Главная > Математический анализ. Часть I. (Зорич В.А.)
НАПИШУ ВСЁ ЧТО ЗАДАЛИ
СЕКРЕТНЫЙ БОТ В ТЕЛЕГЕ
<< Предыдущий параграф Следующий параграф >>
Пред.
1
2
3
4
5
6
7
8
9
10
11
12
13
14
15
16
17
18
19
20
21
22
23
24
25
26
27
28
29
30
31
32
33
34
35
36
37
38
39
40
41
42
43
44
45
46
47
48
49
50
51
52
53
54
55
56
57
58
59
60
61
62
63
64
65
66
67
68
69
70
71
72
73
74
75
76
77
78
79
80
81
82
83
84
85
86
87
88
89
90
91
92
93
94
95
96
97
98
99
100
101
102
103
104
105
106
107
108
109
110
111
112
113
114
115
116
117
118
119
120
121
122
123
124
125
126
127
128
129
130
131
132
133
134
135
136
137
138
139
140
141
142
143
144
145
146
147
148
149
150
151
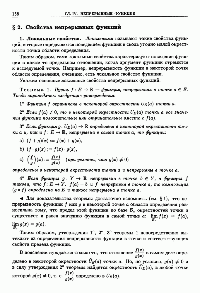
152
153
154
155
156
157
158
159
160
161
162
163
164
165
166
167
168
169
170
171
172
173
174
175
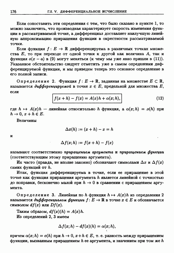
176
177
178
179
180
181
182
183
184
185
186
187
188
189
190
191
192
193
194
195
196
197
198
199
200
201
202
203
204
205
206
207
208
209
210
211
212
213
214
215
216
217
218
219
220
221
222
223
224
225
226
227
228
229
230
231
232
233
234
235
236
237
238
239
240
241
242
243
244
245
246
247
248
249
250
251
252
253
254
255
256
257
258
259
260
261
262
263
264
265
266
267
268
269
270
271
272
273
274
275
276
277
278
279
280
281
282
283
284
285
286
287
288
289
290
291
292
293
294
295
296
297
298
299
300
301
302
303
304
305
306
307
308
309
310
311
312
313
314
315
316
317
318
319
320
321
322
323
324
325
326
327
328
329
330
331
332
333
334
335
336
337
338
339
340
341
342
343
344
345
346
347
348
349
350
351
352
353
354
355
356
357
358
359
360
361
362
363
364
365
366
367
368
369
370
371
372
373
374
375
376
377
378
379
380
381
382
383
384
385
386
387
388
389
390
391
392
393
394
395
396
397
398
399
400
401
402
403
404
405
406
407
408
409
410
411
412
413
414
415
416
417
418
419
420
421
422
423
424
425
426
427
428
429
430
431
432
433
434
435
436
437
438
439
440
441
442
443
444
445
446
447
448
449
450
451
452
453
454
455
456
457
458
459
460
461
462
463
464
465
466
467
468
469
470
471
472
473
474
475
476
477
478
479
480
481
482
483
484
485
486
487
488
489
490
491
492
493
494
495
496
497
498
499
500
501
502
503
504
505
506
507
508
509
510
511
512
513
514
515
516
517
518
519
520
521
522
523
524
525
526
527
528
529
530
531
532
533
534
535
536
537
538
539
540
541
542
543
544
545
546
547
548
549
550
След.
Макеты страниц

Распознанный текст, спецсимволы и формулы могут содержать ошибки, поэтому с корректным вариантом рекомендуем ознакомиться на отсканированных изображениях учебника выше

Также, советуем воспользоваться поиском по сайту, мы уверены, что вы сможете найти больше информации по нужной Вам тематике

