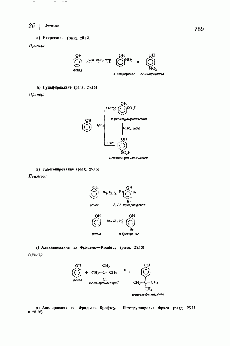
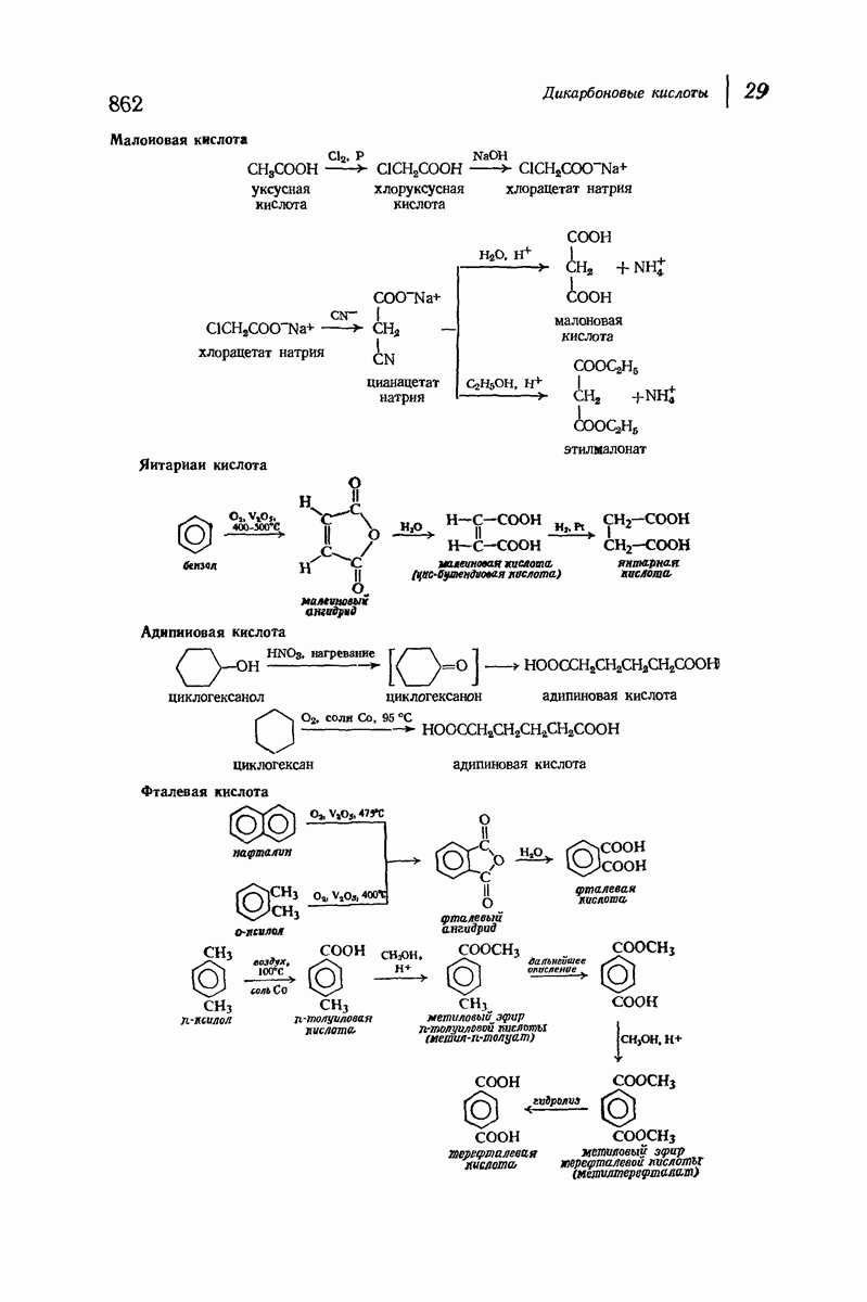
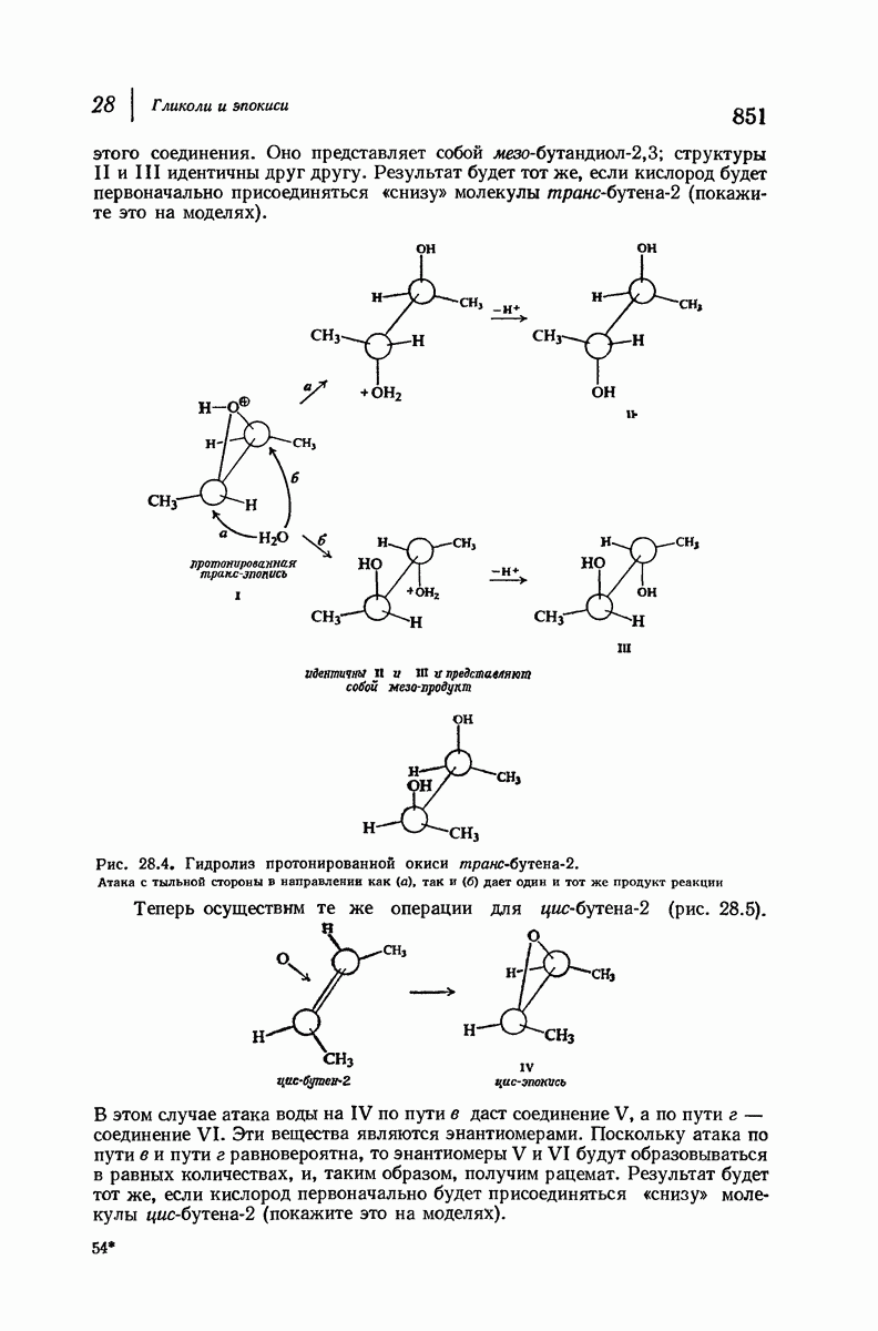
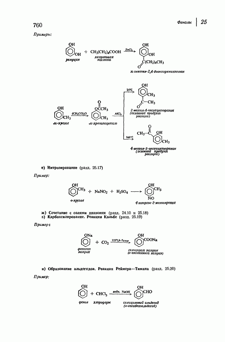
Главная > Органическая химия (Моррисон Р.)
НАПИШУ ВСЁ ЧТО ЗАДАЛИ
СЕКРЕТНЫЙ БОТ В ТЕЛЕГЕ
<< Предыдущий параграф Следующий параграф >>
Пред.
След.
Макеты страниц

