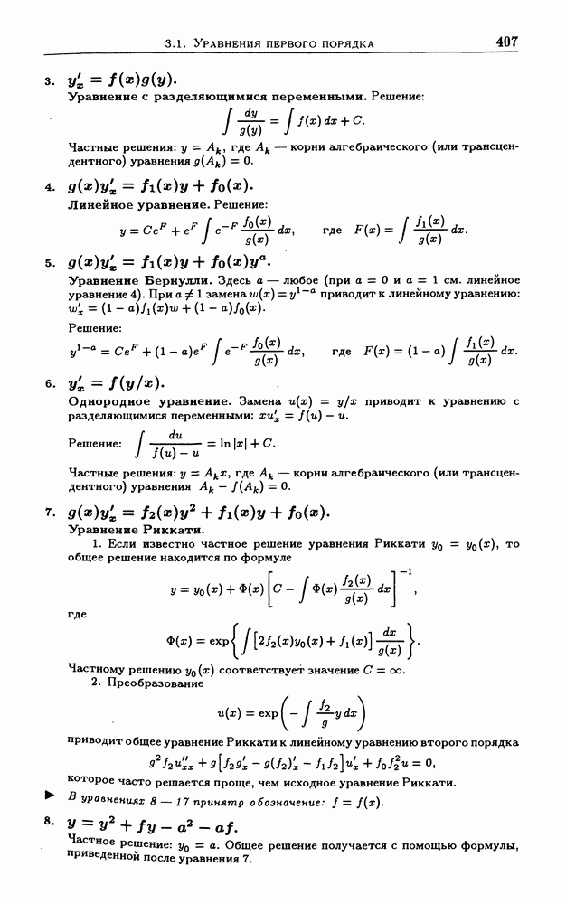
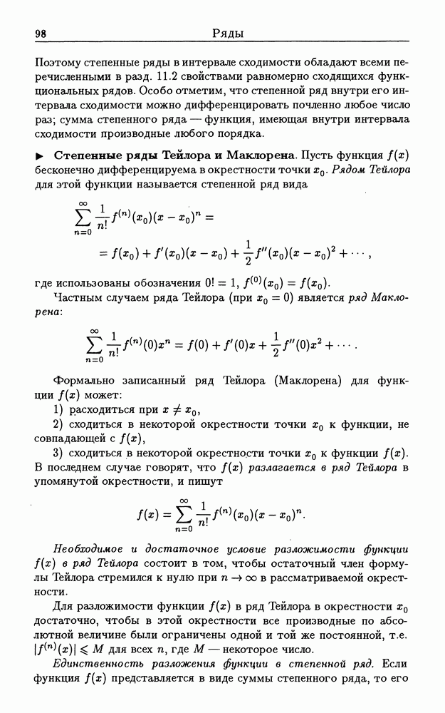
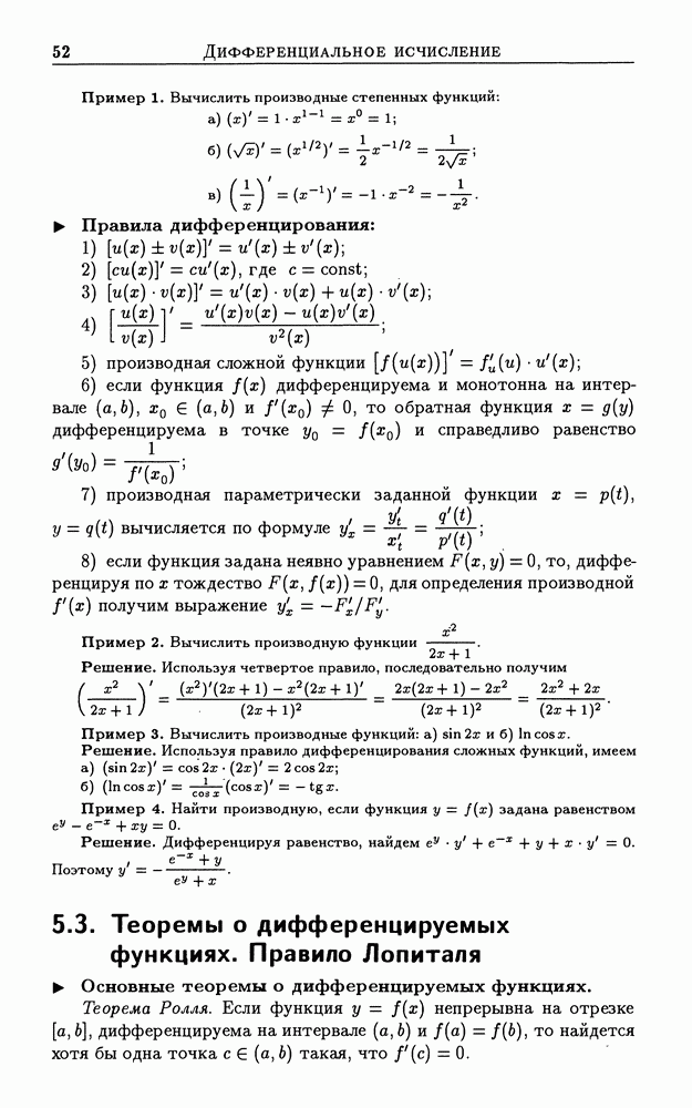
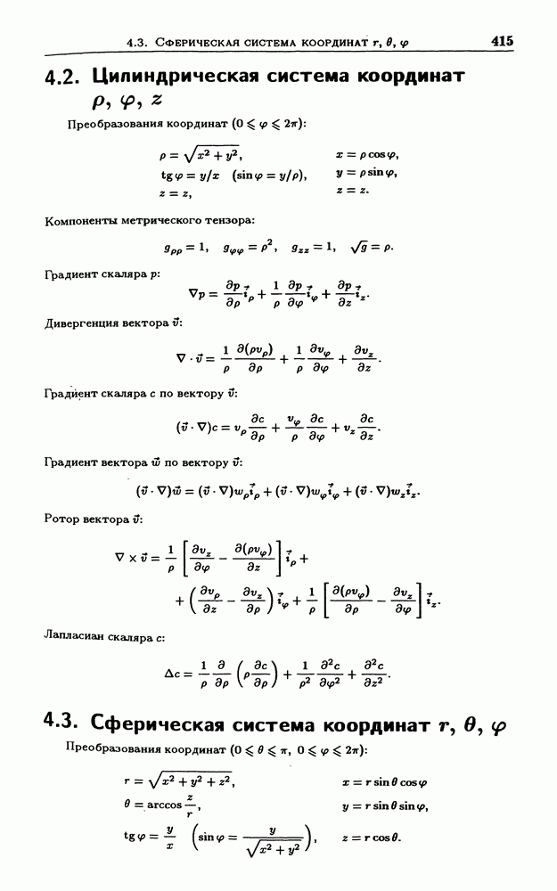
Главная > Краткий справочник для инженеров и студентов
НАПИШУ ВСЁ ЧТО ЗАДАЛИ
СЕКРЕТНЫЙ БОТ В ТЕЛЕГЕ
<< Предыдущий параграф Следующий параграф >>
Пред.
След.
Макеты страниц