ДЛЯ СТУДЕНТОВ И ШКОЛЬНИКОВ ЕСТЬ
ZADANIA.TO

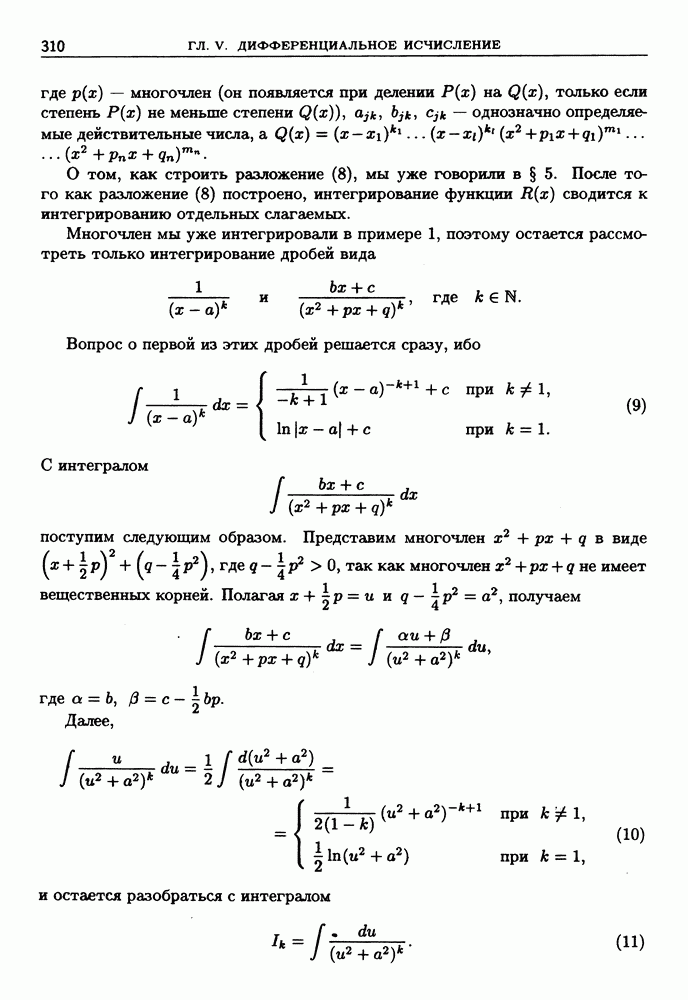
2. Основные общие приемы отыскания первообразной.

В соответствии с определением символа (1) неопределенного интеграла, он обозначает функцию, производная которой равна подынтегральной функции. Исходя из этого определения, с учетом соотношения (2) и законов дифференцирования можно утверждать, что справедливы следующие соотношения:

с. Если на некотором промежутке

— гладкое непрерывно дифференцируемое) отображение промежутка в то

Равенства (5), (6), (7) проверяются прямым дифференцированием их левой и правой частей с использованием в (5) линейности дифференцирования, в (6) правила дифференцирования произведения и в (7) правила дифференцирования композиции функций.

Подобно правилам дифференцирования, позволяющим дифференцировать линейные комбинации, произведения и композиции уже известных функций, соотношения (5), (6), (7), как мы увидим, позволяют в ряде случаев сводить отыскание первообразной данной функции либо к построению первообразных более простых функций, либо вообще к уже известным первообразным. Набор таких известных первообразных может составить, например, следующая краткая таблица неопределенных интегралов, полученная переписыванием таблицы производных основных элементарных функций (см. § 2, п. 3):

Каждая из этих формул рассматривается на тех промежутках вещественной оси на которых определена соответствующая подынтегральная функция. Если таких промежутков несколько, то постоянная с в правой части может меняться от промежутка к промежутку.

Рассмотрим теперь некоторые примеры, показывающие соотношения (5), (6) и (7) в работе.

Сделаем предварительно следующее общее замечание.

Поскольку, найдя одну какую-нибудь первообразную заданной на промежутке функции, остальные можно получить добавлением постоянных, то условимся для сокращения записи всюду в дальнейшем произвольную постоянную добавлять только к окончательному результату, представляющему из себя конкретную первообразную данной функции.

а. Линейность неопределенного интеграла.

Этот заголовок должен означать, что в силу соотношения (5) первообразную от линейной комбинации функций можно искать как линейную комбинацию первообразных этих функций.

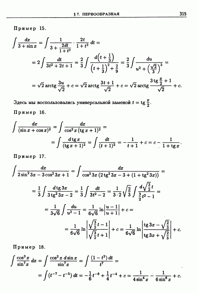
Пример 3.

Пример 4.

Пример 5.

b. Интегрирование по частям.

Формулу (6) можно переписать в виде

или, что то же самое, в виде

Это означает, что при отыскании первообразной функции дело можно свести к отысканию первообразной функции перебросив дифференцирование на другой сомножитель и частично проинтегрировав функцию, как показано в выделив при этом член Формулу (6) называют формулой интегрирования по частям.

