Главная > Теория автоматического регулирования. Книга 2
НАПИШУ ВСЁ ЧТО ЗАДАЛИ
СЕКРЕТНЫЙ БОТ В ТЕЛЕГЕ
<< Предыдущий параграф Следующий параграф >>
Пред.
След.
Макеты страниц

Распознанный текст, спецсимволы и формулы могут содержать ошибки, поэтому с корректным вариантом рекомендуем ознакомиться на отсканированных изображениях учебника выше

Также, советуем воспользоваться поиском по сайту, мы уверены, что вы сможете найти больше информации по нужной Вам тематике

ДЛЯ СТУДЕНТОВ И ШКОЛЬНИКОВ ЕСТЬ
ZADANIA.TO

ГЛАВА XIII. ОСНОВЫ АНАЛИЗА ДИСКРЕТНЫХ СИСТЕМ АВТОМАТИЧЕСКОГО РЕГУЛИРОВАНИЯ

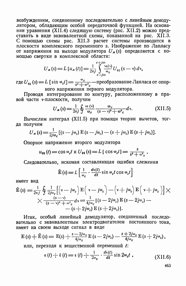
Системы автоматического регулирования, в которых возникают дискретные во времени сигналы, называются дискретными системами. В настоящее время достаточно хорошо разработаны методы расчета только таких дискретных систем, в которых можно выделить постоянный шаг квантования по времени (временной интервал дискретности) или по амплитуде (уровень квантования по амплитуде).

В настоящей главе рассмотрены методы анализа дискретных систем автоматического регулирования.

1. ПРИМЕРЫ ДИСКРЕТНЫХ СИСТЕМ АВТОМАТИЧЕСКОГО РЕГУЛИРОВАНИЯ

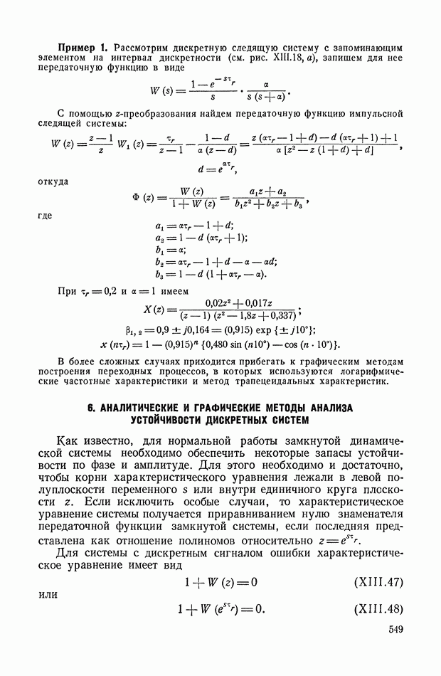
В качестве первого примера рассмотрим следящую систему импульсной радиолокационной станции, которую можно отнести к классической дискретной во времени системе. В импульсной радиолокационной станции дальность до цели измеряется по времени запаздывания отраженных от цели импульсов относительно импульсов передатчика (рис. XIII. 1). Если измерять в мксек, а дальность до цели D в м, то необходимая зависимость имеет вид

Можно считать, что информацией во входном сигнале системы являются дискретные значения дальности до цели, которые поступают с интервалом дискретности равным периоду импульсов, посылаемых передатчиком (если цель неподвижна). В дискриминаторе, который является измерительным элементом, происходит сравнение площадей перекрытия отраженного импульса первым и вторым полустробами (рис. XIII. 2, а). В зависимости от направления и величины смещения центра полустробов относительно середины отраженного импульса в дискриминаторе вырабатывается сигнал ошибки, зависимость которого относительно середины

(кликните для просмотра скана)

полустробов (в мксек или называется характеристикой дискриминатора (рис. XIII. 2, б). Тангенс угла наклона этой характеристики в начале координат называется крутизной характеристики дискриминатора. Сигнал ошибки после дискриминатора воздействует на исполнительное устройство, которое перемещает пол у стробы так, чтобы они делили площадь импульса пополам.

После дискриминатора сигнал ошибки появляется в виде двуполярных импульсов разной амплитуды (рис. XIII. 3, б). Постоянная составляющая этих импульсов дает сигнал ошибки системы. В связи с такой формой сигнала после дискриминатора в большинстве следящих систем по дальности устанавливается запоминающий или восстанавливающий элемент (рис. XIII. 3, а). В его простейшем исполнении каждое дискретное значение сигнала ошибки (разность площадей перекрытия импульса полустробами) запоминается до прихода следующего дискретного значения. Перед этим моментом времени предыдущий сигнал ошибки обнуляется и с приходом нового значения сигнала ошибки устанавливается новый уровень сигнала. Поэтому запоминающий элемент часто называют фиксирующим элементом. Каждое дискретное значение сигнала ошибки в таком элементе запоминается в виде прямоугольного импульса с шириной, равной периоду излучения импульсов передатчика.

