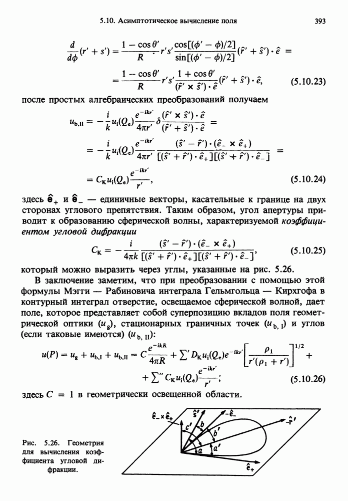
Главная > Дифракция и волноводное распространение оптического излучения
НАПИШУ ВСЁ ЧТО ЗАДАЛИ
СЕКРЕТНЫЙ БОТ В ТЕЛЕГЕ
Следующий параграф >>
Пред.
След.
Макеты страниц

Распознанный текст, спецсимволы и формулы могут содержать ошибки, поэтому с корректным вариантом рекомендуем ознакомиться на отсканированных изображениях учебника выше

Также, советуем воспользоваться поиском по сайту, мы уверены, что вы сможете найти больше информации по нужной Вам тематике

ДЛЯ СТУДЕНТОВ И ШКОЛЬНИКОВ ЕСТЬ
ZADANIA.TO

ПРЕДИСЛОВИЕ РЕДАКТОРА ПЕРЕВОДА

За последние почти тридцать лет, прошедшие со времени изобретения лазера и повсеместного применения лазерного излучения, наши представления о распространении света, особенно в пространственно неоднородных средах, существенно расширились. Достаточно упомянуть такие крупные разделы современной оптики, как голография, лазерная оптика, волоконная или градиентная оптика, интегральная оптика, компьютерная оптика, чтобы представить себе, как далеко продвинулись оптическая наука и техника в своих возможностях управлять распространением светового пучка.

Естественно, что современное состояние проблемы дифракции и распространения света должно быть отражено в монографической литературе. Представляемая читателю монография известных итальянских специалистов как раз удачно служит этой цели. Опубликованные до сих пор книги по современной оптике обычно рассматривали какой-либо один из упомянутых разделов. В настоящей же монографии изложение всех современных разделов оптики ведется с единой точки зрения.

Среди многих достоинств книги следует выделить следующие. Во-первых, она будет полезна не только научным работникам в качестве настольного справочного пособия, содержащего множество необходимых формул, но и студентам старших курсов и аспирантам в качестве глубокого и продуманного учебника. В конце каждой главы помещено несколько десятков задач, сгруппированных по разделам (всего в книге 205 задач), часто с указанием ссылок на оригинальную работу, в которой имеется решение задачи. Во-вторых, авторы хорошо знакомы с достижениями не только зарубежных, но и советских ученых и объективно отражают их вклад в развитие современной оптики.

Перевод книги выполнили Е.В. Московец (гл. 6—8 и приложения) и В. В. Тяхт (гл. 1—5).

Проф. B. C. Летохов

ПРЕДИСЛОВИЕ К РУССКОМУ ИЗДАНИЮ

В этой книге рассмотрены свойства оптического электромагнитного излучения и те разделы прикладной математики, которые используются для его описания. Одна из задач, которую мы здесь ставим, — провести читателя по долгому, но замечательному пути: от первого знакомства с уравнениями Максвелла до таких достижений современной оптики, как «геометрическая теория дифракции», асимптотические решения волнового уравнения, теория оптических резонаторов, волоконная оптика и многослойные структуры.