Пример 6.

Пример 7.

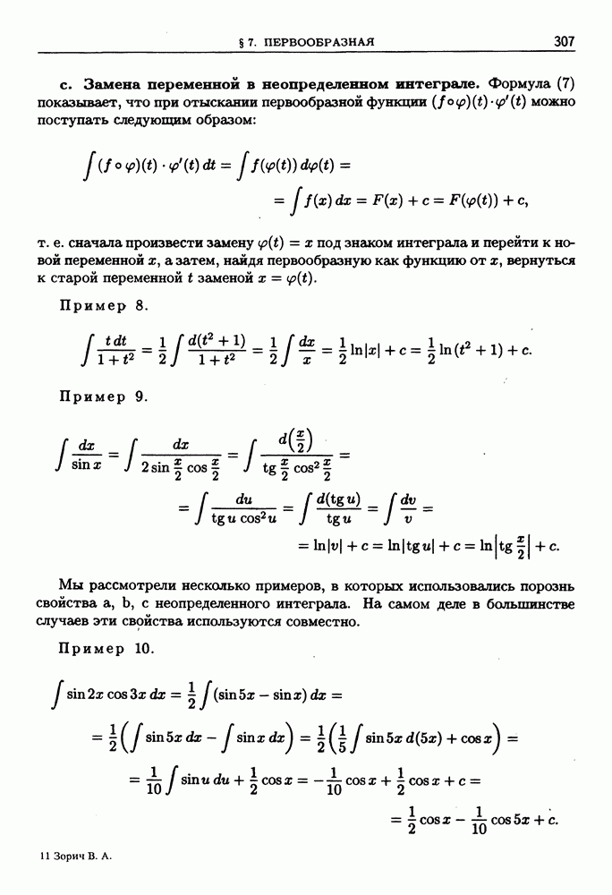
с. Замена переменной в неопределенном интеграле.

Формула (7) показывает, что при отыскании первообразной функции можно поступать следующим образом:

т. e. сначала произвести замену под знаком интеграла и перейти к новой переменной затем, найдя первообразную как функцию от х, вернуться к старой переменной заменой

Пример 8.

Пример 9.

Мы рассмотрели несколько примеров, в которых использовались порознь свойства с неопределенного интеграла. На самом деле в большинстве случаев эти свойства используются совместно.

Пример 10.

Пример 11.

Пример 12.

Из полученного равенства заключаем, что

К этому результату можно было бы прийти, воспользовавшись формулой Эйлера и тем обстоятельством, что первообразной функции является функция

Это полезно иметь в виду и в будущем. При вещественном х это легко проверить непосредственно, продифференцировав действительную и мнимую части функции

В частности, отсюда получаем также, что

Уже этот небольшой набор разобранных примеров показывает, что при отыскании первообразных даже элементарных функций часто приходится прибегать к дополнительным преобразованиям и ухищрениям, чего совсем

не было при отыскании производных композиции тех функций, производные которых нам были известны. Оказывается, это не случайная трудность. Например, в отличие от дифференцирования, переход к первообразной элементарной функции может привести к функции, которая уже не является композицией элементарных. Поэтому не следует отождествлять фразу «найти первообразную» с невыполнимым порой заданием «выразить первообразную данной элементарной функции через элементарные функции». Вообще, класс элементарных функций — вещь очень условная. Имеется еще много важных для приложений специальных функций, которые изучены и затабулированы ничуть не хуже, чем, скажем, или функции, которая стремится к нулю при Такая первообразная существует, но, как и любая другая первообразная функции она не является композициеи элементарных функций.

Аналогично, функция

выделяемая условием при не является элементарной. Функция называется интегральным косинусом.

Первообразная функции также неэлементарна. Одна из первообразных этой функции обозначается символом И х и называется интегральным логарифмом. Она удовлетворяет условию при (Подробнее о специальных функциях Их будет сказано в гл. VI, § 5.)

Учитывая эти трудности отыскания первообразных, составлены довольно обширные таблицы неопределенных интегралов. Однако, чтобы успешно ими воспользоваться или чтобы не прибегать к ним, если вопрос совсем прост, необходимо иметь некоторые навыки обращения с неопределенными интегралами.

Дальнейшая часть этого параграфа посвящена интегрированию функций из некоторых специальных классов, первообразные которых выражаются в виде композиции элементарных функций.

1
Оглавление
email@scask.ru