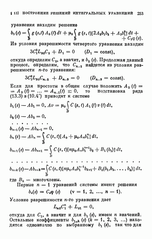
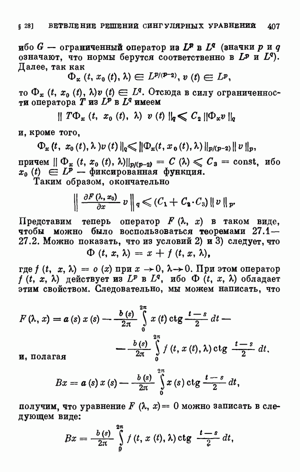
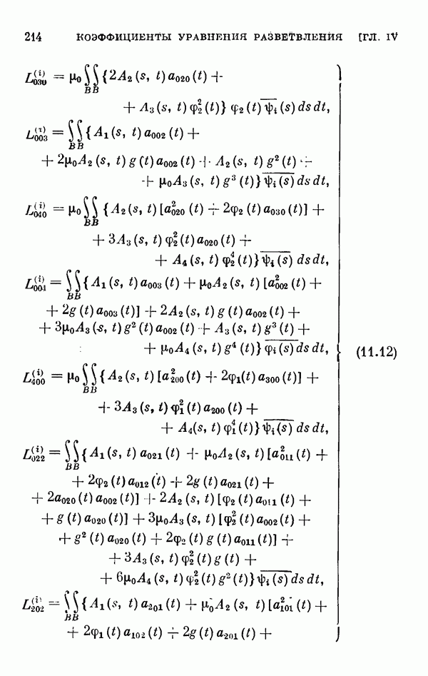
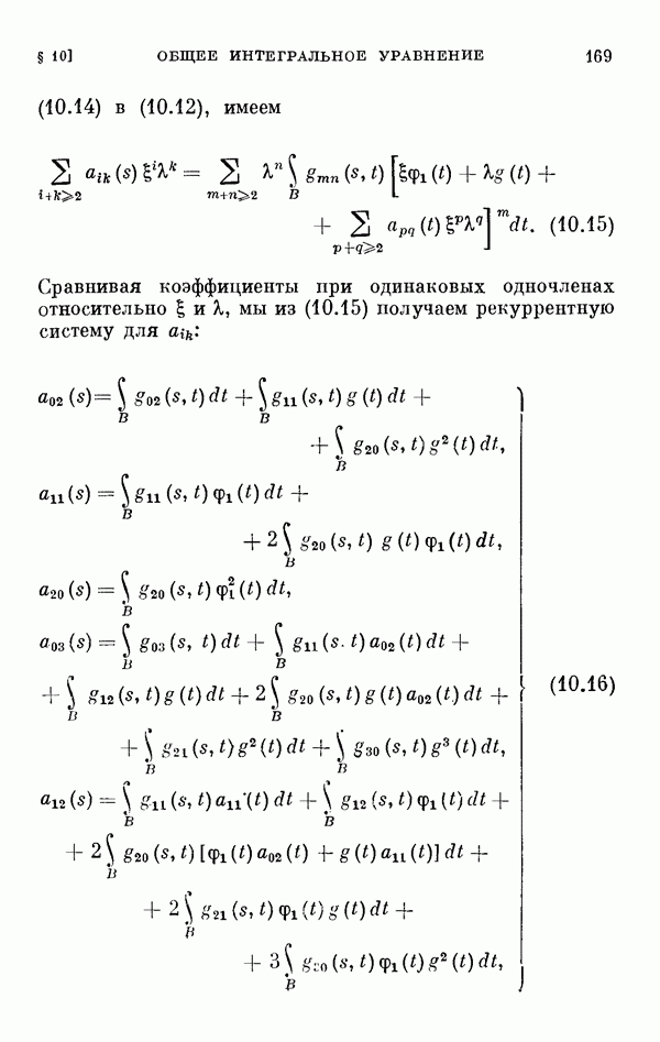
Главная > Теория ветвления решений нелинейных уравнений
НАПИШУ ВСЁ ЧТО ЗАДАЛИ
СЕКРЕТНЫЙ БОТ В ТЕЛЕГЕ
<< Предыдущий параграф Следующий параграф >>
Пред.
След.
Макеты страниц

Распознанный текст, спецсимволы и формулы могут содержать ошибки, поэтому с корректным вариантом рекомендуем ознакомиться на отсканированных изображениях учебника выше

Также, советуем воспользоваться поиском по сайту, мы уверены, что вы сможете найти больше информации по нужной Вам тематике

ДЛЯ СТУДЕНТОВ И ШКОЛЬНИКОВ ЕСТЬ
ZADANIA.TO

35.4. Круглая пластина с нулевой внешней нагрузкой.