«Новые физические понятия создаются не только в процессе обобщения физических теорий, но и обратным путем: они могут возникнуть в результате применения приближенных методов к более точной физической теории.... Так, понятие луча, а равно и вся геометрическая оптика могут быть выведены из волновой теории света как идеализации, пригодные в предельном случае весьма малой длины волны (в области вблизи границы света и тени эти идеализации уже непригодны). При менее полной идеализации учитываются и отклонения от геометрической оптики, иначе говоря, учитывается дифракция, каковая также является новым физическим понятием (дифракционные явления наиболее ярко проявляются как раз вблизи границы между светом и тенью)». Этими словами академик В.А. Фок определил основные концепции геометрической оптики и теории дифракции в своей знаменитой книге «Проблемы дифракции и распространения электромагнитных волн», ставшей одной из настольных книг целого поколения физиков. Кроме того, следует отметить также такие классические труды, как «Оптика» А. Зоммерфельда, «Основы оптики» М. Борна и Е. Вольфа, «Оптика» Г. С. Ландсберга.

Канонические задачи теории дифракции были решены в нашем столетии Зоммерфельдом (дифракция на полуплоскости), Малюжинцом (дифракция на клине), Фоком (поле на границе тени от гладкого препятствия) и Вайнштейном (дифракция на открытом конце волновода). Специальные методы решения таких задач были развиты Вайнштейном (метод Винера — Хопфа), Уфимцевым и некоторыми другими учеными. Особо следует отметить теорию граничного слоя.

В нашей книге мы подробно рассматриваем основы теории дифракции, уделяя особое внимание асимптотическим методам, широко используемым в настоящее время. Из всех многочисленных приложений для более подробного рассмотрения мы выбрали оптические резонаторы и многослойные среды, учитывая их важность в лазерной физике и оптической технологии.

Хорошо известно, что открытые резонаторы применяются в лазерах для генерации излучения — это их первое, но далеко не последнее приложение. Характерное свойство открытых резонаторов в том, что их размеры гораздо больше длины волны.

Если говорить только о главных приложениях многослойных систем (мультислоев), то следует отметить отражатели света, лазерные зеркала, светоделители, оптические фильтры. Современная технология позволяет без особых трудностей получать мультислои для рентгеновского излучения, и уже в нескольких лабораториях были получены зеркала с отражательной способностью порядка 60%. В будущем эти исследования должны оказать влияние на развитие астрономии, источников синхротронного излучения и рентгеновской микроскопии. Хотя наша книга и посвящена оптическому диапазону частот, анализ многослойных систем без больших изменений можно приложить и к рентгеновскому диапазону.

Последняя глава книги посвящена волоконной оптике — предмету, который не нуждается в каком-либо дополнительном представлении.

Различные математические методы вводятся и обсуждаются в книге по мере возникновения в них надобности. Они не выделены в отдельную главу. По нашему мнению, читатель гораздо эффективнее овладеет математическим аппаратом, если будет применять его к конкретным возникающим задачам. Исключение сделано лишь для формул, касающихся специальных функций. Их можно найти в приложениях к книге.

В конце каждой главы помещен набор задач. Это связано с тем, что, как правило, читатель изучает теорию, применяя ее к конкретным примерам. Мы надеемся, что возможностей для этого будет вполне достаточно. Среди задач есть и такие, которые расширяют содержание глав или вводят понятия, которым по тем или иным причинам не нашлось места в основном тексте.

В заключение мы пользуемся возможностью выразить свою глубокую благодарность переводчикам Е.В. Московцу и В.В. Тяхту из Института спектроскопии АН СССР за подготовку русского издания книги. Наша признательность редактору перевода проф. B. C. Летохову чересчур велика, чтобы ее можно было измерить.

Переводчикам был предоставлен список ошибок и опечаток, попавших в оригинальное английское издание. Необходимые поправки были внесены при переводе.

И наконец, нам хотелось бы выразить глубокую признательность издательству «Мир» и его персоналу за внимание и тщательность, с которыми они отнеслись к переводу, редактированию и печати этой книги.

С. Солимено, Университет г. Неаполя

Б. Крозиньяни, Университет г. Акуила

П. Ди Порто, Университет г. Акуила

1
Оглавление
email@scask.ru