Необходимость применения запоминающего элемента вызвана тем, что перед воздействием на непрерывную часть системы целесообразно восстанавливать соответствующий непрерывный сигнал из дискретного сигнала. Кроме того, постоянная составляющая сигнала ошибки после дискриминатора (рис. XIII, 3, б) пропорциональна скважности этих импульсов — — ширина импульсов). Такой сигнал обладает малой мощностью и, как правило, не в состоянии привести в действие исполнительный электродвигатель. Простейший способ повышения средней мощности такого сигнала состоит в увеличении ширины импульса до величины Это производится с помощью запоминающего элемента. Затем сигнал ошибки дополнительно усиливается специальным усилителем (рис. XIII. 3, а), пропускается через корректирующие звенья и подается на электродвигатель постоянного тока исполнительного устройства.

С осью вращения электродвигателя механически связан фазовращатель, питающийся синусоидальным напряжением нулевая фаза которого совпадает по времени с моментом излучения импульса передатчиком. Синусоидальное напряжение на выходе фазовращателя сдвинуто по фазе относительно питающего напряжения на угол поворота фазовращателя (рис. XIII. 3, б). После фазовращателя установлен специальный элемент, который формирует полустробы сопровождения так, чтобы их середина

совпадала с нулевой фазой синусоидального напряжения на выходе фазовращателя. Далее полустробы подаются на дискриминатор. Если в некоторый момент середина отраженного импульса не совпадает с серединой полустробов, то на выходе дискриминатора возникает сигнал ошибки такого знака, чтобы в результате поворота ротора фазовращателя долустробы перемещались в сторону уменьшения рассогласования. Таким образом, после окончания переходного процесса угол поворота пропорционален соответствующей дальности до цели.

Существуют следящие системы сопровождения по углам, работающие по такому же принципу, и рассмотренная выше система слежения по дальности.

Рис. XIII.4. Диаграммы направленности антенны при обзоре пространства: а — в вертикальной и б — в горизонтальной плоскостях

Рис. ХIII.5. Сигналы и характеристики следящей системы по углу: а — пачка отраженных импульсов; б — наложение полустробов на огибающую пачки; в — зависимость сигнала ошибки от смещения полустробов относительно середины пачки

При этом для определения угловой координаты по азимуту осуществляют строго равномерное вращение луча, узкого в горизонтальной и широкого в вертикальной плоскостях вокруг вертикальной оси (рис. XIII. 4). При пересечении лучом цели на выходе приемника станции получается «пачка» импульсов, огибающая которой повторяет форму диаграммы направленности в горизонтальной плоскости (рис. XIII. 5). Если цель неподвижна, то пачки импульсов (рис. XIII. 6) приходят с постоянным периодом который определяется периодом вращения луча (в простейшем случае они просто равны друг другу). Если замерить временной интервал между серединой пачки отраженных импульсов и опорным импульсом, который генерируется в момент прохождения лучом некоторого нулевого направления (например, соответствующего значению азимута

то это время будет пропорционально азимуту при постоянной скорости вращения луча:

где - угловая скорость вращения луча;

— азимут цели и азимут опорного направления, при котором генерируется опорный импульс;

— моменты времени, соответствующие середине пачки и опорному импульсу.

Следящая система определения угловой координаты в такой радиолокационной станции имеет структуру, аналогичную следящей системы по дальности [6].

Рис. XIII.6. Входной сигнал следящей системы по углам: а — реальный сигнал; б — модель сигнала

С помощью детектора выделяется огибающая пачка отраженных импульсов. Система двух полустробов позволяет определить временное положений середины пачки отраженных импульсов относительно опорных импульсов. В отличие от автодальномера полустробы раздвинуты один относительно другого примерно на ширину полустроба, так как пачка широкая (составляет 1—2 град или несколько мсек) с плоской вершиной (рис. XIII. 5). Опорное синусоидальное напряжение (аналогичное сигналу автодальномера) вырабатывается с помощью специального генератора опорных напряжений, ротор которого жестко связан с осью вращения луча. Для получения второй угловой координаты цели в вертикальной плоскости (угла места ) осуществляется вторая точно такая же система, в которой луч имеет узкую диаграмму направленности в вертикальной плоскости и широкую в наклонной плоскости. Вращение луча производится с постоянной скоростью относительно горизонтальной оси.