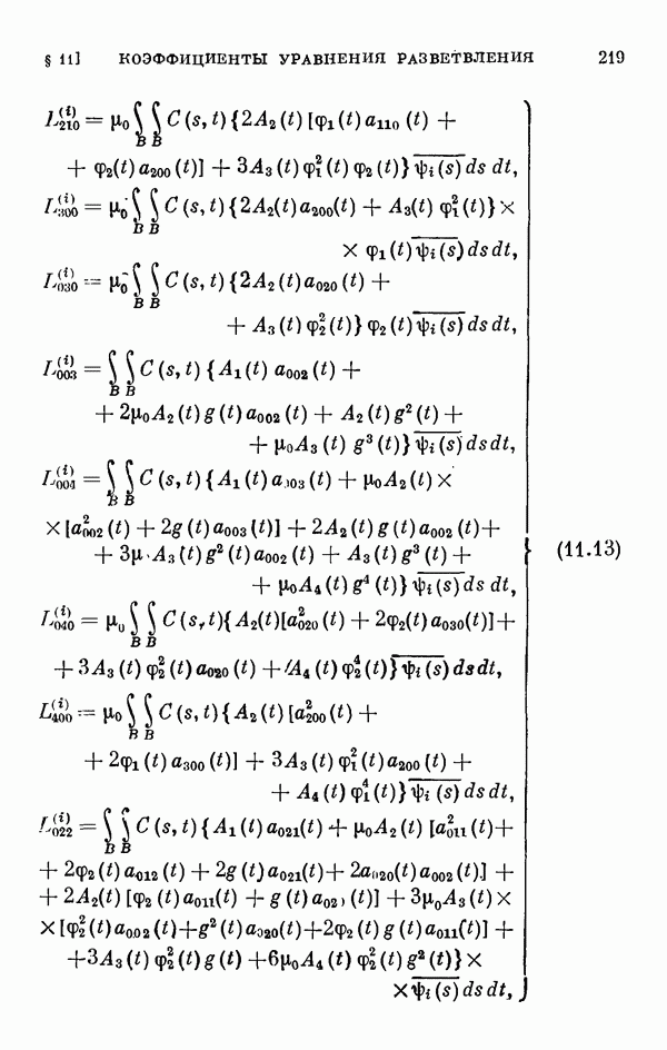
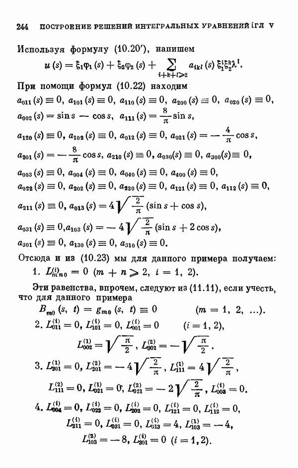
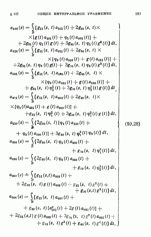
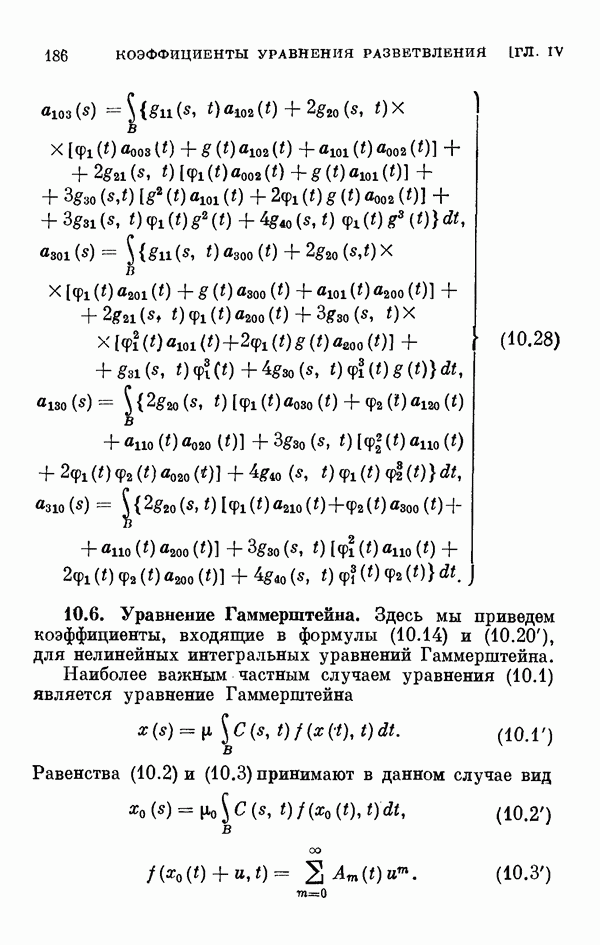
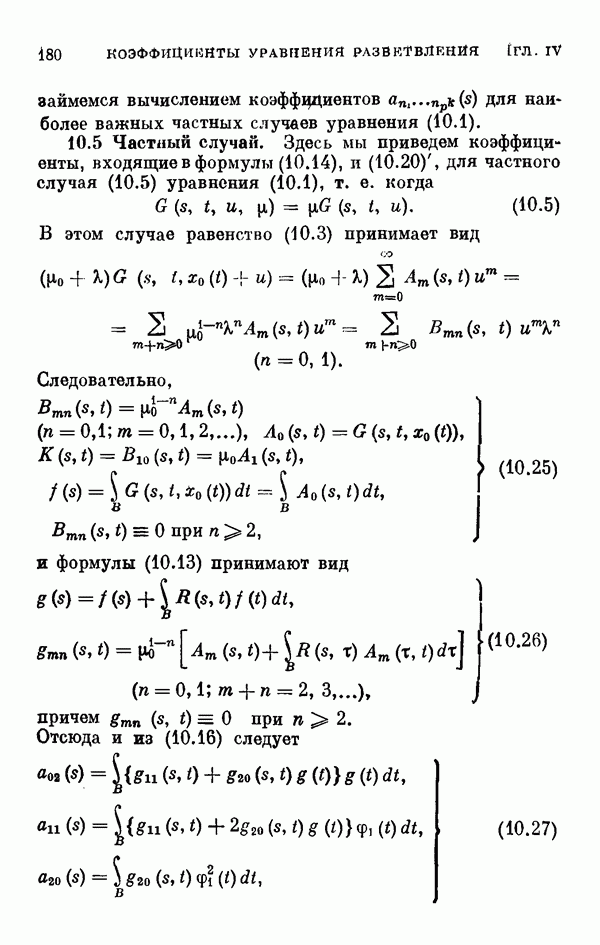
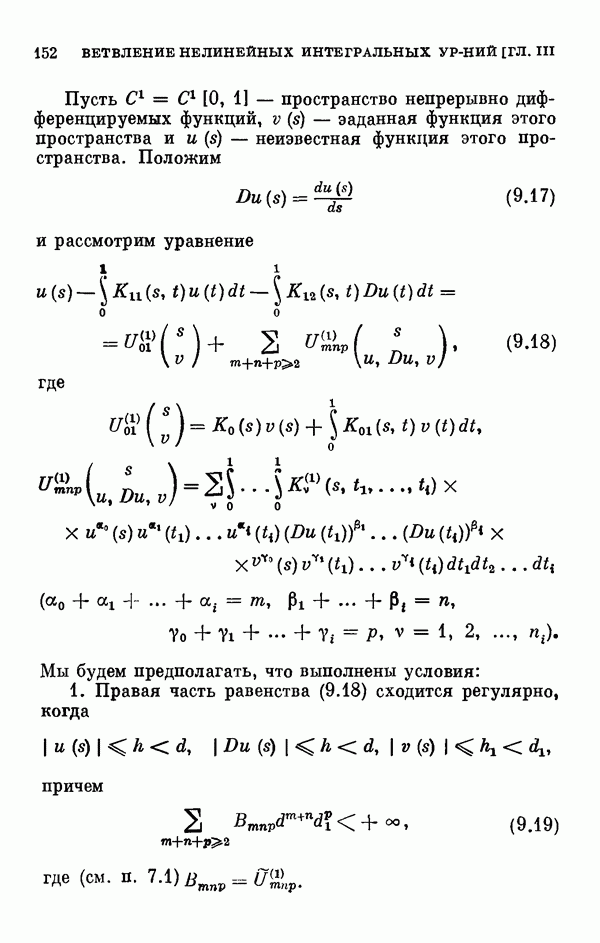
Рассмотрим частный случай, когда в системе (35.4) отсутствует внешняя нагрузка, т. е. Здесь рассуждения значительно упрощаются. Задача (35.6) допускает тривиальное решение, вследствие чего коэффициенты уравнения разветвления

После сокращения уравнения разветвления на получим новое уравнение, которое с точностью до главных членов (см. (35.6)) имеет вид

причем мы видели, что

Таким образом, ситуация здесь такая же, как и в § 34: каждое служит точкой ветвления тривиального решения задачи, от которого при ответвляется

всякий раз два новых малых нетривиальных решения. Эти решения можно найти методом неопределенных коэффициентов в виде рядов по степеням . В частности, в первом приближении имеем

1
Оглавление
email@scask.ru