Главная > Теория упругости
НАПИШУ ВСЁ ЧТО ЗАДАЛИ
СЕКРЕТНЫЙ БОТ В ТЕЛЕГЕ
<< Предыдущий параграф Следующий параграф >>
Пред.
След.
Макеты страниц

Распознанный текст, спецсимволы и формулы могут содержать ошибки, поэтому с корректным вариантом рекомендуем ознакомиться на отсканированных изображениях учебника выше

Также, советуем воспользоваться поиском по сайту, мы уверены, что вы сможете найти больше информации по нужной Вам тематике

ДЛЯ СТУДЕНТОВ И ШКОЛЬНИКОВ ЕСТЬ
ZADANIA.TO

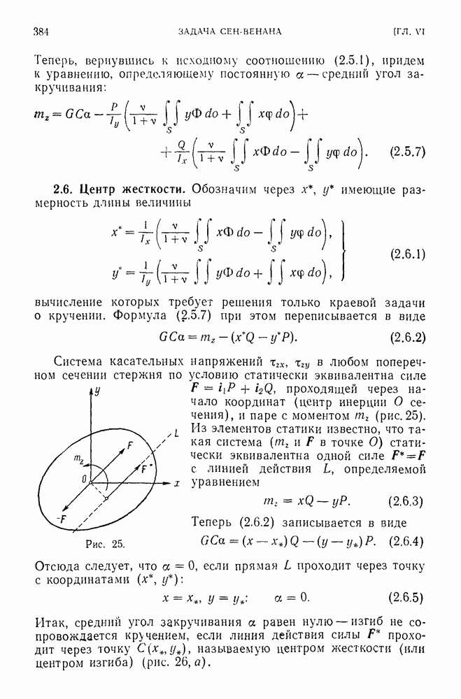
1.8. Главный вектор и главный момент.

В плоском поле тензора напряжений

рассматривается дуга единичные векторы нормали к ней и касательной (в сторону возрастания дуги ориентированы, как оси х, у декартовой системы. Тогда произведение

представляет распределение поверхностных сил, действующих со стороны среды, расположенной «над» кривой (в части плоскости, куда направлен вектор на среду «под» ней. По (1.8.1), (1.8.2) имеем

Отсюда получаем выражения проекций на оси х, у главного вектора этого распределения сил на дуге I от начальной ее точки до рассматриваемой

Его главный момент относительно начала координат (относительно оси равен

или

В этих формулах отброшены не имеющие значения аддитивные постоянные интегрирования; их удержание внесло бы в выражении линейную функцию координат, не влияющую на напряжения.

Формула (1.8.5) может быть записана также в виде

где главный момент относительно точки дуги I распределения сил на этой дуге (от ее начальной точки до конечной .

1
Оглавление
email@scask.ru