В качестве второго примера дискретной системы управления рассмотрим систему командного наведения ракетой по

трехточечному методу [5], [10]. При этом методе наведения ракеты на цель необходимо удерживать ракету на линии, которая соединяет точку стояния радиолокатора, определяющего координаты цели, и цель.

Блок-схема одного канала двухканальной системы управления ракетой приведена на рис. XIII. 7. Она состоит из канала управления в вертикальной плоскости (по высоте, по углу тангажа) и канала управления в наклонной плоскости (по курсу, по боковому смещению). Учитывая симметричность каналов, рассмотрим только один вертикальный канал управления.

На вход системы управления поступает с угловой следящей системы цели (ССЦ) измеренное приборное значение угла места цели а по каналу обратной связи — измеренное следящей системой ракеты приборное значение угла места ракеты

Рис. XIII.7. Структурная схема системы управления ракетой

В сравнивающем звене системы эти две величины вычитаются.

Основное назначение системы управления ракетой при методе трех точек состоит в том, чтобы поддерживать с максимальной точностью равенство приборных значений угловых координат цели и ракеты:

Сигнал угловой ошибки подается на вход счетно-решающего прибора где он прежде всего переводится в линейную меру, путем умножения на текущую дальность до ракеты. Кроме того, в СРП выполняются необходимая коррекция частотных характеристик системы для обеспечения устойчивой работы и фильтрация сигналов для получения необходимой точности. На выходе СРП появляется уже сформированная команда управления для отклонения в нужном направлении и на соответствующую величину рулей ракеты. Этот сигнал поступает на вход станции передачи команд Последнее устройство предназначено для кодирования команд, поступающих с выхода и преобразования их в радиосигналы. В большинстве случаев используют один передатчик команд, генерирующий высокочастотные колебания, которые модулируются кодами команд

с дискретным интервалом Дискретность во времени объясняется двумя причинами: во-первых, применением импульсного кодирования и, во-вторых, значительным числом команд, которые необходимо последовательно передать на борт ракеты. На борту эти сигналы расшифровываются и преобразуются в напряжение постоянного тока, с помощью которого производится управление рулевой машиной, отклоняющей рули ракеты на угол . Все эти устройства на схеме объединены в блоке борта

Особенность ракеты как объекта управления состоит в том, что угол отклонения рулей вызывает соответствующее поперечное ускорение ракеты в определенной плоскости управления

В установившемся состоянии это ускорение пропорционально величине отклонения рулей

где — коэффициент усиления ракеты по ускорению.

Замыкание системы командного наведения ракеты осуществляется с помощью уравнений связи [называемыми кинематическими уравнениями, или кинематическими звеньями Тогда поперечное ускорение пересчитывается в угол места ракеты

В рассмотренной системе дискретные во времени сигналы могут, встретиться, по крайней мере, в четырех местах. Соответственно с этим рассматривают три или более расчетные структурные схемы дискретных во времени систем или их различные комбинации. Система управления ракетой может стать дискретной, если для определения угловых координат цели и ракеты используются дискретные системы с линейным обзором пространства лучом радиолокационной станции. Далее система может быть дискретной по времени и амплитуде, когда используется цифровая вычислительная машина в качестве СРП и дискретные сигналы передаются на борт ракеты.

Рассмотрим дискретную систему, в которой используется двоичный код. При этом команда с выхода СРП преобразуется в двоичное число, представляющее последовательность импульсов (рис. XIII. 8). Некоторые из этих импульсов служат для шифрования команды (чтобы разделить, например, команды каналов), остальные импульсы предназначены для передачи величины команды.

На рис. XIII. 8, б приведена последовательность импульсов, закодированных в двоичном коде. При этом импульсы разделения команд опущены, так как они обычно следуют в начале кодовой посылки. Кодовые импульсы следуют последовательно, начиная с младшего разряда. Последний разряд указывает на знак команды. В начале и конце кодовой группы подается маркерный импульс для разделения разных кодовых посылок.

При этом неизбежно появляется дискретность по времени и амплитуде (рис. XIII. 8, а). На борту ракеты каждая кодовая посылка импульсов расшифровывается и превращается в ступенчатое напряжение (рис. XIII. 8, д). Как видно из рис. XIII. 8, г, при таком кодировании всегда появляется чистое запаздывание, равное длительности кодовой группы.

Рис. XIII.8. Сигналы в канале передачи команд для цифрового кодирования: а — сигнал на выходе СРП; б — дискретный по времени и амплитуде сигнал на входе СПК; в — последовательность кодированных импульсов; г — декодированные значения сигнала на борту ракеты (без учета запаздывания на время распространения радиосигнала); д — ступенчатый сигнал команды на борту ракеты

1
Оглавление
email@scask.ru