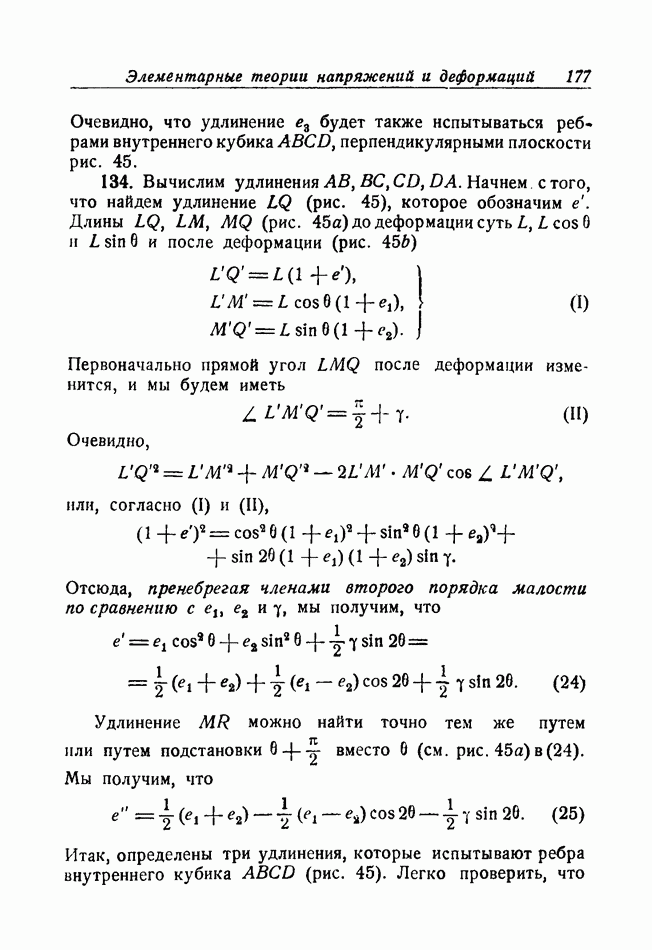
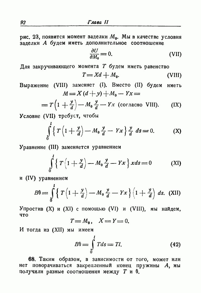
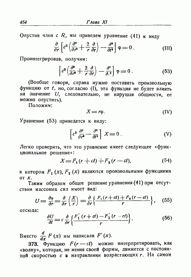
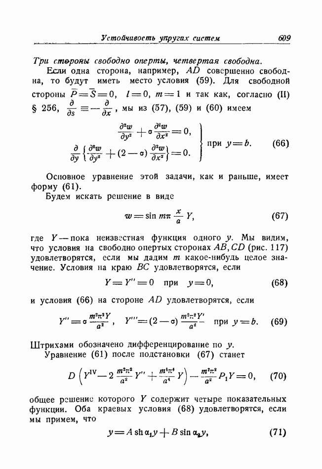
Главная > Введение в теорию упругости для инженеров и физиков
НАПИШУ ВСЁ ЧТО ЗАДАЛИ
СЕКРЕТНЫЙ БОТ В ТЕЛЕГЕ
Следующий параграф >>
Пред.
След.
Макеты страниц

Распознанный текст, спецсимволы и формулы могут содержать ошибки, поэтому с корректным вариантом рекомендуем ознакомиться на отсканированных изображениях учебника выше

Также, советуем воспользоваться поиском по сайту, мы уверены, что вы сможете найти больше информации по нужной Вам тематике

ДЛЯ СТУДЕНТОВ И ШКОЛЬНИКОВ ЕСТЬ
ZADANIA.TO

ИЗ ПРЕДИСЛОВИЯ АВТОРА К ПЕРВОМУ АНГЛИЙСКОМУ ИЗДАНИЮ

Современное развитие техники, особенно в области авиации, требует более широкого, чем раньше, знания теории упругости. Большие скорости в машиностроении являются причиной постановки сложных вибрационных проблем. Легкие металлические конструкции привлекают внимание к вопросу упругой устойчивости. Случайные или умышленные концентрации напряжений вызывают следствия, которыми нельзя пренебрегать без риска. Испытания материалов стали более сложными, и их обработку следует проводить на основе теории.

Поэтому инженеру для решения возникающих перед ним задач приходится, наряду с другими руководствами, прибегать к помощи двух энциклопедических трудов: «Математической теории упругости» Лява и «Теории звука» Рэлея.

Чтение элементарных книг не подготовляет его, как правило, к полному освоению содержания этих двух больших трудов. Они написаны математиками для математиков и в малой степени представляют ту технику, с которой имеет дело инженер. Они большей частью посвящены задачам, с которыми инженер непосредственно не сталкивается, их обозначения ему непривычны, и их точка зрения чужда ему. Задача инженера была бы сильно облегчена, если бы он мог изучить эти книги в знакомом ему освещении, т. е. если бы он мог приблизиться к ним, имея уже некоторое представление об общих уравнениях теории упругости, и нашел бы в них обозначения, которыми он уже привык пользоваться. Дать такого рода подготовку для более глубокого изучения и в то же время воспроизвести обычное содержание (в отношении теерии) известных курсов сопротивления материалов было моей задачей при составлении этой книги.

Для этой цели я, во-первых, стремился показать, что напряженное состояние является следствием физических законов, лежащих в основе всей теории упругости. Во-вторых, я пытался иллюстрировать развитие математической техники от простых решений, основанных на предположениях, которые должны быть оправданы обращением к интуиции, вплоть до решений, которые представляют интерес для профессионального математика.

Главы VIII—XII можно опустить при первом чтении. Однако я надеюсь, что, вернувшись к ним позже, изучающий будет в состоянии использовать большой труд Лява, а из глав, посвященных устойчивости упругих систем и колебаниям, он почерпнет некоторое представление о тех мощных методах, которым мы обязаны Рэлею. Я пытался сразу же приучить читателя думать в трех измерениях, считая, что инженеры подготовлены к этому занятиями по черчению и геодезии.

Задачи, взятые здесь в качестве примеров, на мой взгляд, имеют чисто практический характер. Однако большая часть из них была выбрана скорее для иллюстрации изложения, чем из-за их практической важности. Считая, что только некоторые изучающие прочтут этот курс без руководителя, я позволил себе сократить число решенных примеров, но приводил много указаний и всюду дал ответы. Историческим сведениям посвящены попутные замечания в подстрочных примечаниях, но специально я не заботился об исчерпывающих ссылках на первоисточники: они не касаются начинающего, а более подготовленный читатель может найти их в другом месте.

1
Оглавление
email@scask.ru