Распознанный текст, спецсимволы и формулы могут содержать ошибки, поэтому с корректным вариантом рекомендуем ознакомиться на отсканированных изображениях учебника выше

Также, советуем воспользоваться поиском по сайту, мы уверены, что вы сможете найти больше информации по нужной Вам тематике

ДЛЯ СТУДЕНТОВ И ШКОЛЬНИКОВ ЕСТЬ
ZADANIA.TO

27.5. Галогенирование кетонов, катализируемое кислотами. Енолизация

Кислоты, как и основания, ускоряют галогенирование кетонов. При этом кислоты не расходуются, и поэтому можно с полным правом говорить о кислотно-катализируемом галогенировании (в противоположность реакции галогенирования, промотируемой основаниями).

Хотя эта реакция, строго говоря, не относится к разделу химии карбанионов, все же, вероятно, уместно ее рассмотреть здесь, поскольку во всех аспектах она обнаруживает удивительное сходство с рассмотренной выше реакцией галогенирования, вызываемой присутствием оснований.

Изучение кинетики этой реакции показывает, что скорость галогенирования не зависит от концентрации галогена, но зависит от концентрации кетона и (для данного случая) от концентрации кислоты. В этом случае мы также наблюдаем очень примечательный факт идентичности констант скоростей внешне очень различных реакций: бромирования и иодирования ацетона и обмена его атомов водорода на дейтерий; иодирования и рацемизации -бутилфенил кетона.

Интерпретация в этом случае в основном не отличается от описанной ранее: стадии присоединения галогена предшествует лимитирующая стадия, которая может привести не только к галогенированию, но также к рацемизации и обмену водорода.

Лимитирующей стадией в этом случае является образование енола, включающее две стадии: быстрое обратимое протонирование [стадия (1)] кислорода карбонильной группы с последующим медленным отщеплением -водородного атома [стадия (2)].

По мере образования енол немедленно реагирует с галогеном [стадия (3)]. Можно было бы ожидать, что непредельный енол будет вступать в реакцию присоединения, и действительно, реакция так и происходит: положительный ион галогена присоединяется с образованием карбониевого иона. Как обычно (разд. 6.11), присоединение происходит таким образом, чтобы получился наиболее устойчивый карбониевый ион.

Ион I, образующийся в этом случае, исключительно стабилен, причем его стабильность объясняется тем, что его едва ли можно считать «карбоние-вым» ионом вообще, поскольку кислород может нести заряд, сохраняя свой октет электронов. Действительно, ион является протонированным кетоном; при отщеплении протона образуется бромацетон.

Может показаться странным, что, хотя реакция называется кислотно-катализируемой, лимитирующая стадия (2) по существу та же, что и в реакции, вызываемой основаниями: отрыв -протона основанием, в данном случае сопряженным основанием кислоты — катализатора. Однако то, что мы наблюдаем в этом случае, должно наблюдаться всегда: реакция, которая действительно катализируется кислотой или основанием, на самом деле должна катализироваться и тем и другим реагентом. В рассматриваемом случае перенос протона от кислоты на кислород карбонильной группы [стадия (1)] делает кетон более реакционноспособным и поэтому ускоряет енолизацию. Но если эта реакция является каталитической, то кислота не должна расходоваться. Регенерация кислоты требует, чтобы сопряженное основание откуда-нибудь оторвало протон; оно отрывает его от -углеродного атома [стадия (2)] и тем самым завершает енолизацию. Как кислота, так и основание ускоряют лимитирующую стадию (2): основание — непосредственно как один из реагентов, а кислота — косвенно, путем увеличения концентрации другого реагента, протонированного кетона. При использовании сильной минеральной кислоты в водном растворе можно не заметить роли, выполняемой в реакции основанием, поскольку в этих условиях кислотой является а сопряженным основанием — растворитель.

(см. скан)

1
Оглавление
email@scask.ru