГЕ
<< Предыдущий параграф Следующий параграф >>
Пред.
След.
Макеты страниц

Распознанный текст, спецсимволы и формулы могут содержать ошибки, поэтому с корректным вариантом рекомендуем ознакомиться на отсканированных изображениях учебника выше

Также, советуем воспользоваться поиском по сайту, мы уверены, что вы сможете найти больше информации по нужной Вам тематике

ДЛЯ СТУДЕНТОВ И ШКОЛЬНИКОВ ЕСТЬ
ZADANIA.TO

Глава 2. ИСПОЛЬЗОВАНИЕ РЕГРЕССИОННОГО АНАЛИЗА

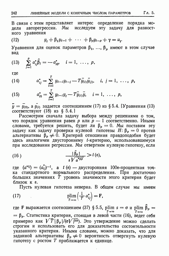
2.1. ВВЕДЕНИЕ

Значительную часть статистических методов, используемых при анализе временных рядов, представляют методы регрессионного анализа (классической теории наименьших квадратов) или их видоизменения и аналоги. Независимые переменные могут быть заданными функциями времени, например степенями переменной или тригонометрическими функциями от Сначала мы кратко опишем статистические процедуры в предположении некоррелированности случайных составляющих (§ 2.2 и 2.3). Соответствующие результаты будут использоваться при анализе тренда (гл. 3 и 4). Затем мы видоизменим эти процедуры применительно к произвольно коррелированным случайным составляющим, ковариационная матрица которых известна с точностью до постоянного множителя (§ 2.4).

В гл. 10 изучаются статистические процедуры, используемые при анализе тренда в предположении, что случайные составляющие образуют стационарный случайный процесс. При изложении регрессионного анализа определенное место уделяется асимптотической теории, которую можно использовать и при нарушении предположения о нормальном распределении случайных составляющих (§ 2.6).

Обобщения этих результатов полезны при оценивании коэффициентов стохастических разностных уравнений поскольку в этом случае точные распределения использовать не удается. Обобщения указанных результатов необходимы также, когда случайные составляющие образуют стационарный процесс более общего типа (§ 10.2).

1
Оглавление
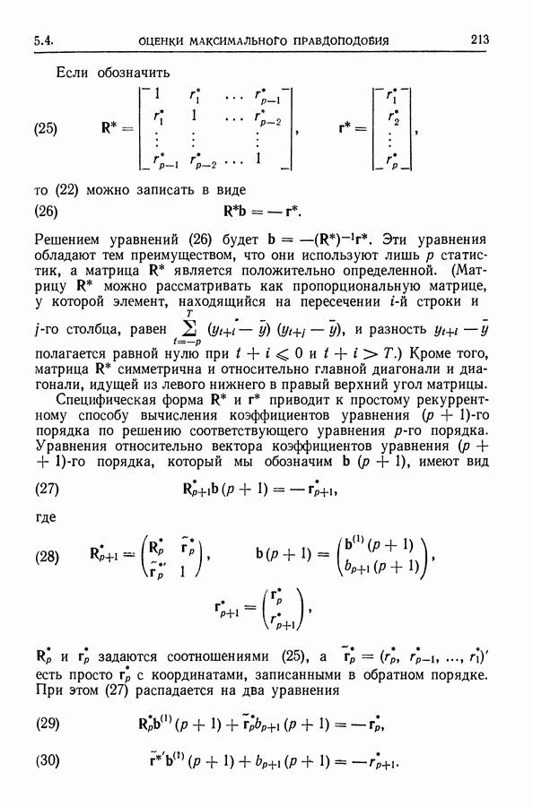
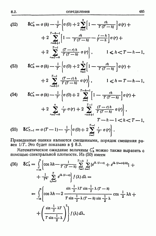
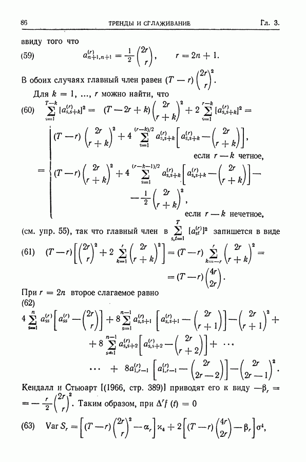
email@scask.ru