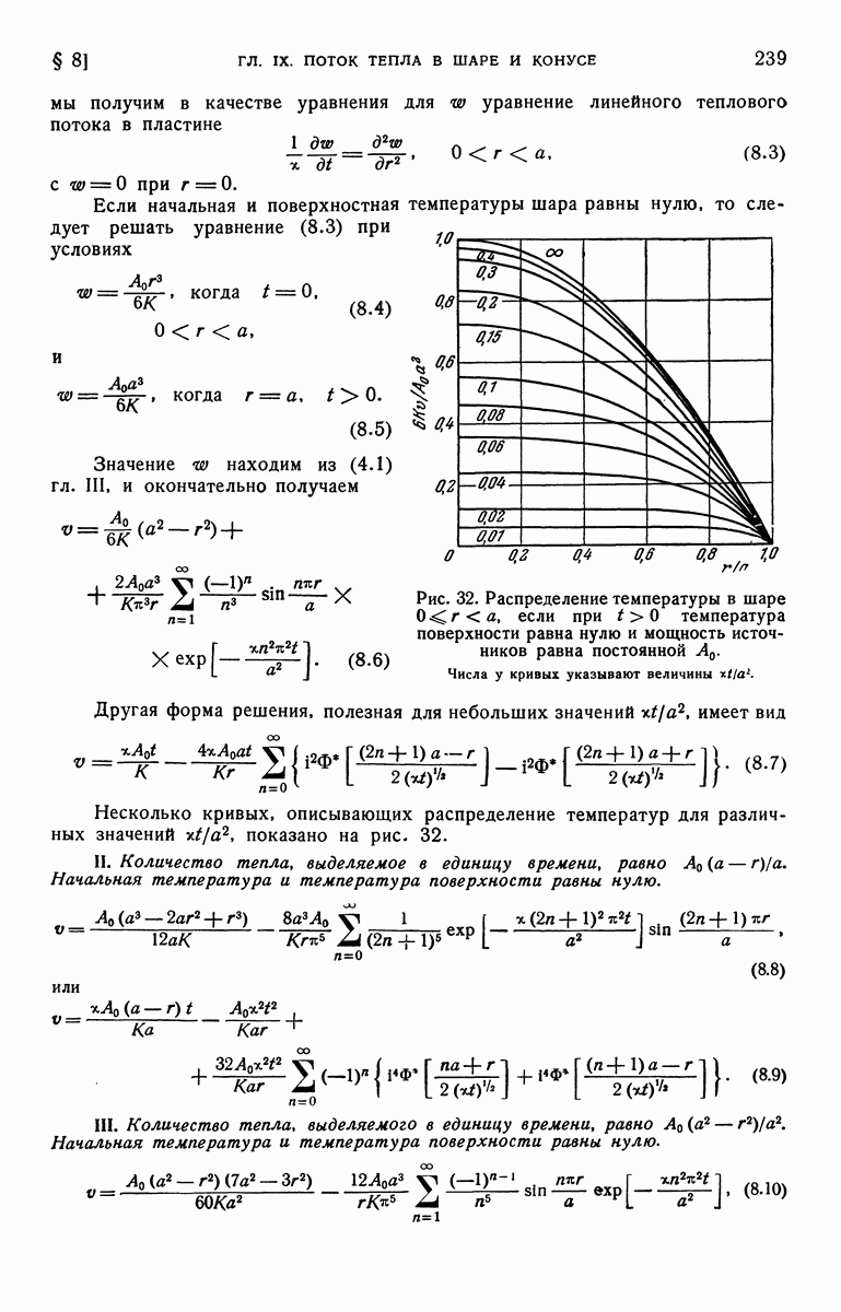
Главная > Теплопроводность твердых тел
НАПИШУ ВСЁ ЧТО ЗАДАЛИ
СЕКРЕТНЫЙ БОТ В ТЕЛЕГЕ
<< Предыдущий параграф Следующий параграф >>
Пред.
След.
Макеты страниц

Распознанный текст, спецсимволы и формулы могут содержать ошибки, поэтому с корректным вариантом рекомендуем ознакомиться на отсканированных изображениях учебника выше

Также, советуем воспользоваться поиском по сайту, мы уверены, что вы сможете найти больше информации по нужной Вам тематике

ДЛЯ СТУДЕНТОВ И ШКОЛЬНИКОВ ЕСТЬ
ZADANIA.TO

§ 3. Полуограниченный стержень. Случай установившейся температуры. Метод Форбса

Если в плоскости полуограниченного стержня поддерживается постоянная температура то решение уравнения для установившегося теплового потока

принимает вид

Это решение можно использовать для стержня конечной длины при условии, что величина велика. Если рассматриваются стержни из различных металлов с поверхностями, обработанными таким образом, что все они будут иметь одинаковые значения то сравнение температур различных стержней позволит получить отношения их коэффициентов теплопроводности. Подобные методы имеют тот недостаток, что они дают только относительные значения коэффициентов теплопроводности; кроме того, трудно обеспечить равенство значений для различных стержней.

Классические опыты Форбса (см. [3], стр. 98, [4], стр. 454, [5], § 301. [11, 48]) позволили создать интересный метод определения коэффициента теплопроводности одиночного стержня. Пусть один конец полуограниченного стержня поддерживается при постоянной температуре до тех пор, пока тепловой поток в нем не установится. В этом случае количество тепла, протекающее вдоль стержня в единицу времени через сечение, находящееся на расстоянии х от нагреваемого конца, равно

где площадь поперечного сечения стержня. Эта величина должна равняться всему количеству тепла, теряемому в единицу времени находящейся справа за этим сечением частью стержня, т. е.

где периметр сечения стержня и количество тепла, теряемое в единицу времени с поверхности стержня, имеющего температуру Форбс провел две независимые серии экспериментов: в первой серии он численно определял величину в выражении (3.2) из данных о температуре в ряде точек вдоль стержня; во второй серии экспериментов он определял величину в выражении (3.3), нагревая другой стержень, подобный первому, до постоянной температуры и затем охлаждая его при тех же условиях; при этом температура стержня измерялась в функции времени; тогда можно найти численное значение

как функцию от Это позволило оценить численную величину интеграла в выражении (3.3). Приравнивая выражения (3.2) и (3.3), можно получить значение Следует отметить, что данный метод носит весьма общий характер и в нем не предполагается, что К или не зависят от ; кроме того, в этом методе не используется никакое частное решение уравнения теплопроводности. Таким способом Форбс определил коэффициент теплопроводности железа в зависимости от температуры.

1
Оглавление
email@scask.ru