Распознанный текст, спецсимволы и формулы могут содержать ошибки, поэтому с корректным вариантом рекомендуем ознакомиться на отсканированных изображениях учебника выше

Также, советуем воспользоваться поиском по сайту, мы уверены, что вы сможете найти больше информации по нужной Вам тематике

ДЛЯ СТУДЕНТОВ И ШКОЛЬНИКОВ ЕСТЬ
ZADANIA.TO

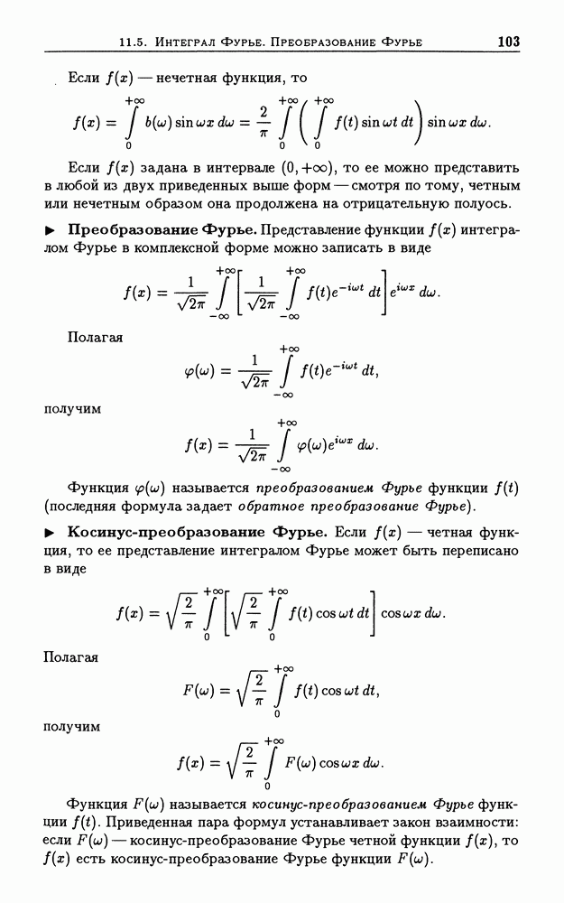
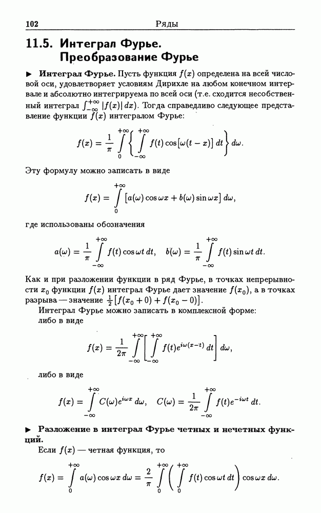
3.4. Теорема Гаусса

Поток вектора напряженности. Потоком вектора напряженности через маленький плоский участок площадью называется

где — вектор нормали к плоскости, — угол между — проекция Е на направление нормали. Знак зависит от выбора направления нормали. Поток вектора напряженности через поверхность конечных размеров определяется как

В случае замкнутой поверхности направление нормали выбирается в сторону внешнего пространства.

Аддитивность потока: если электростатическое поле является суперпозицией двух полей то для любой поверхности

Поток вектора напряженности, создаваемый точечным зарядом через площадку равен

где — проекция на плоскость, перпендикулярную — телесный угол, под которым площадка видна от заряда знак соответствует острому углу между а знак тупому углу. Поток через замкнутую поверхность равен если заряд находится внутри этой поверхности, и нулю — если снаружи.

Теорема Гаусса. Поток вектора напряженности электростатического поля через замкнутую поверхность выражается через полный заряд внутри этой поверхности (охватываемый поверхностью):

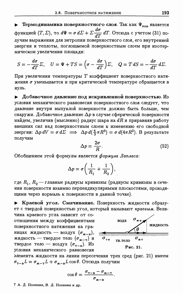
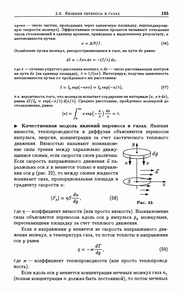
Теорема Гаусса и силовые линии. Для графического изображения полей используют силовые линии (линии напряженности) поля, которые проводятся по следующим правилам: а) касательная к силовой линии направлена вдоль вектора Е в каждой точке пространства; б) густота силовых линий пропорциональна величине напряженности в данной области пространства. Поток вектора напряженности пропорционален числу силовых линий, пронизывающих поверхность. (По такому же правилу можно» ввести линии любого векторного поля.) Теорема Гаусса означает, что силовые линии начинаются и заканчиваются на зарядах, а в пустом пространстве непрерывны. Отметим, что теорема Гаусса и непрерывность силовых линий являются следствием того, что кулоновская сила убывает с расстоянием как .

