Главная > Элементарная математика
НАПИШУ ВСЁ ЧТО ЗАДАЛИ
СЕКРЕТНЫЙ БОТ В ТЕЛЕГЕ
<< Предыдущий параграф Следующий параграф >>
Пред.
След.
Макеты страниц

Распознанный текст, спецсимволы и формулы могут содержать ошибки, поэтому с корректным вариантом рекомендуем ознакомиться на отсканированных изображениях учебника выше

Также, советуем воспользоваться поиском по сайту, мы уверены, что вы сможете найти больше информации по нужной Вам тематике

ДЛЯ СТУДЕНТОВ И ШКОЛЬНИКОВ ЕСТЬ
ZADANIA.TO

49. Сложение графиков.

Иногда функция, график которой должен быть построен, представляется как сумма двух простейших функций, графики которых нам знакомы или легко могут быть построены. В этом случае можно применить прием графического сложения ординат этих графиков (для краткости говорят просто о сложении графиков). Покажем этот прием на примерах.

Пр имер 1. Построить график функции .

Решение. Можно представить данную функцию как сумму функций графики которых нам хорошо знакомы. Они изображены на рис. 56 тонкими линиями: это — прямая у и кубическая парабола . Далее производится суммирование ординат: к ординатам точек кубической параболы прибавляются (с учетом знака!) ординаты точек прямой. При выполнении этой операции удобно пользоваться мерительным циркулем; следует использовать наиболее важные и характерные точки каждого из графиков (в нашем примере — вершину параболы, точки пересечения прямой с осями и т. д.).

Итогом построения служит график, показанный жирной линией. Мы можем многое сказать о функции: она имеет максимум и минимум, обращается в нуль в одной точке и т. д. Положение этих характерных точек ее графика мы могли бы найти приближенно по чертежу.

Пример 2. Построить график функции

Решение. График данной функции можно получить сложением графиков показательной функции и линейной функции . Это сделано на рис. 57.

График пересекает ось в точках , являющихся нулями функции .

Обратим еще внимание на то, что прямая у является асимптотой графика (так как при стремящемся к минус бесконечности, разность между значениями функций стремится к нулю). Из построения видно, что функция имеет точку минимума, найти ее точное положение для нас затруднительно.

Рис. 56.

Рис. 57.

Пример 3. Построить график функции Решение. График может быть построен вычитанием ординат графика из ординат графика

Рис. 58.

В данном случае полезно дополнить это построение некоторым общим исследованием свойств функции . Ясно, что функция определена для всех значений и является четной. Она обращается в нуль при Как видно из построения графика методом вычитания, следует ожидать у функции наличия двух точек максимума.

В данном случае их нетрудно найти; преобразуем выражение функции;

Теперь видно, что наибольшее значение функция имеет при Точка является точкой минимума данной функции (но значение функции в этой точке-, равное нулю, не есть ее наименьшее значение).

Упражнения

1. Построить графики функций:

2. Построить графики функций: а)

3. Построить графики функций:

4. Построить графики функций:

5. Построить график функции

1
Оглавление
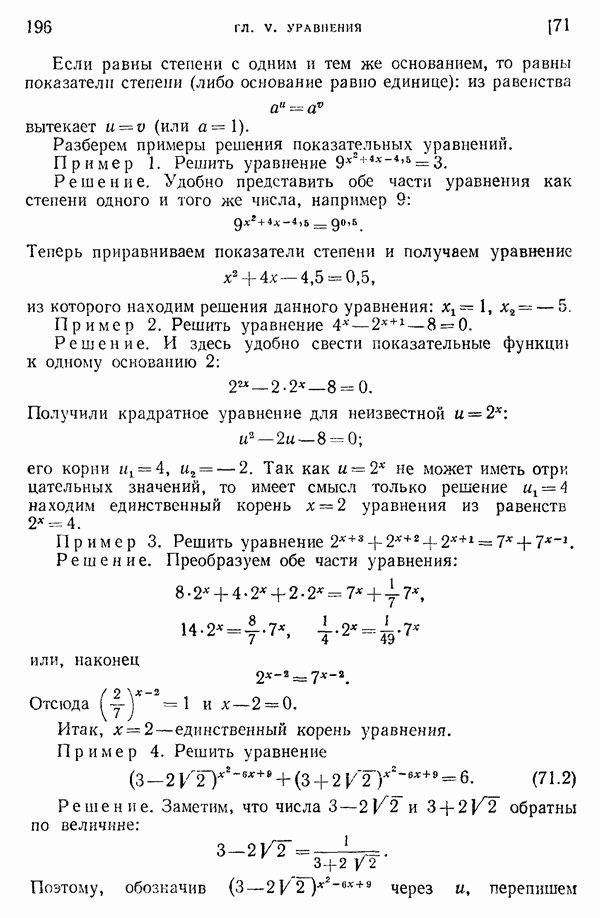
email@scask.ru