Кроме силовых линий, используются также эквипотенциальные поверхности, которые перпендикулярны силовым линиям (работа поля при переносе пробного заряда вдоль этой поверхности должна быть равна нулю).

Вычисление напряженности с помощью теоремы Гаусса.

Если соображения симметрии позволяют построить замкнутую поверхность (ее называют гауссовой), на части которой вектор перпендикулярен поверхности и имеет постоянную величину а на остальной части Е направлен вдоль поверхности , то с помощью теоремы Гаусса (16) для этой поверхности можно найти Е.

Пример 1. Поле заряженной нити. Найти напряженность поля, создаваемого бесконечной равномерно заряженной нитью (рис. 27).

Рис. 27.

Решение. Напряженность в любой точке пространства направлена вдоль перпендикуляра к нити, а значение зависит только от расстояния до нити. В качестве гауссовой поверхности можно выбрать цилиндр радиусом и образующей длиной ось которого находится на нити. Записав теорему Гаусса (15), найдем напряженность:

(сравните с примером 2 из разд. 3.3). Разность потенциалов двух точек равна

Пример 2. Поле заряженной плоскости. Найти напряженность поля, создаваемого бесконечной равномерно заряженной плоскостью (рис. 28).

Рис. 28.

Решение. Напряженность всюду перпендикулярна плоскости, а зависит только от расстояния до плоскости. В качестве гауссовой поверхности можно выбрать цилиндр, основания которого площадью расположены симметрично относительно плоскости. Поток через эту поверхность равен Записав теорему Гаусса, найдем напряженность:

(см. пример 3 из разд. 3.3). Приняв

при получим

Пример 3. Поле заряженного шара. Найти поле равномерно заряженного шара радиусом .

Решение. Поле равномерно заряженного шара является центральным. В качестве гауссовой поверхности можно выбрать сферу радиусом . Если то внутрь поверхности попадает весь шар и мы имеем: Если то и теорема Гаусса принимает вид: Окончательно получим:

— плотность заряда). Исходя из формулы для радиальной составляющей напряженности (см. разд. 3.3), находим

(константа определяется из условия непрерывности потенциала на поверхности шара).

Теорема Ирншоу. С помощью теоремы Гаусса можно убедиться в справедливости теоремы Ирншоу, которая утверждает, что точечный заряд в пустой области пространства не может находиться в состоянии устойчивого равновесия под действием электрических сил. Действительно, в этом случае напряженность поля остальных зарядов на маленькой сфере, окружающей заряд, должна быть всюду направлена внутрь сферы (если рассматриваемый заряд положительный), но это противоречит теореме Гаусса (все остальные заряды находятся вне сферы).

Уравнения Максвелла в электростатике. Условие потенциальности электростатического поля

представляет собой одно из уравнений Максвелла (в интегральной и дифференциальной форме) для случая электростатики. Второе уравнение — теорема Гаусса (для объемного распределения заряда):

Подставив сюда получим уравнение Пуассона для потенциала:

1
Оглавление
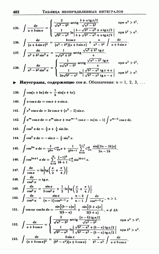
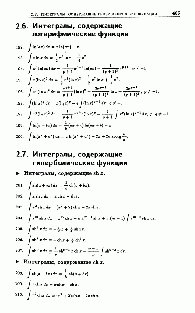
email@scask.ru